Multi-Objective Optimization of Drilling GFRP Composites Using ANN Enhanced by Particle Swarm Algorithm
Abstract
1. Introduction
2. Material and Methods
PSO-NN Model
3. Results and Discussion
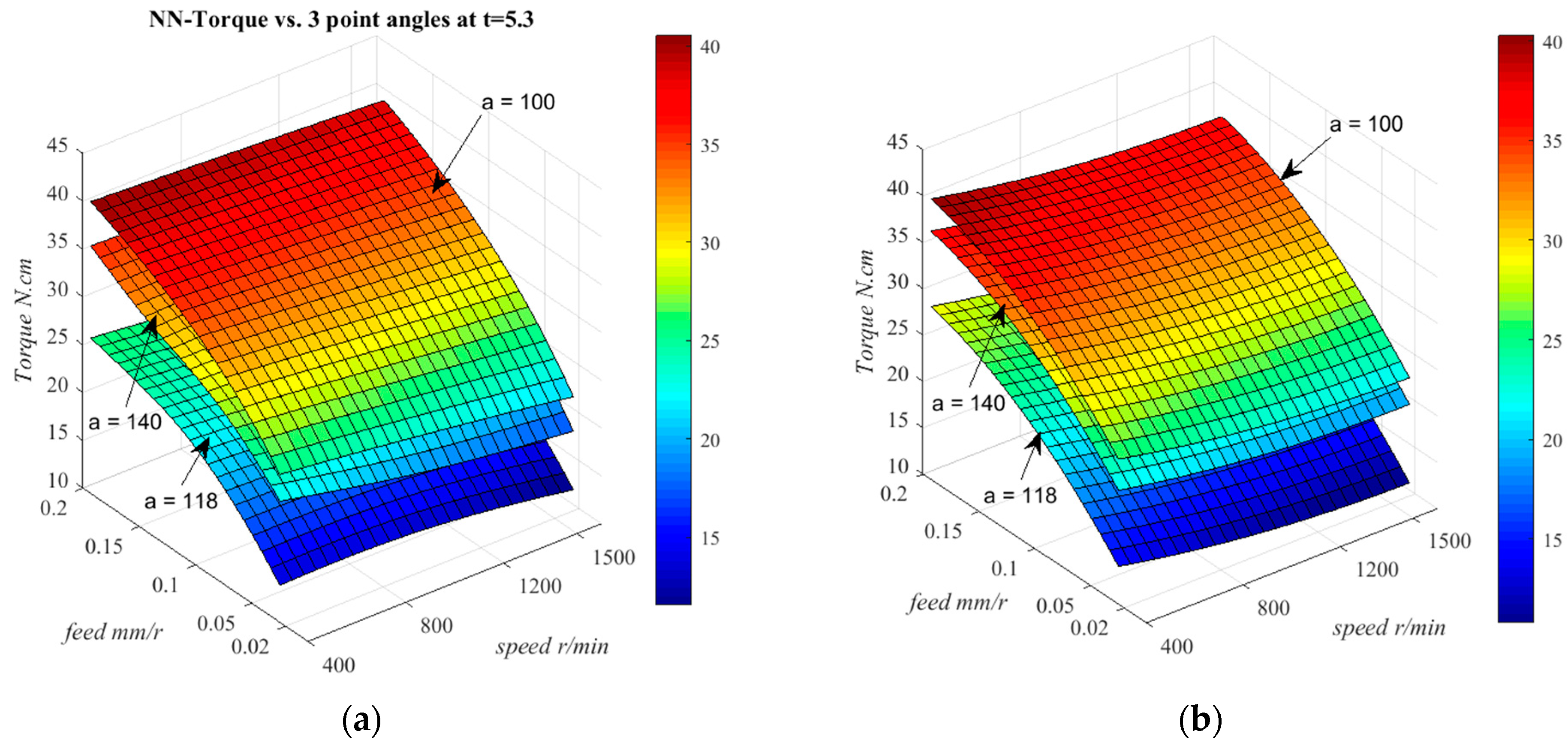
3.1. Effect of Drilling Parameters on the Torque
3.2. Effect of Drilling Parameters on Power Consumption
3.3. ANOVA
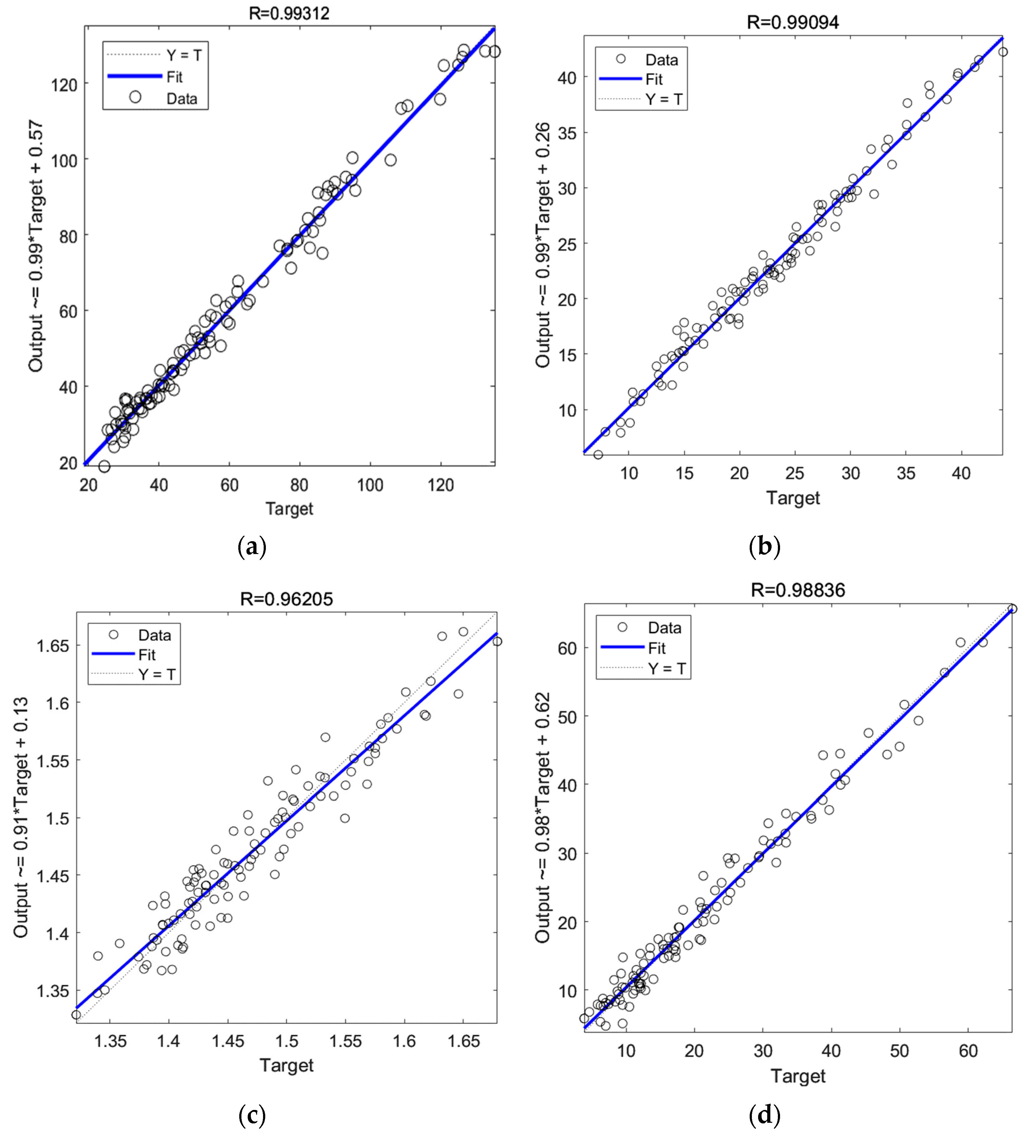
3.4. Predictive PSO-NN Models
3.5. Comparison of the Obtained Predictive Models
3.6. Optimizing Process Outputs
4. Conclusions
- Multivariate regression explains that the effect of feed rate on the power consumed is directly proportional.
- Feed rate is prevalent in influencing the delamination factor among the studied control factors, followed by drilling point angle. Also, the speed had a statistically significant effect on the delamination, but with a slight contribution.
- Obviously, a combination of a lower feed rate and a higher spindle speed reduces the delamination, as with the torque generated. On the contrary, however, the higher speed level increases the power consumption.
- The effect of feed rate came out on top for thrust force (84.6%), torque (43.5%), and delamination factor (44.4%). Meanwhile, it was found that the rotational speed provided the largest contribution to the power consumption, followed by the feed rate, due to the dependence of the calculated power on the rotational speed and the torque generated during cutting.
- It has been observed that the drill point angle has an effect on the critical thrust force, and hence this effect on the push-out delamination is amplified, especially with the highest feed rates and speeds.
- In order to achieve a sustainable drilling process that takes into account the quality of the holes produced, represented by the delamination factor, and keeps the cost of the energy consumed low, controlling the feed rate and cutting speed simultaneously is necessary.
- Models of RSA regression and PSO-NN developed were able to predict drilling process characteristics showing a very high consistency with the measured data. However, the PSO-NN models were more accurate than the others.
- An optimal combination of factors (f = 0.025 mm/r, s = 401 rpm, a = 112°, and t = 4.75 mm) was found to obtain the optimum produced hole quality as well as a low cutting power consumed, with an overall desirability factor of 91%.
Funding
Data Availability Statement
Acknowledgments
Conflicts of Interest
References
- Reisgen, U.; Schiebahn, A.; Lotte, J.; Hopmann, C.; Schneider, D.; Neuhaus, J. Innovative joining technology for the production of hybrid components from FRP and metals. J. Mater. Process. Technol. 2020, 282, 116674. [Google Scholar] [CrossRef]
- Khashaba, U.A.; Othman, R.; Najjar, I.M.R. Effect of Water Absorption on the Impact Behaviors of CFRE Composites. Glob. J. Res. Eng. Mech. Mech. Eng. 2017, 17. [Google Scholar]
- De Zarate Knorr, B. Optimisation du Processus de perçage d’empilages Hybrides Composites/Titane. Master’s Thesis, ENSAM, Bordeaux, France, 2014. [Google Scholar]
- Girot, F.; Dau, F.; Gutiérrez-Orrantia, M.E. New analytical model for delamination of CFRP during drilling. J. Mater. Process. Technol. 2017, 240, 332–343. [Google Scholar] [CrossRef]
- Davim, J.P.; Reis, P. Drilling carbon fiber reinforced plastics manufactured by autoclave—Experimental and statistical study. Mater. Des. 2003, 24, 315–324. [Google Scholar] [CrossRef]
- Gaitonda, V.N.; Karnik, R.S.; Davim, J.P. Minimum Quantity Lubrication in Machining. In Sustainable Manufacturing; Davim, J.P., Ed.; Wiley-ISTE: Hoboken, NJ, USA, 2010. [Google Scholar]
- Bastas, A. Sustainable Manufacturing Technologies: A Systematic Review of Latest Trends and Themes. Sustainability 2021, 13, 4271. [Google Scholar] [CrossRef]
- Binali, R.; Patange, A.D.; Kuntoğlu, M.; Mikolajczyk, T.; Salur, E. Energy Saving by Parametric Optimization and Advanced Lubri-Cooling Techniques in the Machining of Composites and Superalloys: A Systematic Review. Energies 2022, 15, 8313. [Google Scholar] [CrossRef]
- Xu, J.; Li, L.; Geier, N.; Davim, J.P.; Chen, M. Experimental study of drilling behaviors and damage issues for woven GFRP composites using special drills. J. Mater. Res. Technol. 2022, 21, 1256–1273. [Google Scholar] [CrossRef]
- Montgomery, D.C. Design and Analysis of Experiments, 8th ed.; Wiley: Hoboken, NJ, USA, 2013. [Google Scholar]
- Tahboub, K.K.; Rawabdeh, I.A. A design of experiments approach for optimizing an extrusion blow molding process. J. Qual. Maint. Eng. 2004, 10, 47–54. [Google Scholar] [CrossRef]
- Khashaba, U.A.; Abd-Elwahed, M.S.; Ahmed, K.I.; Najjar, I.; Melaibari, A.; Eltaher, M.A. Analysis of the machinability of GFRE composites in drilling processes. Steel Compos. Struct. 2020, 36, 417–426. [Google Scholar] [CrossRef]
- El-Midany, T.T.; El-Baz, M.A.; Abdelwahed, M.S. Improve Characteristics of Manufactured Products Using Artificial Neural Network Performance Prediction Model. Int. J. Recent Adv. Mech. Eng. (IJMECH) 2013, 2, 23–34. [Google Scholar]
- Cathie Lee, W.P.; Mah, S.-K.; Leo, C.P.; Wu, T.Y.; Chai, S.-P. Phosphorus removal by NF90 membrane: Optimisation using central composite design. J. Taiwan Inst. Chem. Eng. 2014, 45, 1260–1269. [Google Scholar] [CrossRef]
- Alaoui, A.; El Kacemi, K.; El Ass, K.; Kitane, S. Application of Box-Behnken design to determine the optimal conditions of reductive leaching of MnO2 from manganese mine tailings. Russ. J. Non-Ferr. Met. 2015, 56, 134–141. [Google Scholar] [CrossRef]
- Abdelhaffez, G.S.; Abd-Elwahed, M.S.; Hefni, M. Controlling Grinding Process Parameters Using Central Composite Design to Reduce Slimes in Phosphate Ore Beneficiation. Rud.-Geol.-Naft. Zb. 2022, 37, 139–148. [Google Scholar] [CrossRef]
- Abd-Elwahed, M.S. Drilling Process of GFRP Composites: Modeling and Optimization Using Hybrid ANN. Sustainability 2022, 14, 6599. [Google Scholar] [CrossRef]
- Quadros, J.D.; Hanumanthraya; Suhas; Vaishak, N.L.; Balakrishna, S.S.; Davangeri, M.B. Analysis of Variance (ANOVA) and Response Surface Analysis of Thrust Force and Torque in Drilling Granite Fiber Reinforced Epoxy Composites by Using Multi Facet HSS Twist Drill. Procedia Mater. Sci. 2014, 5, 1660–1669. [Google Scholar] [CrossRef]
- Rajamurugan, T.V.; Shanmugam, K.; Rajakumar, S.; Palanikumar, K. Modelling and Analysis of Thrust Force in Drilling of GFRP Composites Using Response Surface Methodology (RSM). Procedia Eng. 2012, 38, 3757–3768. [Google Scholar] [CrossRef]
- Kilickap, E. Analysis and modeling of delamination factor in drilling glass fiber reinforced plastic using response surface methodology. J. Compos. Mater. 2010, 45, 727–736. [Google Scholar] [CrossRef]
- Haggerty, R.; Sun, J.; Yu, H.; Li, Y. Application of machine learning in groundwater quality modeling—A comprehensive review. Water Res. 2023, 233, 119745. [Google Scholar] [CrossRef]
- Debauche, O.; Mahmoudi, S.; Manneback, P.; Lebeau, F. Cloud and distributed architectures for data management in agriculture 4.0: Review and future trends. J. King Saud Univ.-Comput. Inf. Sci. 2022, 34, 7494–7514. [Google Scholar] [CrossRef]
- Shaban, M.; Alateyah, A.I.; Alsharekh, M.F.; Alawad, M.O.; BaQais, A.; Kamel, M.; Alsunaydih, F.N.; El-Garaihy, W.H.; Salem, H.G. Influence of ECAP Parameters on the Structural, Electrochemical and Mechanical Behavior of ZK30: A Combination of Experimental and Machine Learning Approaches. J. Manuf. Mater. Process. 2023, 7, 6279. [Google Scholar] [CrossRef]
- Outeiro, J.; Cheng, W.; Chinesta, F.; Ammar, A. Modelling and Optimization of Machining of Ti-6Al-4V Titanium Alloy Using Machine Learning and Design of Experiments Methods. J. Manuf. Mater. Process. 2022, 6, 58. [Google Scholar] [CrossRef]
- Sarıkaya, M.; Gupta, M.K.; Tomaz, I.; Krolczyk, G.M.; Khanna, N.; Karabulut, Ş.; Prakash, C.; Buddhi, D. Resource savings by sustainability assessment and energy modelling methods in mechanical machining process: A critical review. J. Clean. Prod. 2022, 370, 133403. [Google Scholar] [CrossRef]
- Khan, A.M.; Alkahtani, M.; Sharma, S.; Jamil, M.; Iqbal, A.; He, N. Sustainability-based holistic assessment and determination of optimal resource consumption for energy-efficient machining of hardened steel. J. Clean. Prod. 2021, 319, 128674. [Google Scholar] [CrossRef]
- Preez, A.d.; Oosthuizen, G.A. Machine learning in cutting processes as enabler for smart sustainable manufacturing. In Proceedings of the 16th Global Conference on Sustainable Manufacturing-Sustainable Manufacturing for Global Circular Economy, Lexington, KY, USA, 2–4 October 2018; pp. 810–817. [Google Scholar]
- Olanipekun, A.T.; Mashinini, P.M.; Owojaiye, O.A.; Maledi, N.B. Applying a Neural Network-Based Machine Learning to Laser-Welded Spark Plasma Sintered Steel: Predicting Vickers Micro-Hardness. J. Manuf. Mater. Process. 2022, 6, 91. [Google Scholar] [CrossRef]
- Flores, V.; Keith, B.; Leiva, C. Using Artificial Intelligence Techniques to Improve the Prediction of Copper Recovery by Leaching. J. Sens. 2020, 2020, 2454875. [Google Scholar] [CrossRef]
- Abdelwahed, M.S.; El-Baz, M.A.; El-Midany, T.T. A Proposed Performance Prediction Approach for Manufacturing Processes using ANNs. Int. J. Ind. Manuf. Eng. 2012, 6, 260–265. [Google Scholar] [CrossRef]
- Lalwani, V.; Sharma, P.; Pruncu, C.I.; Unune, D.R. Response Surface Methodology and Artificial Neural Network-Based Models for Predicting Performance of Wire Electrical Discharge Machining of Inconel 718 Alloy. J. Manuf. Mater. Process. 2020, 4, 44. [Google Scholar] [CrossRef]
- Tabet, Z.; Belaadi, A.; Boumaaza, M.; Bourchak, M. Drilling of a bidirectional jute fibre and cork-reinforced polymer biosandwich structure: ANN and RSM approaches for modelling and optimization. Int. J. Adv. Manuf. Technol. 2021, 117, 3819–3839. [Google Scholar] [CrossRef]
- Adda, B.; Belaadi, A.; Boumaaza, M.; Bourchak, M. Experimental investigation and optimization of delamination factors in the drilling of jute fiber–reinforced polymer biocomposites with multiple estimators. Int. J. Adv. Manuf. Technol. 2021, 116, 2885–2907. [Google Scholar] [CrossRef]
- Anarghya, A.; Harshith, D.N.; Rao, N.; Nayak, N.S.; Gurumurthy, B.M.; Abhishek, V.N.; Patil, I.G.S. Thrust and torque force analysis in the drilling of aramid fibre-reinforced composite laminates using RSM and MLPNN-GA. Heliyon 2018, 4, e00703. [Google Scholar] [CrossRef]
- Erturk, A.T.; Vatansever, F.; Yarar, E.; Guven, E.A.; Sinmazcelik, T. Effects of cutting temperature and process optimization in drilling of GFRP composites. J. Compos. Mater. 2020, 55. [Google Scholar] [CrossRef]
- Bayraktar, Ş.; Turgut, Y. Determination of delamination in drilling of carbon fiber reinforced carbon matrix composites/Al 6013-T651 stacks. Measurement 2020, 154, 107493. [Google Scholar] [CrossRef]
- Solati, A.; Hamedi, M.; Safarabadi, M. Comprehensive investigation of surface quality and mechanical properties in CO2 laser drilling of GFRP composites. Int. J. Adv. Manuf. Technol. 2019, 102, 791–808. [Google Scholar] [CrossRef]
- Rajaraman, G.; Agasti, S.K.; Jenarthanan, M.P. Investigation on effect of process parameters on delamination during drilling of kenaf-banana fiber reinforced in epoxy hybrid composite using Taguchi method. Polym. Compos. 2019, 41, 994–1002. [Google Scholar] [CrossRef]
- Kharwar, P.; Verma, R. Grey embedded in artificial neural network (ANN) based on hybrid optimization approach in machining of GFRP epoxy composites. FME Trans. 2019, 47, 641–648. [Google Scholar] [CrossRef]
- Wang, H.; Zhang, X.; Duan, Y. Effects of drilling area temperature on drilling of carbon fiber reinforced polymer composites due to temperature-dependent properties. Int. J. Adv. Manuf. Technol. 2018, 96, 2943–2951. [Google Scholar] [CrossRef]
- Abdelaoui, F.Z.E.; Jabri, A.; Barkany, A.E. Optimization techniques for energy efficiency in machining processes-a review. Int. J. Adv. Manuf. Technol. 2023, 125, 2967–3001. [Google Scholar] [CrossRef]
- Cerda-Flores, S.C.; Rojas-Punzo, A.A.; Nápoles-Rivera, F. Applications of Multi-Objective Optimization to Industrial Processes: A Literature Review. Processes 2022, 10, 133. [Google Scholar] [CrossRef]
- He, W.; Bagherzadeh, S.A.; Shahrajabian, H.; Karimipour, A.; Jadidi, H.; Bach, Q.-V. Controlled elitist multi-objective genetic algorithm joined with neural network to study the effects of nano-clay percentage on cell size and polymer foams density of PVC/clay nanocomposites. J. Therm. Anal. Calorim. 2019, 139, 2801–2810. [Google Scholar] [CrossRef]
- Koochaki, A.; Shahgholi, M.; Sajadi, S.M.; Babadi, E.; Inc, M. Investigation of the mechanical stability of polyethylene glycol hydrogel reinforced with cellulose nanofibrils for wound healing: Molecular dynamics simulation. Eng. Anal. Bound. Elem. 2023, 151, 1–7. [Google Scholar] [CrossRef]
- Kumar, R.; Jesudoss Hynes, N.R.; Pruncu, C.I.; Jennifa Sujana, J.A. Multi-objective optimization of green technology thermal drilling process using grey-fuzzy logic method. J. Clean. Prod. 2019, 236, 117711. [Google Scholar] [CrossRef]
- Khashaba, U.A.; Abd-Elwahed, M.S.; Eltaher, M.A.; Najjar, I.; Melaibari, A.; Ahmed, K.I. Thermo-Mechanical and Delamination Properties in Drilling GFRP Composites by Various Drill Angles. Polymers 2021, 13, 1884. [Google Scholar] [CrossRef]
- Szwajka, K.; Trzepieciński, T. Effect of tool material on tool wear and delamination during machining of particleboard. J. Wood Sci. 2016, 62, 305–315. [Google Scholar] [CrossRef]
- Khashaba, U.A.; El-Sonbaty, I.A.; Selmy, A.I.; Megahed, A.A. Machinability analysis in drilling woven GFR/epoxy composites: Part I–Effect of machining parameters. Compos. Part A Appl. Sci. Manuf. 2010, 41, 391–400. [Google Scholar] [CrossRef]
- Shyha, I.S.; Aspinwall, D.K.; Soo, S.L.; Bradley, S. Drill geometry and operating effects when cutting small diameter holes in CFRP. Int. J. Mach. Tools Manuf. 2009, 49, 1008–1014. [Google Scholar] [CrossRef]
- Haykin, S. Neural Networks and Learning Machines, 3rd ed.; Pearson Education Inc.: Upper Saddle River, NJ, USA, 2009. [Google Scholar]
- Cater, J.P. Successfully using of peak learning rates of 10 (and greater) in back-propagation networks with the heuristic learning algorithm. In Proceedings of the IEEE First International Conference on Neural Networks, San Diego, CA, USA, 21–24 June 1987; pp. 645–651. [Google Scholar]
- Shi, Y.; Eberhart, R. A modified particle swarm optimizer. In Proceedings of the 1998 IEEE International Conference on Evolutionary Computation Proceedings. IEEE World Congress on Computational Intelligence (Cat. No. 98TH8360), Anchorage, AK, USA, 4–9 May 1998; pp. 69–73. [Google Scholar]
- Kennedy, J.; Eberhart, R. Particle swarm optimization. In Proceedings of the ICNN′95-International Conference on Neural Networks, Perth, WA, Australia, 27 November–1 December 1995; Volume 944, pp. 1942–1948. [Google Scholar]
- Mudhukrishnan, M.; Hariharan, P.; Palanikumar, K.; Latha, B. Optimization and sensitivity analysis of drilling parameters for sustainable machining of carbon fiber–reinforced polypropylene composites. J. Thermoplast. Compos. Mater. 2018, 32, 1485–1508. [Google Scholar] [CrossRef]
- Khan, A.M.; Jamil, M.; Mia, M.; He, N.; Zhao, W.; Gong, L. Sustainability-based performance evaluation of hybrid nanofluid assisted machining. J. Clean. Prod. 2020, 257, 120541. [Google Scholar] [CrossRef]
- Belaadi, A.; Laouici, H.; Bourchak, M. Mechanical and drilling performance of short jute fibre-reinforced polymer biocomposites: Statistical approach. Int. J. Adv. Manuf. Technol. 2019, 106, 1989–2006. [Google Scholar] [CrossRef]











| Levels | |
|---|---|
| Feed, f (mm/r) | 0.025, 0.050, 0.100, 0.200 |
| Spindle speed, s (r/min) | 400, 800, 1600 |
| Drill point angle, a (deg.) | 100, 118, 140 |
| Thickness of laminate, t (mm) | 2.6, 5.3, 7.7 |
| A deg. | s (r/min) | f (mm/r) | t = 2.6 mm | t = 5.3 mm | t = 7.7 mm | |||
|---|---|---|---|---|---|---|---|---|
| T (N.cm) | P (W) | T (N.cm) | P (W) | T (N.cm) | P (W) | |||
| 100° | 400 | 0.025 | 17.757 | 7.441154 | 26.099 | 10.93677 | 22.753 | 9.534758 |
| 0.05 | 21.702 | 9.094297 | 29.076 | 12.1844 | 28.809 | 12.07218 | ||
| 0.1 | 26.333 | 11.0347 | 33.393 | 13.9933 | 35.07 | 14.69592 | ||
| 0.2 | 30.042 | 12.58886 | 41.188 | 17.25978 | 43.745 | 18.3312 | ||
| 800 | 0.025 | 16.134 | 13.52166 | 24.739 | 20.73389 | 21.094 | 17.67895 | |
| 0.05 | 20.351 | 17.05633 | 27.342 | 22.91503 | 25.118 | 21.05153 | ||
| 0.1 | 24.328 | 20.38901 | 31.85 | 26.69367 | 33.173 | 27.8018 | ||
| 0.2 | 28.583 | 23.95511 | 39.687 | 33.26182 | 41.56 | 34.83107 | ||
| 1600 | 0.025 | 14.834 | 24.86411 | 22.078 | 37.00677 | 19.906 | 33.36658 | |
| 0.05 | 19.19 | 32.16542 | 25.061 | 42.00634 | 24.214 | 40.58761 | ||
| 0.1 | 23.097 | 38.71564 | 31.453 | 52.72122 | 30.223 | 50.6595 | ||
| 0.2 | 27.099 | 45.42258 | 37.072 | 62.13906 | 39.644 | 66.4514 | ||
| 118° | 400 | 0.025 | 9.2662 | 3.882996 | 14.906 | 6.24645 | 13.91 | 5.82891 |
| 0.05 | 11.039 | 4.62595 | 16.754 | 7.020766 | 16.736 | 7.013097 | ||
| 0.1 | 14.972 | 6.273939 | 22.64 | 9.487238 | 21.225 | 8.894286 | ||
| 0.2 | 20.108 | 8.42621 | 28.622 | 11.99381 | 27.113 | 11.36176 | ||
| 800 | 0.025 | 7.8864 | 6.609538 | 12.502 | 10.47795 | 11.299 | 9.469722 | |
| 0.05 | 10.428 | 8.73949 | 14.351 | 12.02776 | 14.514 | 12.16428 | ||
| 0.1 | 14.127 | 11.83944 | 20.475 | 17.16017 | 19.372 | 16.23533 | ||
| 0.2 | 19.107 | 16.01357 | 25.673 | 21.51634 | 24.828 | 20.80806 | ||
| 1600 | 0.025 | 7.2491 | 12.15091 | 10.349 | 17.34606 | 10.111 | 16.94712 | |
| 0.05 | 9.258 | 15.51809 | 13.87 | 23.2491 | 12.978 | 21.7541 | ||
| 0.1 | 12.698 | 21.28494 | 17.578 | 29.46424 | 17.949 | 30.08578 | ||
| 0.2 | 19.055 | 31.94014 | 24.661 | 41.33704 | 23.133 | 38.77481 | ||
| 140° | 400 | 0.025 | 15.998 | 6.70384 | 23.563 | 9.873851 | 19.671 | 8.243253 |
| 0.05 | 18.355 | 7.691535 | 27.016 | 11.32116 | 22.11 | 9.265269 | ||
| 0.1 | 22.508 | 9.432008 | 30.586 | 12.81678 | 32.119 | 13.45918 | ||
| 0.2 | 27.441 | 11.49925 | 36.739 | 15.39543 | 38.681 | 16.20931 | ||
| 800 | 0.025 | 13.199 | 11.06194 | 20.538 | 17.21288 | 18.492 | 15.49822 | |
| 0.05 | 14.995 | 12.56682 | 25.013 | 20.96328 | 21.235 | 17.79704 | ||
| 0.1 | 22.745 | 19.06231 | 29.607 | 24.81382 | 30.099 | 25.22541 | ||
| 0.2 | 27.425 | 22.98443 | 35.054 | 29.37876 | 37.165 | 31.14773 | ||
| 1600 | 0.025 | 12.697 | 21.28226 | 19.906 | 33.36642 | 15.002 | 25.14571 | |
| 0.05 | 15.45 | 25.89714 | 23.666 | 39.66939 | 18.363 | 30.77989 | ||
| 0.1 | 22.125 | 37.08605 | 28.722 | 48.14421 | 29.804 | 49.95785 | ||
| 0.2 | 24.623 | 41.27301 | 33.735 | 56.54679 | 35.123 | 58.87334 | ||
| Source | DF | Thrust Force | p-Value | Torque | p-Value | Power | p-Value | Delamination Factor | p-Value |
|---|---|---|---|---|---|---|---|---|---|
| Model | 14 | 98.51% | 0 | 97.95% | 0 | 95.22% | 0 | 86.63% | 0 |
| Linear | 4 | 91.43% | 0 | 57.99% | 0 | 76.72% | 0 | 61.88% | 0 |
| f (mm/r) | 1 | 84.60% | 0 | 43.45% | 0 | 14.88% | 0 | 44.42% | 0 |
| s (r/min) | 1 | 0.38% | 0 | 2.36% | 0 | 58.07% | 0 | 0.11% | 0.016 |
| a (deg.) | 1 | 6.33% | 0 | 1.51% | 0 | 0.47% | 0 | 14.42% | 0 |
| t (mm) | 1 | 0.12% | 0.001 | 10.67% | 0 | 3.30% | 0 | 2.93% | 0 |
| Square | 4 | 2.89% | 0 | 38.68% | 0 | 13.09% | 0 | 20.67% | 0 |
| f 2 | 1 | 0.02% | 0.219 | 1.47% | 0 | 0.56% | 0.001 | 1.11% | 0.007 |
| s2 | 1 | 0.00% | 0.832 | 0.15% | 0.01 | 0.01% | 0.648 | 1.33% | 0.003 |
| a2 | 1 | 1.04% | 0 | 32.26% | 0 | 10.96% | 0 | 1.05% | 0.008 |
| t2 | 1 | 1.82% | 0 | 4.80% | 0 | 1.57% | 0 | 17.17% | 0 |
| 2-Way Interaction | 6 | 4.19% | 0 | 1.28% | 0 | 5.41% | 0 | 4.08% | 0 |
| f × s | 1 | 0.00% | 0.924 | 0.00% | 0.879 | 4.24% | 0 | 2.23% | 0 |
| f × a | 1 | 3.56% | 0 | 0.00% | 0.884 | 0.00% | 0.978 | 0.03% | 0.667 |
| f × t | 1 | 0.00% | 0.699 | 1.13% | 0 | 0.38% | 0.008 | 0.00% | 0.862 |
| s × a | 1 | 0.06% | 0.065 | 0.01% | 0.471 | 0.10% | 0.173 | 0.06% | 0.517 |
| s × t | 1 | 0.01% | 0.444 | 0.08% | 0.053 | 0.68% | 0 | 0.01% | 0.759 |
| a × t | 1 | 0.56% | 0 | 0.05% | 0.139 | 0.02% | 0.557 | 1.75% | 0.001 |
| Error | 93 | 1.49% | 2.05% | 4.78% | 13.37% | ||||
| Total | 107 | 100.00% | 100.00% | 100.00% | 100.00% | ||||
| R2 | 0.9851 | 0.9795 | 0.9353 | 0.8663 | |||||
| Response of Process | MSE | R-Value |
|---|---|---|
| Thrust force, N | 11.0298 | 0.9931 |
| Torque, N-cm | 1.2531 | 0.9908 |
| Power, W | 4.5108 | 0.9884 |
| Exit delamination factor | 4.3581 × 10−4 | 0.9621 |
| Process Property | RSA Model | PSO-NN Model | ||||
|---|---|---|---|---|---|---|
| R2 | MSE | MAPE | R2 | MSE | MAPE | |
| Thrust force | 0.9851 | 11.9925 | 5.3998 | 0.9863 | 11.0298 | 5.2435 |
| Torque | 0.9795 | 1.41937 | 5.03901 | 0.9820 | 1.25312 | 4.60686 |
| Power | 0.9353 | 12.5629 | 18.1511 | 0.9769 | 4.5108 | 11.2193 |
| Delamination factor | 0.8665 | 7.92 × 10−4 | 1.57443 | 0.9255 | 4.35 × 10−4 | 1.15575 |
| Sol. | Process Inputs | Process Properties | Quality Attribute | Composite Desirability | |||||
|---|---|---|---|---|---|---|---|---|---|
| Feed (mm/r) | Spindle Speed (r/min) | Drill Point Angle (deg.) | Thickness (mm) | Thrust Force (N) Fit | Torque (N.cm) Fit | Power (W) Fit | Delamination Factor–Fit | ||
| 1 | 0.025 | 654.55 | 117.778 | 3.88788 | 32.261 | 10.6639 | 3.889 | 1.38762 | 0.910417 |
| 2 | 0.0255 | 401.19 | 112.385 | 4.75141 | 35.215 | 15.3307 | 2.3019 | 1.35164 | 0.895838 |
| 3 | 0.025 | 1125.21 | 117.832 | 5.08073 | 32.233 | 11.2027 | 11.635 | 1.36387 | 0.894639 |
| 4 | 0.025 | 874.49 | 113.86 | 4.52374 | 32.867 | 12.315 | 8.5198 | 1.3686 | 0.894463 |
| 5 | 0.025 | 400 | 123.375 | 7.7 | 25.462 | 12.2577 | 0.86 | 1.41214 | 0.893884 |
Disclaimer/Publisher’s Note: The statements, opinions and data contained in all publications are solely those of the individual author(s) and contributor(s) and not of MDPI and/or the editor(s). MDPI and/or the editor(s) disclaim responsibility for any injury to people or property resulting from any ideas, methods, instructions or products referred to in the content. |
© 2023 by the author. Licensee MDPI, Basel, Switzerland. This article is an open access article distributed under the terms and conditions of the Creative Commons Attribution (CC BY) license (https://creativecommons.org/licenses/by/4.0/).
Share and Cite
Abd-Elwahed, M.S. Multi-Objective Optimization of Drilling GFRP Composites Using ANN Enhanced by Particle Swarm Algorithm. Processes 2023, 11, 2418. https://doi.org/10.3390/pr11082418
Abd-Elwahed MS. Multi-Objective Optimization of Drilling GFRP Composites Using ANN Enhanced by Particle Swarm Algorithm. Processes. 2023; 11(8):2418. https://doi.org/10.3390/pr11082418
Chicago/Turabian StyleAbd-Elwahed, Mohamed S. 2023. "Multi-Objective Optimization of Drilling GFRP Composites Using ANN Enhanced by Particle Swarm Algorithm" Processes 11, no. 8: 2418. https://doi.org/10.3390/pr11082418
APA StyleAbd-Elwahed, M. S. (2023). Multi-Objective Optimization of Drilling GFRP Composites Using ANN Enhanced by Particle Swarm Algorithm. Processes, 11(8), 2418. https://doi.org/10.3390/pr11082418

