Optimization Simulation of Hydraulic Fracture Parameters for Highly Deviated Wells in Tight Oil Reservoirs, Based on the Reservoir–Fracture Productivity Coupling Model
Abstract
1. Introduction
2. Three-Dimensional Reservoir–Fracture Productivity Coupling Model
2.1. Assumptions and Physical Model
- (1)
- The reservoir is rectangular in shape and the fluid within it is in an isothermal state of percolation.
- (2)
- The reservoir pressure is consistently larger than the saturation pressure, and there is no unconfined gas within the reservoir. The fluid inside the reservoir adheres to a two-phase flow of oil and water, following the Darcy flow regime.
- (3)
- Highly deviated wells are primarily cemented, disregarding the effect of the borehole on production, and relying solely on perforations or fractures for production.
- (4)
- The fracture fully penetrates the production layer and is symmetrically distributed around the center of the production layer, regardless of the transverse permeability of the reservoir. However, vertical gravity and the permeability of the production layer must be taken into account.
- (5)
- During the simulation evaluation, the fracture is considered as a component of the reservoir, and fracture amplification is employed to introduce the fracture directly into the reservoir for immediate simulation.
2.2. Embedded Discrete Fracture Model
2.3. Three-Dimensional Single-Fracture Percolation Model for Oil and Water Phases
2.4. The Mathematical Model for the Phase Difference in Oil within Three-Dimensional Reservoirs
2.5. Three-Dimensional Spatial Water Difference Fractional Model
2.6. Differential Mathematical Model of Oil–Water Two-Phase Seepage in a Three-Dimensional Reservoir
2.7. Initial Conditions and Boundary Conditions
2.8. Reservoir Grid System Division
3. Numerical Simulation of Fracture Number Optimization
3.1. Numerical Model
3.2. Mathematical Model Calculation Steps
- (1)
- Enter the geometric dimensions of the reservoir, the number of fractures, the location of fractures, the geometric dimensions of fractures, as well as the physical parameters of the reservoir, including initial permeability, viscosity, density, initial pressure, saturation, and capillary pressure, among others.
- (2)
- According to Figure 6, divide the reservoir–fracture system grid.
- (3)
- Calculate the viscosity, density, Kr, Pc, and other parameters at time tn, and ascertain the coefficients a, b, c, d, e, f, g, and h of the differential Equation (12).
- (4)
- After solving the seven-diagonal linear equation set, compare it with the initial assumed value, and if it does not meet the accuracy requirement, go back to step (3) and iterate repeatedly until the accuracy requirement is met.
- (5)
- Calculate the pressure and production at time tn+1.
- (6)
- If the time falls short of the development and production time, return to step (3) and continue simulating the production pressure at the subsequent time step until the development and production time is completed.
- (7)
- Determine the optimal number of fractures for fracturing a highly deviated well by utilizing the fracturing economic evaluation model.
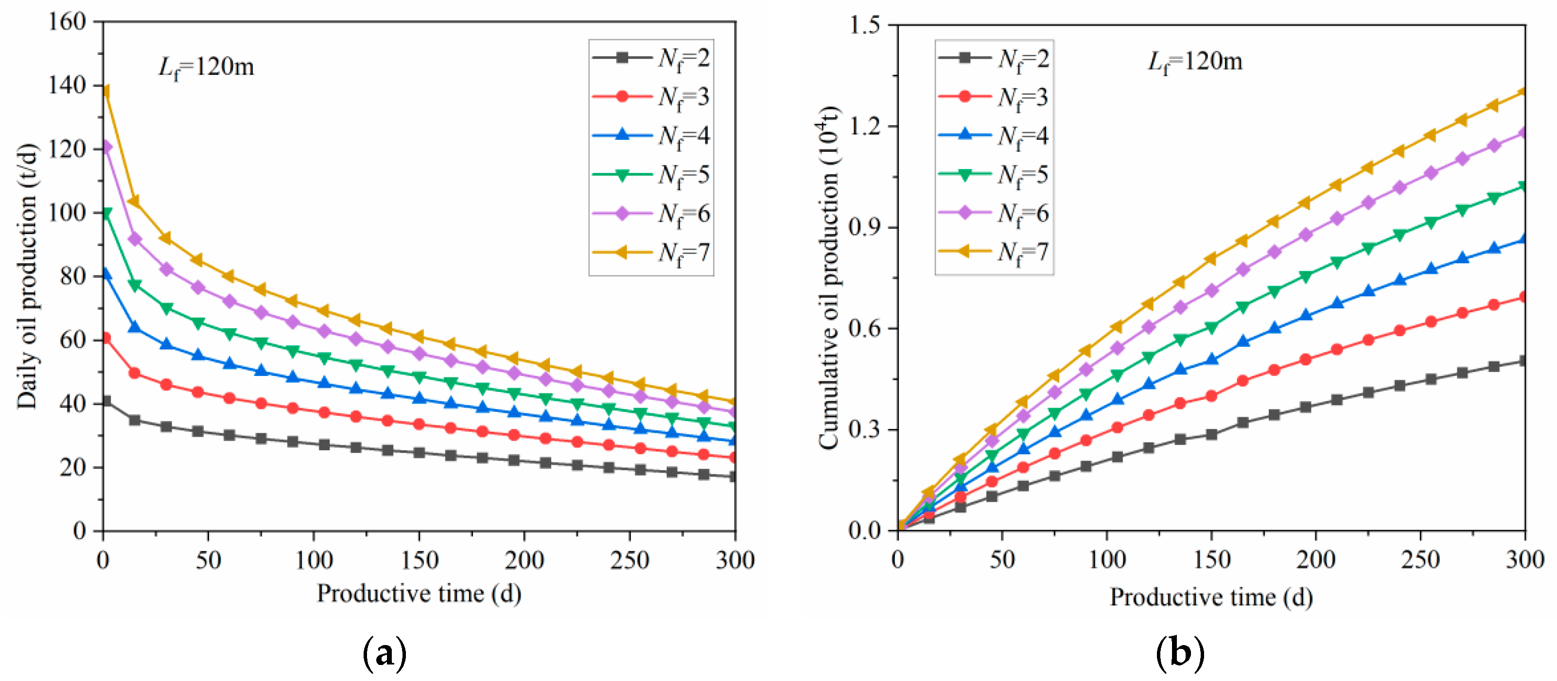
4. Results and Discussion
4.1. Case Calculation and Result Analysis
4.2. Validation of Model Results
5. Conclusions
- (1)
- A single fracture falls far short of unlocking the full production potential of a highly deviated well. There exists an optimal number of fractures that maximizes production and economic return for such wells. An essential parameter that must be defined prior to fracture design is the optimal number of fractures for the highly deviated wells. Given the complexity of highly deviated wells, it is feasible to employ a three-dimensional oil–water two-phase percolation differential numerical model to simulate the productivity of multiple fractures post-stimulation in such wells.
- (2)
- The fracturing of highly deviated wells involves multi-fracturing. As production progresses, interference between the fractures appears, affecting fracture production output. Therefore, it is imperative to consider the impact of inter-fracture interference on fracture productivity.
- (3)
- By integrating numerical simulations of post-stimulation multi-fracture productivity with fracturing economic evaluation models, the number of fractures in highly deviated wells can be optimized to six, thereby furnishing a dependable foundation for selecting the scale of fracturing operations and equipment.
- (4)
- The embedded discrete fracture model establishes a productivity model for fractured wells in oil reservoirs, simulates the performance of oil wells under varying conditions of hydraulic fracture size and conductivity, evaluates the impact of optimizing fracture conductivity on productivity, and takes into account the communication of hydraulic fractures with randomly distributed natural fractures and when six hydraulic fractures are generated by horizontal well fracturing and coexist with natural fractures. The model’s reliability is verified through the post-fracturing strata pressure distribution cloud map.
Author Contributions
Funding
Data Availability Statement
Acknowledgments
Conflicts of Interest
References
- Thompson, L.B. Fractured reservoirs: Integration is the key to optimization. J. Pet. Technol. 2000, 52, 52–54. [Google Scholar] [CrossRef]
- Meyer, B.R.; Bazan, L.W.; Jacot, R.H.; Lattibeaudiere, M.G. Optimization of Multiple Transverse Hydraulic Fractures in Horizontal Wellbores; Society of Petroleum Engineers: Richardson, TX, USA, 2010. [Google Scholar]
- Song, L.I.; Huiyun, M.A.; Hua, Z.; Jiexiao, Y.E.; Huifen, H. Study on the acid fracturing technology for high-inclination wells and horizontal wells of the sinian system gas reservoir in the Sichuan basin. J. Southwest Pet. Univ. (Sci. Technol. Ed.) 2018, 40, 146. [Google Scholar]
- Lyu, Z.; Song, X.; Geng, L.; Li, G. Optimization of multilateral well configuration in fractured reservoirs. J. Pet. Sci. Eng. 2019, 172, 1153–1164. [Google Scholar] [CrossRef]
- Wang, D.; Dong, Y.; Sun, D.; Yu, B. A three-dimensional numerical study of hydraulic fracturing with degradable diverting materials via CZM-based FEM. Eng. Fract. Mech. 2020, 237, 107251. [Google Scholar] [CrossRef]
- Zhang, N.; Luo, Z.; Chen, X.; Zhao, L.; Zeng, X.; Zhao, M. Investigation of the artificial fracture conductivity of volcanic rocks from permian igneous in the sichuan basin, china, with different stimulation method using an experiment approach. J. Nat. Gas Sci. Eng. 2021, 95, 104234. [Google Scholar] [CrossRef]
- Chen, M.; Bai, J.; Kang, Y.; Chen, Z.; You, L.; Li, X.; Liu, J.; Zhang, Y. Redistribution of fracturing fluid in shales and its impact on gas transport capacity. J. Nat. Gas Sci. Eng. 2021, 86, 103747. [Google Scholar] [CrossRef]
- Wang, M.; Wu, W.; Li, S.; Li, T.; Ni, G.; Fu, Y.; Xu, Q. Application and optimization for network-fracture deep acidizing technique of fractured carbonate reservoirs. Lithosphere 2022, 2022, 8685328. [Google Scholar] [CrossRef]
- Li, S.; Fan, Y.; Yang, J.; Zhao, L.; Ye, J.; Chen, W. Accurate sectional and differential acidizing technique to highly deviated and horizontal wells for low permeable sinian dengying formation in sichuan basin of China. SN Appl. Sci. 2022, 4, 152. [Google Scholar] [CrossRef]
- Bai, J.; Kang, Y.; Chen, M. Dual effects of retained fracturing fluid on methane diffusion in shale containing adsorbed methane. J. Nat. Gas Sci. Eng. 2023, 110, 204872. [Google Scholar] [CrossRef]
- Tan, P.; Chen, Z.; Fu, S.; Zhao, Q. Experimental investigation on fracture growth for integrated hydraulic fracturing in multiple gas bearing formations. Geoenergy Sci. Eng. 2023, 231, 212316. [Google Scholar] [CrossRef]
- Li, S.; Fan, Y.; Wang, Y.; Zhao, Y.; Lv, Z.; Ji, Z.; Min, J. True triaxial physics simulations and process tests of hydraulic fracturing in the Da’anzhai section of the Sichuan Basin tight oil reservoir. Front. Energy Res. 2023, 11, 1267782. [Google Scholar] [CrossRef]
- Norris, S.O. Predicting oil production from a horizontal well intercepting multiple finite conductivity vertical fracture. SPE Reserv. Eng. 1976, 3, 496–504. [Google Scholar]
- Karcher, B.J.; Giger, F.M.; Combe, J. Some practical formulas to predict horizontal well behavior. In SPE Annual Technical Conference and Exhibition; OnePetro: Richardson, TX, USA, 1986. [Google Scholar]
- Soliman, M.Y.; Hunt, J.L.; El Rabaa, A.M. Fracturing aspects of horizontal wells. J. Pet. Technol. 1990, 42, 966–973. [Google Scholar] [CrossRef]
- Mukherjee, H.; Economides, M.J. A parametric comparison of horizontal and vertical well performance. SPE Form. Eval. 1991, 6, 209–216. [Google Scholar] [CrossRef]
- Hegre, T.M. Hydraulically fractured horizontal well simulation. In Proceedings of the SPE European 3-D Reservoir Modelling Conference, Stavanger, Norway, 16–17 April 1996; SPE: Richardson, TX, USA, 1996; p. SPE-35506. [Google Scholar]
- Roberts, B.E.; Van Engen, H.; Van Kruysdijk, C.P.J.W. Productivity of multiply fractured horizontal wells in tight gas reservoirs. In Proceedings of the SPE Offshore Europe Conference and Exhibition, Aberdeen, UK, 3–6 September 1991; SPE: Richardson, TX, USA, 1991; p. SPE-23113. [Google Scholar]
- Guo, G.; Evans, R.D. Inflow performance of a horizontal well intersecting natural fractures. In Proceedings of the SPE Oklahoma City Oil and Gas Symposium/Production and Operations Symposium, Oklahoma City, OK, USA, 21–23 March 1993; SPE: Richardson, TX, USA, 1993; p. SPE-25501. [Google Scholar]
- Guo, G.; Evans, R.D. Inflow performance and production forecasting of horizontal wells with multiple hydraulic fractures in low-permeability gas reservoirs. In Proceedings of the SPE Unconventional Resources Conference/Gas Technology Symposium, Calgary, AB, Canada, 18–30 June 1993; SPE: Richardson, TX, USA, 1993; p. SPE-26169. [Google Scholar]
- Soliman, M.Y.; Hunt, J.L.; Azari, M. Fracturing horizontal wells in gas reservoirs. In Proceedings of the SPE Oklahoma City Oil and Gas Symposium/Production and Operations Symposium, Amarillo, TX, USA, 28–30 April 1996; SPE: Richardson, TX, USA, 1996; p. SPE-35260. [Google Scholar]
- Raghavan, R.S.; Chen, C.C.; Agarwal, B. An analysis of horizontal wells intercepted by multiple fractures. SPEJ 1997, 2, 235–245. [Google Scholar] [CrossRef]
- Guo, J.; Gu, F.; Zhou, J. Optimizing the fracture numbers and predicting the production performance of hydraulically fractured horizontal wells. In Proceedings of the PETSOC Annual Technical Meeting, Calgary, AB, Canada, 7–10 June 1997; p. PETSOC-97. [Google Scholar]
- Roussel, N.P.; Sharma, M.M. Optimizing fracture spacing and sequencing in horizontal-well fracturing. SPE Prod. Oper. 2011, 26, 173–184. [Google Scholar] [CrossRef]
- Sun, J.; Schechter, D. Optimization-based unstructured meshing algorithms for simulation of hydraulically and naturally fractured reservoirs with variable distribution of fracture aperture, spacing, length, and strike. SPE Reserv. Eval. Eng. 2015, 18, 463–480. [Google Scholar] [CrossRef]
- Manriquez, A.L.; Sepehrnoori, K.; Cortes, A. A novel approach to quantify reservoir pressure along the horizontal section and to optimize multistage treatments and spacing between hydraulic fractures. J. Pet. Sci. Eng. 2017, 149, 579–590. [Google Scholar] [CrossRef]
- Taghichian, A.; Hashemalhoseini, H.; Zaman, M.; Yang, Z.Y. Geomechanical optimization of hydraulic fracturing in unconventional reservoirs: A semi-analytical approach. Int. J. Fract. 2018, 213, 107–138. [Google Scholar] [CrossRef]
- McClure, M.; Kang, C.; Fowler, G. Optimization and design of next-generation geothermal systems created by multistage hydraulic fracturing. In Proceedings of the SPE Hydraulic Fracturing Technology Conference and Exhibition, Muscat, Sultanate of Oman, 11–13 January 2022; OnePetro: Richardson, TX, USA, 2022. [Google Scholar]
- Lak, M.; Marji, M.F.; Bafghi, A.Y.; Abdollahipour, A. Analytical and numerical modeling of rock blasting operations using a two-dimensional elasto-dynamic Green’s function. Int. J. Rock Mech. Min. Sci. 2019, 114, 208–217. [Google Scholar] [CrossRef]
- Abdollahipour, A.; Marji, M.F.; Bafghi, A.R.Y.; Gholamnejad, J. Numerical investigation of effect of crack geometrical parameters on hydraulic fracturing process of hydrocarbon reservoirs. J. Min. Environ. 2016, 7, 205–214. [Google Scholar]
- Lak, M.; Marji, M.F.; Bafghi, A.R.Y. Discrete element modeling of explosion-induced fracture extension in jointed rock masses. J. Min. Environ. 2019, 10, 125–138. [Google Scholar]
- Bazan, L.W.; Brinzer, B.C.; Meyer, B.R.; Brown, E.K. Key parameters affecting successful hydraulic fracture design and optimized production in unconventional wells. In Proceedings of the SPE Eastern Regional Meeting, Pittsburgh, PA, USA, 20–22 August 2013. [Google Scholar]
- Kim, K.; Ju, S.; Ahn, J.; Shin, H.; Shin, C.; Choe, J. Determination of key parameters and hydraulic fracture design for shale gas productions. In Proceedings of the International Ocean and Polar Engineering Conference, Big Island, HI, USA, 22–26 June 2015. [Google Scholar]
- Zheng, S.; Sharma, M.M. Evaluating different energized fracturing fluids using an integrated equation-of-state compositional hydraulic fracturing and reservoir simulator. J. Pet. Explor. Prod. Technol. 2022, 12, 851–869. [Google Scholar] [CrossRef]
- Kang, C.A.; McClure, M.W.; Reddy, S.; Naidenova, M.; Tyankov, Z. Optimizing shale economics with an integrated hydraulic fracturing and reservoir simulator and a Bayesian automated history matching and optimization algorithm. In Proceedings of the SPE Hydraulic Fracturing Technology Conference, The Woodlands, TX, USA, 1–3 February 2022. [Google Scholar]















| Parameters | Value | Unit |
|---|---|---|
| Reservoir length | 1000 | m |
| Reservoir width | 500 | m |
| Reservoir thickness | 50 | m |
| Porosity | 0.10 | - |
| Formation pressure | 50.0 | MPa |
| Fracturing cost | 0.8 | million dollars |
| Vertical permeability of reservoir | 0.01 | mD |
| Horizontal permeability of reservoir | 0.1 | mD |
| Fracture permeability | 50 | mD |
| Fracture length | 50~200 | m |
| Fracture width | 0.005 | m |
| Number of fractures | 2~7 | - |
| Drilling and completion costs | 7.0 | million dollars |
| Oil price | 550 | dollar/t |
| Earning rate | 0.20 | - |
Disclaimer/Publisher’s Note: The statements, opinions and data contained in all publications are solely those of the individual author(s) and contributor(s) and not of MDPI and/or the editor(s). MDPI and/or the editor(s) disclaim responsibility for any injury to people or property resulting from any ideas, methods, instructions or products referred to in the content. |
© 2024 by the authors. Licensee MDPI, Basel, Switzerland. This article is an open access article distributed under the terms and conditions of the Creative Commons Attribution (CC BY) license (https://creativecommons.org/licenses/by/4.0/).
Share and Cite
Mao, C.; Huang, F.; Hu, Q.; Liu, S.; Zhang, C.; Lei, X. Optimization Simulation of Hydraulic Fracture Parameters for Highly Deviated Wells in Tight Oil Reservoirs, Based on the Reservoir–Fracture Productivity Coupling Model. Processes 2024, 12, 179. https://doi.org/10.3390/pr12010179
Mao C, Huang F, Hu Q, Liu S, Zhang C, Lei X. Optimization Simulation of Hydraulic Fracture Parameters for Highly Deviated Wells in Tight Oil Reservoirs, Based on the Reservoir–Fracture Productivity Coupling Model. Processes. 2024; 12(1):179. https://doi.org/10.3390/pr12010179
Chicago/Turabian StyleMao, Chonghao, Fansheng Huang, Qiujia Hu, Shiqi Liu, Cong Zhang, and Xinglong Lei. 2024. "Optimization Simulation of Hydraulic Fracture Parameters for Highly Deviated Wells in Tight Oil Reservoirs, Based on the Reservoir–Fracture Productivity Coupling Model" Processes 12, no. 1: 179. https://doi.org/10.3390/pr12010179
APA StyleMao, C., Huang, F., Hu, Q., Liu, S., Zhang, C., & Lei, X. (2024). Optimization Simulation of Hydraulic Fracture Parameters for Highly Deviated Wells in Tight Oil Reservoirs, Based on the Reservoir–Fracture Productivity Coupling Model. Processes, 12(1), 179. https://doi.org/10.3390/pr12010179

