Characterization of Wave Power Resources off the Coast of Guangdong
Abstract
1. Introduction
2. Materials and Methods
2.1. Materials
2.2. Methods
3. Results
3.1. Wave Heights and Periods
3.2. Wave Directions
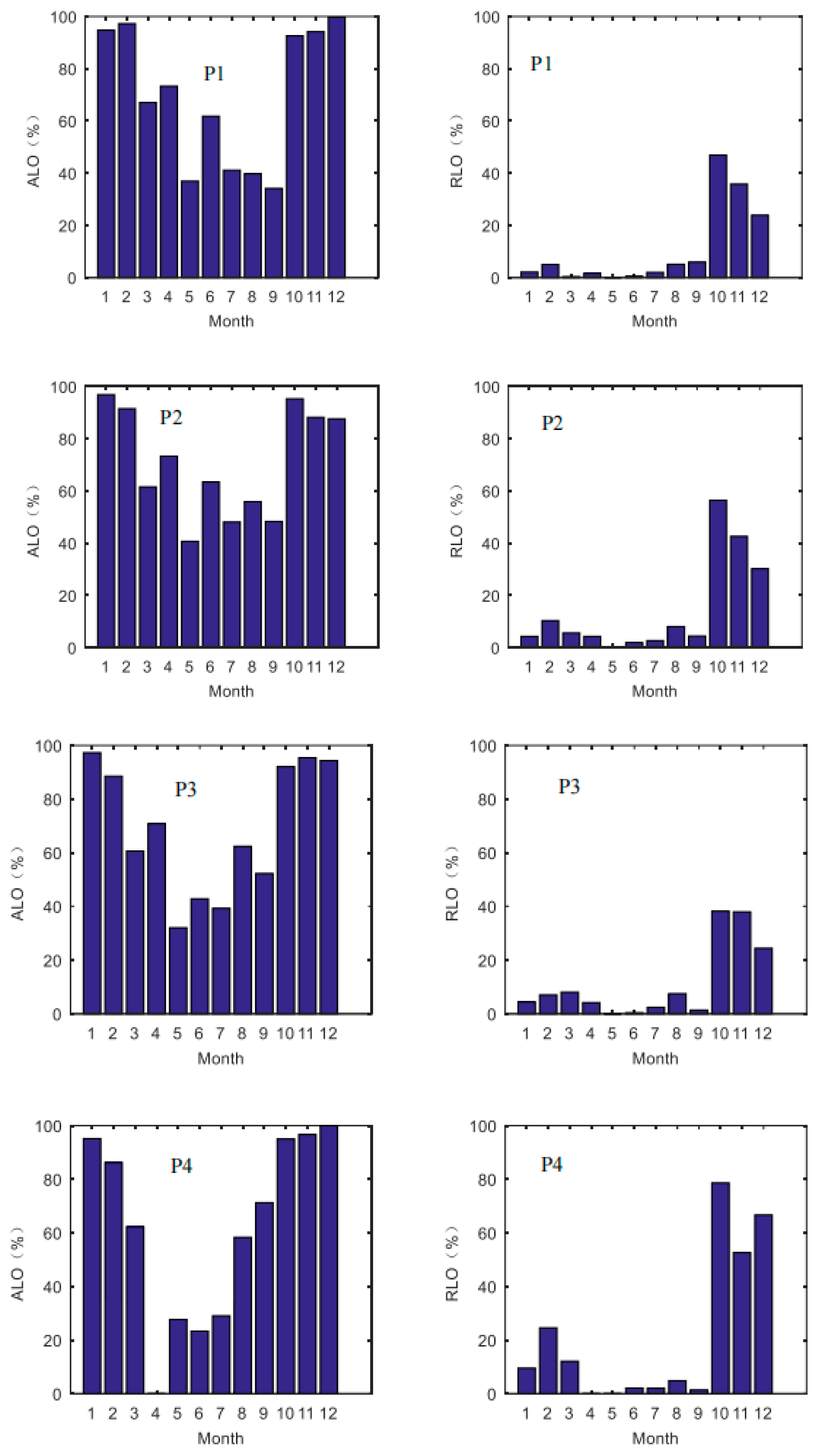
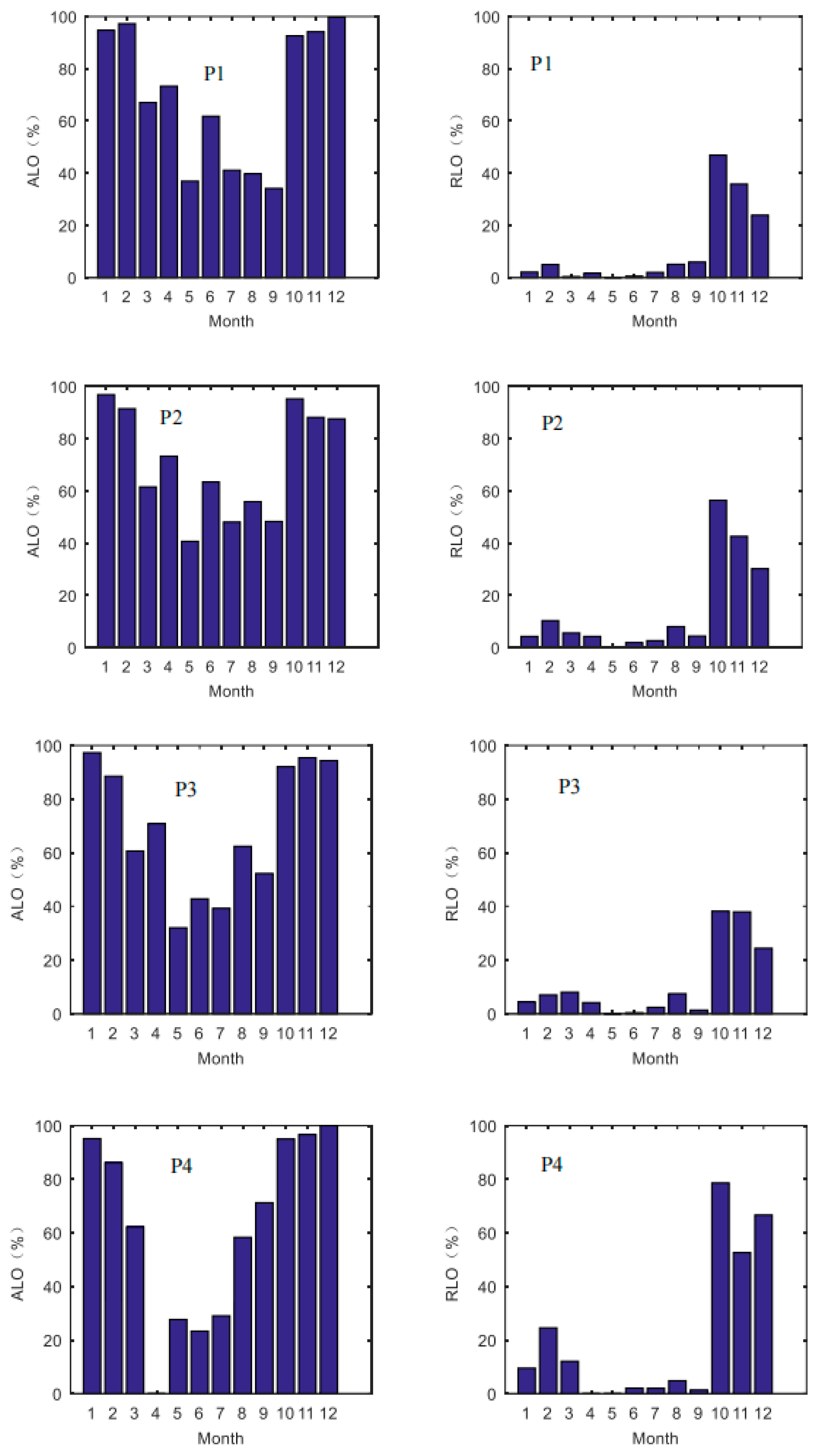
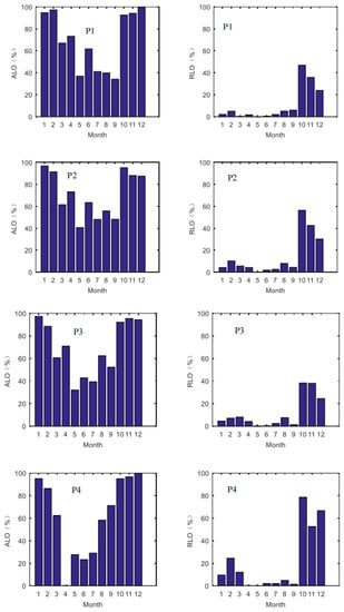
3.3. Effective Wave Height Occurrence (EWHO)
3.4. Wave Energy Density
3.5. Wave Energy Level Frequency
3.6. Effective Storage of Wave Energy
3.7. Wave Power Stability Analysis
3.8. The Effect of Ocean Conditions
4. Discussion
5. Conclusions
- (1)
- The waters of the Guangdong coast have abundant wave renewable energy resources, with an average energy density of (8.55–13.1) kW/m.
- (2)
- The Guangdong’s coast region has comparatively large effective storage facilities of wave resources throughout the year, ranging from (4.8~7.7) × 106 kW·h/m.
- (3)
- The primary contribution of wave energy occurs throughout the year in the range of wave heights 0.5–2 m and period 5–8 s. Wave heights of 0.5–1 m and periods of 5–6 s have the highest frequency of occurrence, and the contribution ratio of wave energy to the full year is likewise the largest, accounting for around 7–12%.
Author Contributions
Funding
Data Availability Statement
Conflicts of Interest
Abbreviations
| Abbreviation | Definition | Units |
| EWHO | Effective wave height occurrence | % |
| WPD (Pw) | Wave energy density | kW/m |
| SWH (Hs) | Significant wave heights | m |
| ALO | Available level occurrence | % |
| RLO | Rich level occurrence | % |
| Te | Wave energy Periods | s |
| Ts | Significant Wave Periods | s |
| Tp | the spectral peak period | s |
| E | Effective storage of wave energy | kW·h/m |
| WW3 | WAVEWATCH-III | / |
| SWAN | Simulated Waves Nearshore | / |
| CCMP | Cross Calibrated Multi Platform | / |
| ECMWF | European Centre for Medium-Range Weather Forecasts | / |
| Parameters | Definition | Units |
| density of seawater | kg/m3 | |
| g | the acceleration of gravity | m/s2 |
| Cg | the group velocity | m/s |
| S(f,θ) | the directional wave energy spectrum | m2/Hz |
| mn | the n-order moment of the wave spectrum | m2 |
| Npower | the number of times SWH occurred between 1.3 m and 4.0 m | / |
| Nall | the number of times all waves were observed | / |
| N2 | the number of times the wave energy density is greater than 2 kW/m, | / |
| N20 | the number of times the wave energy density is greater than 20 kW/m | / |
| the average wave energy density | kW/m | |
| H | the hours of the month | / |
| fw | the available effective wave height frequency | % |
| Sv | Seasonal variation indices | / |
| Mv | Monthly variation indices | / |
| Pmean | the average wave energy density throughout the year | kW/m |
| Psmax | the maximum wave energy density seasons | kW/m |
| Psmin | the minimum wave energy density seasons | kW/m |
| PMmax | the maximum wave energy density month | kW/m |
| PMmin | the minimum wave energy density month | kW/m |
References
- Zheng, C.W.; Li, C.Y. Review on the global ocean wave energy resource. Mar. Forecast. 2016, 33, 76–88. [Google Scholar]
- Sannasiraj, S.A.; Sundar, V. Assessment of wave energy potential and its harvesting approach along the Indian coast. Renew. Energy 2016, 99, 398–409. [Google Scholar] [CrossRef]
- Ahn, S.; Haas, K.A.; Neary, V.S. Wave energy resource characterization and assessment for coastal waters of the United States. Appl. Energy 2020, 267, 114922. [Google Scholar] [CrossRef]
- Duan, S.H.; Jiang, M.B.; Bo, W.B.; Li, X.F.; Yang, S.B. Analysis of temporal and spatial characteristic of wave energy of maritime silk road. Trans. Oceanol. Limnol. 2022, 44, 42–49. [Google Scholar]
- Zheng, C.; Shao, L.; Shi, W.; Su, Q.; Lin, G.; Li, X.; Chen, X. An assessment of global ocean wave energy resources over the last 45 a. Acta Oceanol. Sin. 2014, 33, 92–101. [Google Scholar] [CrossRef]
- Thorpe, T.W. A Brief Review of Wave Energy; Report No. ETSU-R120, A Report Produced for the UK Department of Trade and Industry; AEA Technology plc: Oxford, UK, 1999. [Google Scholar]
- Cheng, Y.L.; Dang, Y.; Wu, Y.J. Status and trends of power generation from wave. Appl. Energy Technol. 2009, 12, 26–30. [Google Scholar]
- Zhang, S.; Liu, F.Y.; Zhang, B.; Ma, Z.Z.; Jiang, B. Investigation and assessment of wave energy in coast area of China. Ocean Technol. 2012, 31, 79–81. [Google Scholar]
- Zheng, C.W.; Zhou, L. Wave climate and wave energy analysis of the South China Sea in recent 10 years. Acta Energiae Solaris Sin. 2012, 33, 1349–1356. [Google Scholar]
- Zheng, C.W.; Lin, G.; Sun, Y.; Yang, S. Simulation of wave energy resources in the South China Sea during the past 22 years. J. Trop. Oceanogr. 2012, 31, 13–19. [Google Scholar]
- Xi, L.T.; Li, X.F.; Song, L.J.; Yang, S.B.; Huang, Z.Z. Simulative evaluation of wave resources in the South China Sea. Renew. Energy Resour. 2021, 39, 561–568. [Google Scholar]
- Zong, F.Y.; Wu, K.J. Research on distribution and variations of wave energy in South China Sea based on recent 20 years’ wave simulation results using SWAN wave model. Trans. Oceanol. Limnol. 2014, 3, 1–12. [Google Scholar]
- Wan, Y.; Zhang, J.; Meng, J.M.; Wang, J. Wave energy assessment in the East China Sea and South China Sea based on ERA-Interim high resolution data. Acta Energiae Solaris Sin. 2015, 36, 1259–1267. [Google Scholar]
- Jiang, S.H.; Shu, X.J.; Wang, Q.; Yan, Z.T. Evolution characteristics of wave energy resources in Guangdong coastal area based on long time series ERA-Interim reanalysis data. Mar. Sci. Bull. 2021, 40, 550–558. [Google Scholar]
- Ding, J.; Wu, G.W.; Du, M.; Hou, E.; Chen, J.; Jiang, B. Evaluation of wave energy resources in South China Sea based on the re-analyzed data of ERA-Interim. Acta Energiae Solaris Sin. 2022, 43, 424–429. [Google Scholar]
- Wan, Y.; Zhang, J.; Meng, J.; Wang, J. A wave energy resource assessment in the China’s seas based on multi-satellite merged radar altimeter data. Acta Oceanol. Sin. 2015, 34, 115–124. [Google Scholar] [CrossRef]
- Defne, Z.; Haas, K.A.; Fritz, H.M. Wave power potential along the Atlantic coast of the southeastern USA. Renew. Energy 2009, 34, 2197–2205. [Google Scholar] [CrossRef]
- Ozkan, C.; Mayo, T. The renewable wave energy resource in coastal regions of the Florida peninsula. Renew. Energy 2019, 139, 530–537. [Google Scholar] [CrossRef]
- Wu, S.; Liu, C.; Chen, X. Offshore wave energy resource assessment in the East China Sea. Renew. Energy 2015, 76, 628–636. [Google Scholar] [CrossRef]
- Yang, Z.L.; Ye, Q.; Shi, W.Y. Application of measured wave spectrum in the wave energy analysis of Northern Fujian sea. J. Appl. Oceanogr. 2016, 35, 15–19. [Google Scholar]
- Rizal, A.M.; Ningsih, N.S. Description and variation of ocean wave energy in Indonesian seas and adjacent waters. Ocean. Eng. 2022, 251, 111086. [Google Scholar] [CrossRef]
- Zheng, C.W. Analysis of Wave Energy and Offshore Wind Energy Resources; National University of Defense Technology: Changsha, China, 2018. [Google Scholar]
- Pan, D.D.; Zhou, C.; Wang, J.; Li, J. Analysis of the annual wave characteristics in the deep water area near the east coast of Guangdong province. South. Energy Constr. 2020, 7, 34–40. [Google Scholar]
- Yin, Y.; Jiang, L.F.; Zhang, Z.X.; Yu, H.; Wang, H. Statistical analysis of wave characteristics in the Pearl River Estuary. J. Trop. Oceanogr. 2017, 36, 60–66. [Google Scholar]
- Deng, S.; Liu, X.F.; You, D.W.; Tang, C.L. Five kinds of major marine disasters impacting on Guangdong Province during 1991–2005. Guangdong Meteorol. 2006, 4, 19–22+29. [Google Scholar]
- Qu, K.; Piao, S.; Zhou, J.; Zhu, F. Analysis of Surface Sound Duct in the Northern Shelf of the South China Sea. Shock. Vib. 2018, 2018, 2409761. [Google Scholar] [CrossRef]
- Sheng, W.; Li, H.; Murphy, J. An improved method for energy and resource assessment of waves in finite water depths. Energies 2017, 10, 1188. [Google Scholar] [CrossRef]
- Zhang, Y.S.; Hu, S.; Wang, F. Distribution of offshore wind and wave energy resources with adverse weather constraints. Acta Energiae Solaris Sin. 2022, 43, 200–205. [Google Scholar]
- Chen, W.; Liu, W.; Liang, H.; Jiang, M.; Dai, Z. Response of storm surge and M2 tide to typhoon speeds along coastal Zhejiang Province. Ocean Eng. 2023, 270, 113646. [Google Scholar] [CrossRef]
- Shen, S.G.; Qian, X.Z. Resource Ocean-Exploit the Rich Blue Treasure House; Haichao Press: Beijing, China, 2004. [Google Scholar]
- Lv, S.; Zhang, B.; Ji, Y.; Ren, J.; Yang, J.; Lai, Y.; Chang, Z. Comprehensive research on a high performance solar and radiative cooling driving thermoelectric generator system with concentration for passive power generation. Energy 2023, 275, 127390. [Google Scholar] [CrossRef]
- Zheng, C.W.; Li, C.Y. Overview of site selection difficulties for marine new energy power plant and suggestions: Wave energy case study. J. Harbin Eng. Univ. 2018, 39, 200–206. [Google Scholar]
- Liu, S.H.; Yang, Z.L.; Yue, X.Y.; Mu, L.; Chen, M.; Wang, X.; Gao, J.; Zhou, K. Wave energy resource assessment in Shandong offshore. Haiyyang Xuebao 2015, 37, 108–122. [Google Scholar]
- Zheng, C.W. 21st Century Maritime Silk road: Wave energy evaluation and decision and proposal of the Sri Lankan Waters. J. Harbin Eng. Univ. 2018, 39, 614–621. [Google Scholar]
- Lenee-Bluhm, P.; Paasch, R.; Oezkan-Haller, H.T. Characterizing the wave energy resource of the US Pacific Northwest. Renew. Energy 2011, 36, 2106–2119. [Google Scholar] [CrossRef]
- Wang, L.Q.; Feng, W.B.; Tang, X.N.; Gong, Z. Preliminary study on wave energy potential assessment along China. Acta Oceanol. Sin. 2014, 36, 1–7. [Google Scholar]








| No. | Longitude | Latitude | Depth/m |
|---|---|---|---|
| P1 | 112.63 E | 21.12 N | 60 |
| P2 | 113.99 E | 21.49 N | 62 |
| P3 | 115.59 E | 22.27 N | 58 |
| P4 | 117.10 E | 22.86 N | 61 |
| Position | Hs | Max of Hs | Ts | Pmean | Pmax |
|---|---|---|---|---|---|
| (m) | (m) | (s) | (kW m−1) | (kW m−1) | |
| P1 | 1.34 ± 0.75 | 9.8 | 6.3 | 8.6 | 624.2 |
| P2 | 1.43 ± 0.82 | 5.6 | 6.4 | 10.1 | 129.8 |
| P3 | 1.38 ± 0.76 | 5.1 | 6.2 | 8.6 | 120.2 |
| P4 | 1.63 ± 0.98 | 4.6 | 6.3 | 13.1 | 94.6 |
| Index | P1 | P2 | P3 | P4 |
|---|---|---|---|---|
| Sv | 1.83 | 1.89 | 1.71 | 1.93 |
| Mv | 2.85 | 2.76 | 2.36 | 2.22 |
Disclaimer/Publisher’s Note: The statements, opinions and data contained in all publications are solely those of the individual author(s) and contributor(s) and not of MDPI and/or the editor(s). MDPI and/or the editor(s) disclaim responsibility for any injury to people or property resulting from any ideas, methods, instructions or products referred to in the content. |
© 2023 by the authors. Licensee MDPI, Basel, Switzerland. This article is an open access article distributed under the terms and conditions of the Creative Commons Attribution (CC BY) license (https://creativecommons.org/licenses/by/4.0/).
Share and Cite
Liu, T.; Yu, J.; Yu, Y.; Zhang, X.; Zhou, B.; Yin, L. Characterization of Wave Power Resources off the Coast of Guangdong. Processes 2023, 11, 2221. https://doi.org/10.3390/pr11072221
Liu T, Yu J, Yu Y, Zhang X, Zhou B, Yin L. Characterization of Wave Power Resources off the Coast of Guangdong. Processes. 2023; 11(7):2221. https://doi.org/10.3390/pr11072221
Chicago/Turabian StyleLiu, Tongmu, Jianxing Yu, Yang Yu, Xinwen Zhang, Baocheng Zhou, and Liqiang Yin. 2023. "Characterization of Wave Power Resources off the Coast of Guangdong" Processes 11, no. 7: 2221. https://doi.org/10.3390/pr11072221
APA StyleLiu, T., Yu, J., Yu, Y., Zhang, X., Zhou, B., & Yin, L. (2023). Characterization of Wave Power Resources off the Coast of Guangdong. Processes, 11(7), 2221. https://doi.org/10.3390/pr11072221
