Synthesis, Molecular Docking, Molecular Dynamics Studies, and In Vitro Biological Evaluation of New Biofunctional Ketoprofen Derivatives with Different N-Containing Heterocycles
Abstract
1. Introduction
2. Materials and Methods
2.1. General
2.2. Synthesis
2.2.1. Synthesis of 2-(3-benzoylphenyl)propanoyl chloride 2
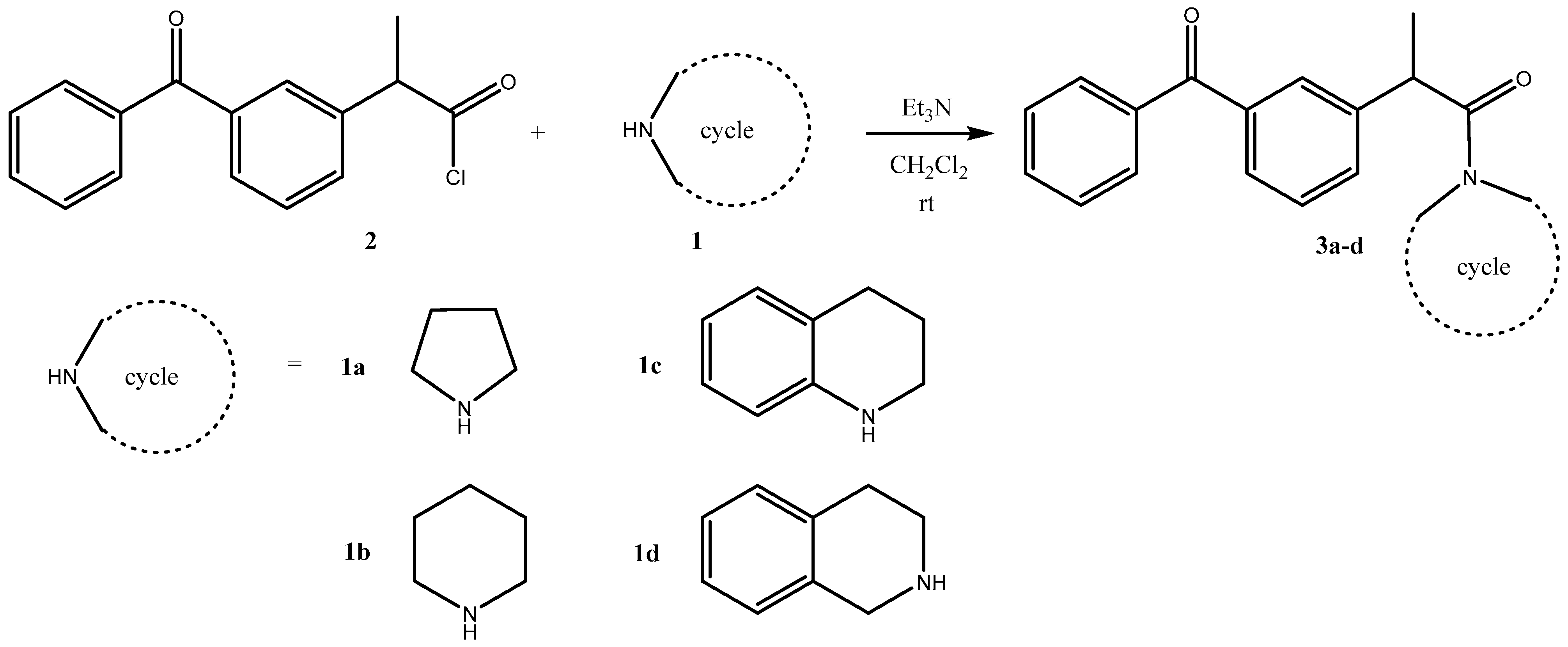
2.2.2. Synthesis of Compounds 3a–d
2.3. HRMS Analysis
2.4. In Vitro Analysis
2.4.1. Hydrogen Peroxide Scavenging Activity (HPSA)
2.4.2. Inhibition of Albumin Denaturation (IAD)
2.4.3. Determination of Lipophilicity as cLlogP
2.4.4. Molecular Docking
2.4.5. Molecular Dynamics
3. Results and Discussion
3.1. Synthesis
3.2. Mass Analysis
3.3. In Vitro Biological Assessment
3.3.1. Hydrogen Peroxide Scavenging Activity (HPSA)
3.3.2. Inhibition of Albumin Denaturation (IAD)
3.3.3. Experimental Determination of Lipophilicity (RM)
3.3.4. Molecular Docking
3.3.5. Molecular Dynamics
4. Conclusions
Supplementary Materials
Author Contributions
Funding
Data Availability Statement
Conflicts of Interest
References
- Qui, M.; Fu, X.; Fu, P.; Huang, J. Construction of aziridine, azetidine, indole and quinolone-like heterocycles via Pd-mediated C-H activation/annulation strategies. Org. Biomol. Chem. 2022, 20, 1339–1359. [Google Scholar] [CrossRef]
- Kumar, P.; Satbhaiya, S. Chapter 6—proline and proline-derived otganocatalysts in the synthesis of heterocycles. In Green Synthetic Approaches for Biologically Relevant Heterocycles. Volume 2: Green Catalytic Systems and Solvents Advances in Green and Sustainable Chemistry, 2nd ed.; Elsevier: Amsterdam, The Netherlands, 2021; pp. 215–251. [Google Scholar] [CrossRef]
- Carroll, I. Epibatidine analogs synthesized for characterization of nicotinic pharmacophores—A review. Heterocycles 2009, 79, 99–120. [Google Scholar] [CrossRef]
- Amarouche, L.; Mehdid, M.; Brahimi, F.; Belkhadem, F.; Karmaoui, M.; Othman, A. Synthesis of some 2-substituted pyrrolidine alkaloid analogues: N-benzyl-2-(5-substituted 1,3,4-oxadiazolyl) pyrrolidine derivatives and pharmacological screening. J. Saudi Chem. Soc. 2022, 26, 101448. [Google Scholar] [CrossRef]
- Singh, L.; Upadhyay, A.; Dixit, P.; Singh, A.; Yadav, D.; Chhavi, A.; Konar, S.; Srivastava, R.; Pandey, S.; Devkota, H.; et al. A Review of chemistry and pharmacology of piperidine alkaloids of pinus and related genera. Curr. Pharm. Biotechnol. 2022, 23, 1132–1141. [Google Scholar] [CrossRef]
- Vitaku, E.; Smith, D.; Njardarson, J. Analysis of the structural diversity, substitution patterns, and frequency of nitrogen heterocycles among U.S. FDA approved pharmaceuticals. J. Med. Chem. 2014, 57, 10257–10274. [Google Scholar] [CrossRef] [PubMed]
- Srinivasan, K. Black pepper and its pungent principle-piperine: A review of diverse physiological effects. Crit. Rev. Food Sci. Nutr. 2007, 47, 735–748. [Google Scholar] [CrossRef] [PubMed]
- Sridharan, V.; Suryavanshi, P.; Menéndez, C. Advances in the chemistry of tetrahydroquinolines. Chem. Rev. 2011, 111, 7157–7259. [Google Scholar] [CrossRef]
- Swidorski, J.; Liu, Z.; Yin, Z.; Wang, T.; Carini, D.; Rahematpura, S.; Zheng, M.; Johnson, K.; Zhang, S.; Lin, P.; et al. Inhibitors of HIV-1 attachment: The discovery and structure-activity relationships of tetrahydroisoquinolines as replacements for the piperazine benzamide in the 3-glyoxylyl 6-azaindole pharmacophore. Bioorg. Med. Chem. Lett. 2016, 26, 160–167. [Google Scholar] [CrossRef]
- Liu, X.-H.; Zhu, J.; Zhou, A.; Song, B.-A.; Zhu, H.-L.; Bai, L.-S.; Bhadury, P.; Pan, C.-X. Synthesis, structure and antibacterial activity of new 2-(1-(2-(substituted-phenyl)-5-methyloxazol-4-yl)-3-(2-substituted-phenyl)-4,5-dihy-dro-1H-pyrazol-5-yl)-7-substitued-1,2,3,4-tetrahydroisoquinoline derivatives. Bioorg. Med. Chem. 2009, 17, 1207–1213. [Google Scholar] [CrossRef]
- Kumar, A.; Katiyar, S.; Gupta, S.; Chauhan, P. Synthesis of new substituted triazino tetrahydroisoqiuinolines and β-carbolines as novel antileishmanial agents. Eur. J. Med. Chem. 2006, 41, 106–113. [Google Scholar] [CrossRef] [PubMed]
- Zhu, J.; Lu, J.; Zhou, Y.; Li, Y.; Cheng, J.; Zheng, C. Design, synthesis, and antifungal activities in vitro of novel tetrahydroisoquinoline compounds based on the structure of lanosterol 14α-demethylase (CYP51) of fungi. Bioorg. Med. Chem. Lett. 2006, 16, 5285–5289. [Google Scholar] [CrossRef]
- Tiwari, R.; Singh, D.; Singh, J.; Chhillar, A.; Chandra, R.; Verma, A. Synthesis, antibacterial activity and QSAR studies of 1,2-disubstituted-6,7-dimethoxy-1,2,3,4-tetrahydroisoquinolines. Eur. J. Med. Chem. 2006, 41, 40–49. [Google Scholar] [CrossRef]
- Faheem, R.; Kumar, B.; Sekhar, K.; Chander, S.; Kunjiappan, S.; Murugesan, S. Medicinal chemistry perspectives of 1,2,3,4-tetrahydroisoquinoline analogs—Biological activities and SAR studies. RSC Adv. 2021, 11, 12254–12287. [Google Scholar] [CrossRef] [PubMed]
- Fischer, J.; Robin, G.C. Analogue-Based Drug Discovery; John Wiley & Sons: Hoboken, NJ, USA, 2006; p. 520. ISBN 9783527607495. [Google Scholar]
- Jachak, S. Cyclooxygenase inhibitory natural products: Current status. Curr. Med. Chem. 2006, 13, 659–678. [Google Scholar] [CrossRef] [PubMed]
- Manolov, S.; Ivanov, I.; Bojilov, D. Synthesis of New 1,2,3,4-Tetrahydroquinoline Hybrid of Ibuprofen and Its Biological Evaluation. Molbank 2022, 2022, M1350. [Google Scholar] [CrossRef]
- Manolov, S.; Ivanov, I.; Bojilov, D. Microwave-assisted synthesis of 1,2,3,4-tetrahydroisoquinoline sulfonamide derivatives and their biological evaluation. J. Serb. Chem. Soc. 2021, 86, 139–151. [Google Scholar] [CrossRef]
- Trott, O.; Olson, A. AutoDock Vina: Improving the speed and accuracy of docking with a new scoring function, efficient optimization, and multithreading. J. Comput. Chem. 2009, 31, 455–461. [Google Scholar] [CrossRef]
- Morris, G.; Huey, R.; Lindstrom, W.; Sanner, M.; Belew, R.; Goodsell, D.; Olson, A. AutoDock4 and AutoDockTools4: Automated Docking with Selective Receptor Flexibility. J. Comput. Chem. 2009, 30, 2785–2791. [Google Scholar] [CrossRef]
- Berman, H.M.; Westbrook, J.; Feng, Z.; Gilliland, G.; Bhat, T.N.; Weissig, H.; Shindyalov, I.N.; Bourne, P.E. The Protein Data Bank. Nucleic Acids Res. 2000, 28, 235–242. [Google Scholar] [CrossRef]
- Makeneni, S.; Thieker, D.F.; Woods, R.J. Applying Pose Clustering and MD Simulations To Eliminate False Positives in Molecular Docking. J. Chem. Inf. Model. 2018, 58, 605–614. [Google Scholar] [CrossRef]
- Hanwell, M.D.; Curtis, D.E.; Lonie, D.C.; Vandermeersch, T.; Zurek, E.; Hutchison, G.R. Avogadro: An advanced semantic chemical editor, visualization, and analysis platform. J. Cheminform. 2012, 4, 17. [Google Scholar] [CrossRef]
- Stoica, C.I.; Marc, G.; Pîrnău, A.; Vlase, L.; Araniciu, C.; Oniga, S.; Palage, M.; Oniga, O. Thiazolyl-oxadiazole derivatives targeting lanosterol 14α-demethylase as potential antifungal agents: Design, synthesis and molecular docking studies. Farmacia 2016, 64, 390–397. Available online: https://farmaciajournal.com/wp-content/uploads/2016-03-art-11-Stoica_Cristina_Oniga_390-397.pdf (accessed on 18 March 2023).
- Borlan, R.; Stoia, D.; Gaina, L.; Campu, A.; Marc, G.; Perde-Schrepler, M.; Silion, M.; Maniu, D.; Focsan, M.; Astilean, S. Fluorescent Phthalocyanine-Encapsulated Bovine Serum Albumin Nanoparticles: Their Deployment as Therapeutic Agents in the NIR Region. Molecules 2021, 26, 4679. [Google Scholar] [CrossRef] [PubMed]
- Ascoli, G.; Domenici, E.; Bertucci, C. Drug binding to human serum albumin: Abridged review of results obtained with high-performance liquid chromatography and circular dichroism. Chirality 2006, 18, 667–679. [Google Scholar] [CrossRef] [PubMed]
- Yang, F.; Zhang, Y.; Liang, H. Interactive Association of Drugs Binding to Human Serum Albumin. Int. J. Mol. Sci. 2014, 15, 3580–3595. [Google Scholar] [CrossRef]
- Nishi, K.; Yamasaki, K.; Otagiri, M. Serum Albumin, Lipid and Drug Binding. Subcell Biochem. 2020, 94, 383–397. [Google Scholar] [CrossRef]
- Czub, M.; Stewart, A.; Shabalin, I.; Minor, W. Organism-specific differences in the binding of ketoprofen to serum albumin. IUCrJ 2022, 9, 551–561. [Google Scholar] [CrossRef]
- Zsila, F. Subdomain IB Is the Third Major Drug Binding Region of Human Serum Albumin: Toward the Three-Sites Model. Mol. Pharm. 2013, 10, 1668–1682. [Google Scholar] [CrossRef]
- Mishra, V.; Heath, R. Structural and Biochemical Features of Human Serum Albumin Essential for Eukaryotic Cell Culture. Int. J. Mol. Sci. 2021, 22, 8411. [Google Scholar] [CrossRef]
- Pettersen, E.; Goddard, T.; Huang, C.; Couch, G.; Greenblatt, D.; Meng, E.; Ferrin, T. UCSF Chimera—A visualization system for exploratory research and analysis. J. Comput. Chem. 2004, 25, 1605–1612. [Google Scholar] [CrossRef]
- Abraham, M.J.; Murtola, T.; Schulz, R.; Páll, S.; Smith, J.C.; Hess, B.; Lindahl, E. GROMACS: High performance molecular simulations through multi-level parallelism from laptops to supercomputers. SoftwareX 2015, 1–2, 19–25. [Google Scholar] [CrossRef]
- Vanommeslaeghe, K.; Hatcher, E.; Acharya, C.; Kundu, S.; Zhong, S.; Shim, J.; Darian, E.; Guvench, O.; Lopes, P.; Vorobyov, I.; et al. CHARMM general force field: A force field for drug-like molecules compatible with the CHARMM all-atom additive biological force fields. J. Comput. Chem. 2010, 31, 671–690. [Google Scholar] [CrossRef]
- Jorgensen, W.; Chandrasekhar, J.; Madura, J.; Impey, R.; Klein, M. Comparison of simple potential functions for simulating liquid water. J. Chem. Phys. 1983, 79, 926–935. [Google Scholar] [CrossRef]
- Lv, Z.; Wang, H.; Niu, X. Molecular dynamics simulations reveal insight into key structural elements of aaptamines as sortase inhibitors with free energy calculations. Chem. Phys. Lett. 2013, 585, 171–177. [Google Scholar] [CrossRef]
- Jin, H.; Zhou, Z.; Wang, D.; Guan, S.; Han, W. Molecular Dynamics Simulations of Acylpeptide Hydrolase Bound to Chlorpyrifosmethyl Oxon and Dichlorvos. Int. J. Mol. Sci. 2015, 16, 6217–6234. [Google Scholar] [CrossRef]
- Crişan, O.; Marc, G.; Nastasă, C.; Oniga, S.; Vlase, L.; Pĵrnău, A.; Oniga, O. Synthesis and in silico approaches of new symmetric bis-thiazolidine-2,4-diones as Ras and Raf oncoproteins inhibitors. Farmacia 2023, 71, 254–263. Available online: https://farmaciajournal.com/wp-content/uploads/art-04-Crisan_Marc_Oniga_254-263.pdf (accessed on 22 March 2023).
- Humphrey, W.; Dalke, A.; Schulten, K. VMD: Visual molecular dynamics. J. Mol. Graph. 1996, 14, 33–38. [Google Scholar] [CrossRef] [PubMed]
- Ning, X.-Q.; Lou, S.-J.; Mao, Y.-J.; Xu, Z.-Y.; Xu, D.-Q. Nitrate-promoted selective C-H Fluorination of benzamides and benzenacetamides. Org. Lett. 2018, 20, 2445–2448. [Google Scholar] [CrossRef]
- Uludağ, M.; Ergün, B.; Alkan, D.; Ercan, N.; Özkan, G.; Banoğlu, E. Stable ester and amide conjugates of some NSAIDs as analgesic and antiinflammatory compounds with improved biological activity. Turk. J. Chem. 2011, 35, 427–439. [Google Scholar] [CrossRef]
- Manolov, S.; Ivanov, I.; Bojilov, D.; Nedialkov, P. Synthesis, In Vitro Anti-Inflammatory Activity, and HRMS Analysis of New Amphetamine Derivatives. Molecules 2023, 28, 151. [Google Scholar] [CrossRef]
- Manolov, S.; Ivanov, I.; Bojilov, D.; Nedialkov, P. Synthesis, in silico, and in vitro biological evaluation of new furan hybrid molecules. Processes 2022, 10, 1997. [Google Scholar] [CrossRef]
- Galano, A.; Macías-Ruvalcaba, N.; Campos, O.; Pedraza-Chaverri, J. Mechanism of the OH radical scavenging activity of nordihydroguaiaretic acid: A combined theoretical and experimental study. J. Phys. Chem. B 2010, 114, 6625–6635. [Google Scholar] [CrossRef]
- Halliwel, B.; Gutterdge, J. Free Radicals in Biology and Medicine; Clarendon Press: Oxford, UK, 1985; p. 346. [Google Scholar]
- Mansouri, A.; Makris, D.; Kefalas, P. Determination of hydrogen peroxide scavenging activity of cinnamic and benzoic acids employing a highly sensitive peroxyoxalate chemiluminescence-based assay: Structure-activity relationships. J. Pharm. Biomed. Anal. 2005, 39, 22–26. [Google Scholar] [CrossRef]
- Ebrahimzadeh, M.; Nabavi, S.; Nabavi, S.; Bahramian, F.; Bekhradnia, A. Antioxidant and free radical scavenging activity of H. officinalis L. var. angustifolius, V. odorata, B. hyrcana and C. speciosum. Pak. J. Pharm. Sci. 2010, 23, 29–34. [Google Scholar]
- Jayashree, V.; Bagyalakshmi, S.; Manjula Devi, K.; Richard Daniel, D. In vitro anti-inflammatory activity of 4-benzylpiperidine. Asian J. Pharm. Clin. Res. 2016, 9, 108–110. [Google Scholar] [CrossRef]
- Pontiki, E.; Hadjipavlou-Litina, D. Synthesis and pharmacochemical evaluation of novel aryl-acetic acid inhibitors of lipoxygenase, antioxidants, and anti-inflammatory agents. Bioorg. Med. Chem. 2007, 15, 5819–5827. [Google Scholar] [CrossRef] [PubMed]









| Compounds | HPSA | IAD | RM ± SD | cLogP |
|---|---|---|---|---|
| IC50, μg/mL | ||||
| Ascorbic acid | 24.84 ± 0.35 | - | - | - |
| Quercetin | 69.25 ± 1.82 | - | - | - |
| Ibuprofen | - | 81.50 ± 4.95 | 1.11 ± 0.010 | 3.72 |
| Ketoprofen | - | 126.58 ± 5.00 | 1.64 ± 0.006 | 3.59 |
| 3a | 85.09 ± 0.24 | 167.02 ± 8.05 | 2.07 ± 0.010 | 4.10 |
| 3b | 69.98 ± 0.50 | 130.28 ± 0.41 | 1.92 ± 0.005 | 4.61 |
| 3c | 71.44 ± 0.27 | 77.18 ± 1.08 | 1.95 ± 0.008 | 5.91 |
| 3d | 59.47 ± 0.36 | 73.59 ± 1.67 | 2.25 ± 0.010 | 5.09 |
| Compound | Isomer | Sudlow 1 | Sudlow 2 | Site 3 | Cleft |
|---|---|---|---|---|---|
| 3a | R | −8.5 | −10.3 | −11.5 | −10.3 |
| S | −8.3 | −10.5 | −12.1 | −10.0 | |
| 3b | R | −8.8 | −10.5 | −11.7 | −10.7 |
| S | −8.5 | −11.1 | −11.6 | −10.2 | |
| 3c | R | −10.3 | −12.2 | −12.9 | −11.8 |
| S | −9.8 | −12.5 | −12.8 | −11.2 | |
| 3d | R | −10.0 | −12.1 | −12.4 | −11.8 |
| S | −9.2 | −12.0 | −12.2 | −11.6 |
| Compound | Isomer | Sudlow 1 | Sudlow 2 | Site 3 | Cleft | ||||
|---|---|---|---|---|---|---|---|---|---|
| ΔG | %C | ΔG | %C | ΔG | %C | ΔG | %C | ||
| 3a | R | −8.30 | 20.5 | −9.59 | 30.0 | −10.80 | 49 | −8.81 | 31.5 |
| S | −8.27 | 15.5 | −9.74 | 14.5 | −10.60 | 36 | −8.79 | 26.5 | |
| 3b | R | −8.81 | 16.5 | −9.82 | 13.5 | −11.47 | 116 | −9.10 | 41.5 |
| S | −8.53 | 4.5 | −10.16 | 24.0 | −11.19 | 68 | −9.12 | 18.5 | |
| 3c | R | −9.80 | 18.5 | −11.04 | 27.5 | −12.65 | 104 | −10.39 | 53.0 |
| S | −9.72 | 29.0 | −11.41 | 40.5 | −11.57 | 44 | −9.95 | 44.5 | |
| 3d | R | −9.81 | 7.0 | −11.53 | 38.5 | −12.80 | 56 | −10.58 | 39.5 |
| S | −9.69 | 10.0 | −11.44 | 36.0 | −12.20 | 43 | −10.46 | 49.0 | |
| System Evaluated | Sudlow 1 | Sudlow 2 | Site 3 | Cleft |
|---|---|---|---|---|
| apo + 3a[R] | - | - | 0.33 | - |
| apo + 3a[S] | - | - | 0.28 | - |
| apo + 3b[R] | - | - | 0.30 | - |
| apo + 3b[S] | - | - | 0.41 | - |
| apo + 3c[R] | - | 0.36 | 0.25 | 0.23 |
| apo + 3c[S] | - | 0.29 | 0.30 | 0.36 |
| apo + 3d[R] | - | 0.24 | 0.36 | 0.26 |
| apo + 3d[S] | - | 0.24 | 0.34 | 0.38 |
| apo | 0.38 | |||
| System Evaluated | Sudlow 1 | Sudlow 2 | Site 3 | Cleft |
|---|---|---|---|---|
| apo + 3a[R] | - | - | 0.35 | - |
| apo + 3a[S] | - | - | 0.26 | - |
| apo + 3b[R] | - | - | 0.27 | - |
| apo + 3b[S] | - | - | 1.34 | - |
| apo + 3c[R] | - | 0.24 | 0.32 | 0.41 |
| apo + 3c[S] | - | 0.25 | 0.23 | 0.20 |
| apo + 3d[R] | - | 0.47 | 0.59 | 0.27 |
| apo + 3d[S] | - | 0.26 | 0.62 | 0.36 |
| System Evaluated | Sudlow 1 | Sudlow 2 | Site 3 | Cleft |
|---|---|---|---|---|
| apo + 3a[R] | - | - | 2.85 | - |
| apo + 3a[S] | - | - | 2.78 | - |
| apo + 3b[R] | - | - | 2.84 | - |
| apo + 3b[S] | - | - | 2.89 | - |
| apo + 3c[R] | - | 2.75 | 2.78 | 2.77 |
| apo + 3c[S] | - | 2.80 | 2.82 | 2.77 |
| apo + 3d[R] | - | 2.79 | 2.80 | 2.81 |
| apo + 3d[S] | - | 2.79 | 2.77 | 2.78 |
| apo | 2.78 | |||
| System Evaluated | Sudlow 1 | Sudlow 2 | Site 3 | Cleft |
|---|---|---|---|---|
| apo + 3a[R] | - | - | 0.01 | - |
| apo + 3a[S] | - | - | 0.12 | - |
| apo + 3b[R] | - | - | 0.12 | - |
| apo + 3b[S] | - | - | 0.21 | - |
| apo + 3c[R] | - | 0.17 | 0.46 | 0.05 |
| apo + 3c[S] | - | 0.02 | 0.19 | 0.02 |
| apo + 3d[R] | - | 0.00 | 0.06 | 0.02 |
| apo + 3d[S] | - | 0.33 | 0.37 | 0.03 |
Disclaimer/Publisher’s Note: The statements, opinions and data contained in all publications are solely those of the individual author(s) and contributor(s) and not of MDPI and/or the editor(s). MDPI and/or the editor(s) disclaim responsibility for any injury to people or property resulting from any ideas, methods, instructions or products referred to in the content. |
© 2023 by the authors. Licensee MDPI, Basel, Switzerland. This article is an open access article distributed under the terms and conditions of the Creative Commons Attribution (CC BY) license (https://creativecommons.org/licenses/by/4.0/).
Share and Cite
Manolov, S.; Bojilov, D.; Ivanov, I.; Marc, G.; Bataklieva, N.; Oniga, S.; Oniga, O.; Nedialkov, P. Synthesis, Molecular Docking, Molecular Dynamics Studies, and In Vitro Biological Evaluation of New Biofunctional Ketoprofen Derivatives with Different N-Containing Heterocycles. Processes 2023, 11, 1837. https://doi.org/10.3390/pr11061837
Manolov S, Bojilov D, Ivanov I, Marc G, Bataklieva N, Oniga S, Oniga O, Nedialkov P. Synthesis, Molecular Docking, Molecular Dynamics Studies, and In Vitro Biological Evaluation of New Biofunctional Ketoprofen Derivatives with Different N-Containing Heterocycles. Processes. 2023; 11(6):1837. https://doi.org/10.3390/pr11061837
Chicago/Turabian StyleManolov, Stanimir, Dimitar Bojilov, Iliyan Ivanov, Gabriel Marc, Nadezhda Bataklieva, Smaranda Oniga, Ovidiu Oniga, and Paraskev Nedialkov. 2023. "Synthesis, Molecular Docking, Molecular Dynamics Studies, and In Vitro Biological Evaluation of New Biofunctional Ketoprofen Derivatives with Different N-Containing Heterocycles" Processes 11, no. 6: 1837. https://doi.org/10.3390/pr11061837
APA StyleManolov, S., Bojilov, D., Ivanov, I., Marc, G., Bataklieva, N., Oniga, S., Oniga, O., & Nedialkov, P. (2023). Synthesis, Molecular Docking, Molecular Dynamics Studies, and In Vitro Biological Evaluation of New Biofunctional Ketoprofen Derivatives with Different N-Containing Heterocycles. Processes, 11(6), 1837. https://doi.org/10.3390/pr11061837

