Catalytic Degradation of Tetracycline Hydrochloride by Coupled UV−Peroxydisulfate System: Efficiency, Stability and Mechanism
Abstract
:1. Introduction
2. Materials and Methods
2.1. Chemicals
2.2. Synthesis of CuFe2O4
2.3. Analysis Methods
2.4. TC Degradation Experiments
3. Results and Discussion
3.1. Characterization of CuFe2O4
3.2. TC Degradation Behavior
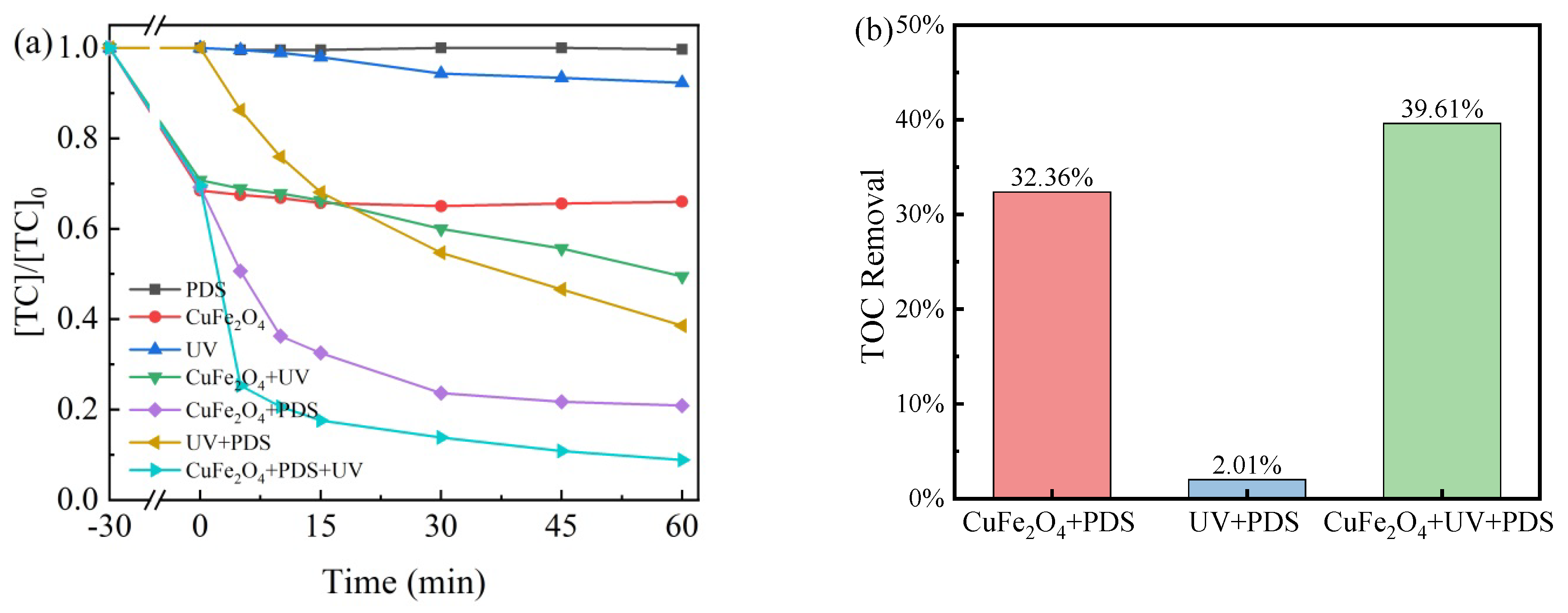
3.2.1. A Comparative Study of TC Removal in the Different System
3.2.2. The Effect of Initial pH
3.2.3. Stability and Recyclability of CuFe2O4
3.3. Degradation Reaction Mechanism
3.3.1. Identification of Active Species
3.3.2. Mechanism of Degradation
4. Conclusions
Author Contributions
Funding
Institutional Review Board Statement
Informed Consent Statement
Data Availability Statement
Conflicts of Interest
References
- Zhang, Y.; Maqbool, F.; Hu, Y. Removal of antibiotics pollutants in wastewater by UV−based advanced oxidation processes: Influence of water matrix components, processes optimization and application: A Review. J. Water Process Eng. 2022, 45, 102496. [Google Scholar] [CrossRef]
- Abd, E.M.; Eltaweil, A.S.; Elshishini, H.M. Sustainable adsorptive removal of antibiotic residues by chitosan composites: An insight into current developments and future recommendations. Arab. J. Chem. 2022, 15, 103743. [Google Scholar] [CrossRef]
- Qi, N.; Wang, P.; Wang, C.; Ao, Y. Effect of a typical antibiotic (tetracycline) on the aggregation of TiO2 nanoparticles in an aquatic environment. J. Hazard. Mater. 2018, 341, 187–197. [Google Scholar] [CrossRef]
- Chen, G.; Yu, Y.; Liang, L. Remediation of antibiotic wastewater by coupled photocatalytic and persulfate oxidation system: A critical review. J. Hazard. Mater. 2021, 408, 124461. [Google Scholar] [CrossRef]
- Cai, J.; Xie, J.; Xing, L. Enhanced mechanism of carbamazepine degradation by electrochemical activation of persulfate in flow−through system. Sep. Purif. Technol. 2022, 301, 122021. [Google Scholar] [CrossRef]
- Zrinyi, N.; Pham, A.L. Oxidation of benzoic acid by heat−activated persulfate: Effect of temperature on transformation pathway and product distribution. Water Res. 2017, 120, 43–51. [Google Scholar] [CrossRef]
- Chen, W.; Su, Y. Removal of dinitrotoluenes in wastewater by sono−activated persulfate. Ultrason. Sonochem. 2012, 19, 921–927. [Google Scholar] [CrossRef]
- Zhou, Y.; Xiang, Y.; He, Y.; Yang, Y.; Zhang, J.; Luo, L.; Peng, H.; Dai, C.; Zhu, F.; Tang, L. Applications and factors influencing of the persulfate−based advanced oxidation processes for the remediation of groundwater and soil contaminated with organic compounds. J. Hazard. Mater. 2018, 359, 396–407. [Google Scholar] [CrossRef]
- Li, Z.; Guo, C.; Lu, J.; Hu, Z.; Ge, M. Tetracycline degradation by persulfate activated with magnetic Cu/CuFe2O4 composite: Efficiency, stability, mechanism and degradation pathway. J. Hazard. Mater. 2019, 373, 85–96. [Google Scholar] [CrossRef]
- Xu, Y.; Ai, J.; Zhang, H. The mechanism of degradation of bisphenol A using the magnetically separable CuFe2O4/peroxymonosulfate heterogeneous oxidation process. J. Hazard. Mater. 2016, 309, 87–96. [Google Scholar] [CrossRef]
- Jing, P.; Li, J.; Pan, L.; Wang, J.; Sun, X.; Liu, Q. Efficient photocatalytic degradation of acid fuchsin in aqueous solution using separate porous tetragonal− CuFe2O4 nanotubes. J. Hazard. Mater. 2015, 284, 163–170. [Google Scholar] [CrossRef]
- Yang, M.; Ren, X.; Hu, L.; Guo, W.; Zhan, J. Facet−controlled activation of persulfate by goethite for tetracycline degradation in aqueous solution. Chem. Eng. J. 2021, 412, 128628. [Google Scholar] [CrossRef]
- Zhao, Y.; Lin, C.; Bi, H.; Liu, Y.; Yan, Q. Magnetically separable CuFe2O4/AGBR composite photocatalysts: Preparation, characterization, photocatalytic activity and photocatalytic mechanism under Visible light. Appl. Surf. Sci. 2017, 392, 701–707. [Google Scholar] [CrossRef]
- Selima, S.S.; Khairy, M.; Mousa, M.A. Comparative studies on the impact of synthesis methods on structural, optical, magnetic and catalytic properties of CuFe2O4. Ceram. Int. 2019, 45, 6535–6540. [Google Scholar] [CrossRef]
- Chang, S.; Mei, S.; Qianqian, R.; Yang, L.; Yang, L.; Lu, Z.; Shuang, W.; Wen, G. Effect of synthesis conditions on the structure and properties of LiFeO2/ZnFe2O4 nanocomposites prepared by a sol−gel method. Solid State Commun. 2021, 334, 114379. [Google Scholar] [CrossRef]
- Xu, Y.; Sherwood, J.; Qin, Y.; Holler, R.A.; Bao, Y. A general approach to the synthesis and detailed characterization of magnetic ferrite nanocubes. Nanoscale 2015, 7, 12641–12649. [Google Scholar] [CrossRef]
- Chatterjee, B.K.; Bhattacharjee, K.; Dey, A.; Ghosh, C.K.; Chattopadhyay, K.K. Influence of spherical assembly of copper ferrite nanoparticles on magnetic properties: Orientation of Magnetic Easy Axis. Dalton Trans. 2014, 43, 7930–7944. [Google Scholar] [CrossRef]
- Verma, K.; Kumar, A.; Varshney, D. Effect of Zn and Mg doping on structural, dielectric and magnetic properties of tetragonal CuFe2O4. Curr. Appl. Phys. 2013, 13, 467–473. [Google Scholar] [CrossRef]
- Soufi, A.; Hajjaoui, H.; Elmoubarki, R. Heterogeneous Fenton−like degradation of tartrazine using CuFe2O4 nanoparticles synthesized by sol−gel combustion. Appl. Surf. Sci. Adv. 2022, 9, 100251. [Google Scholar] [CrossRef]
- Wang, L.; Ma, X.; Huang, G. Construction of ternary CuO/CuFe2O4/g−C3N4 composite and its enhanced photocatalytic degradation of tetracycline hydrochloride with persulfate under simulated sunlight. J. Environ. Sci. 2022, 112, 59–70. [Google Scholar] [CrossRef]
- Dong, W.; Cai, T.; Liu, Y.; Wang, L.; Chen, H.; Zeng, W.; Li, J.; Li, W. Rapid removal of organic pollutants by a novel persulfate/brochantite system: Mechanism and implication. J. Colloid Interface Sci. 2021, 585, 400–407. [Google Scholar] [CrossRef]
- Lee, J.; von Gunten, U.; Kim, J.H. Persulfate−based advanced oxidation: Critical assessment of opportunities and roadblocks. Environ. Sci. Technol. 2020, 54, 3064–3081. [Google Scholar] [CrossRef]
- Ma, Q.; Nengzi, L.; Zhang, X. Enhanced activation of persulfate by AC@CoFe2O4 nanocomposites for effective removal of lomefloxacin. Sep. Purif. Technol. 2020, 233, 115978. [Google Scholar] [CrossRef]
- Yin, R.; Chen, Y.; Hu, J.; Lu, G.; Zeng, L.; Choi, W.; Zhu, M. Complexes of fe(iii)−organic pollutants that directly activate Fenton−like processes under Visible light. Appl. Catal. B−Environ. 2021, 283, 119663. [Google Scholar] [CrossRef]
- María, V.; López, R.; Miguel, A. Effect of calcination temperature of a copper ferrite synthesized by a sol−gel method on its structural characteristics and performance as Fenton catalyst to remove gallic acid from water. J. Colloid Interface Sci. 2018, 511, 193–202. [Google Scholar] [CrossRef]
- Rajabi, S.; Nasiri, A.; Hashemi, M. Enhanced activation of persulfate by CuCoFe2O4@MC/AC as a novel nanomagnetic heterogeneous catalyst with ultrasonic for metronidazole degradation. Chemosphere 2022, 286, 131872. [Google Scholar] [CrossRef]
- Qiao, L.; Shi, Y.; Cheng, Q.; Liu, B.; Liu, J. The removal efficiencies and mechanism of aniline degradation by peroxydisulfate activated with magnetic Fe−Mn oxides composite. J. Water Reuse Desalination 2021, 11, 212–223. [Google Scholar] [CrossRef]
- Ramu, A.; Salla, S.; Gopi, S.; Silambarasan, P.; Yang, D.; Song, M.; Ali, H.; Salem, M.; Choi, D. Surface−tuned hierarchical γ−Fe2O3–N−RGO nanohydrogel for efficient catalytic removal and electrochemical sensing of toxic nitro compounds. Chemosphere 2021, 268, 128853. [Google Scholar] [CrossRef]
- Tan, C.; Gao, N.; Fu, D. Efficient degradation of paracetamol with nanoscaled magnetic CoFe2O4 and MnFe2O4 as a heterogeneous catalyst of peroxymonosulfate. Sep. Purif. Technol. 2017, 175, 47–57. [Google Scholar] [CrossRef]
- Shi, Y.; Ma, P.; Qiao, L.; Liu, B. Fe–Mn Oxide Composite Activated Peroxydisulfate Processes for Degradation of p−Chloroaniline: The Effectiveness and the Mechanism. Processes 2022, 10, 2227. [Google Scholar] [CrossRef]
- Belessiotis, G.V.; Falara, P.P.; Ibrahim, I.; Kontos, A.G. Magnetic Metal Oxide−Based Photocatalysts with Integrated Silver for Water Treatment. Materials 2022, 15, 4629. [Google Scholar] [CrossRef] [PubMed]
- Zheng, X.; Chu, Y.; Miao, B.; Fan, J. Ag−doped Bi2WO6/BiOI heterojunction used as photocatalyst for the enhanced degradation of tetracycline under visible−light and biodegradability improvement. J. Alloys Compd. 2022, 893, 162382. [Google Scholar] [CrossRef]
- Liu, Y.; Guo, H.; Zhang, Y. Heterogeneous activation of persulfate for Rhodamine B degradation with 3D flower sphere−like BiOI/Fe3O4 microspheres under visible light irradiation. Sep. Purif. Technol. 2018, 192, 88–98. [Google Scholar] [CrossRef]
- Pan, J.; Guo, F.; Sun, H.; Li, M.; Zhu, X.; Gao, L.; Shi, W. CdS nanoparticles decorated hexagonal Fe2O3 nanosheets with a Z−scheme photogenerated electron transfer path for improved visible−light photocatalytic hydrogen production. Chin. J. Chem. Eng. 2021, 56, 6663–6675. [Google Scholar] [CrossRef]
- Sun, H.; Guo, F.; Pan, J.; Huang, W.; Wang, K.; Shi, W. One−pot thermal polymerization route to prepare N−deficient modified G−C3N4 for the degradation of tetracycline by the synergistic effect of photocatalysis and persulfate−based advanced oxidation process. Chem. Eng. J. 2021, 406, 126844. [Google Scholar] [CrossRef]
- Zhang, H.; Song, Y.; Nengzi, L. Activation of persulfate by a novel magnetic CuFe2O4/Bi2O3 composite for lomefloxacin degradation. Chem. Eng. J. 2020, 379, 122362. [Google Scholar] [CrossRef]
- Sarkar, P.; Roy, D.; Bera, B. Efficient photocatalytic degradation of ciprofloxacin using novel dual Z−scheme gCN/CuFe2O4/MoS2 mediated peroxymonosulphate activation. Chem. Eng. J. 2022, 430, 132834. [Google Scholar] [CrossRef]
- Elashery, S.E.A.; Ibrahim, I.; Gomaa, H.; El−Bouraie, M.M.; Moneam, I.A.; Fekry, S.S.; Mohamed, G.G. Comparative Study of the Photocatalytic Degradation of Crystal Violet Using Ferromagnetic Magnesium Oxide Nanoparticles and MgO−Bentonite Nanocomposite. Magnetochemistry 2023, 9, 56. [Google Scholar] [CrossRef]
- Ibrahim, I.; Belessiotis, G.V.; Antoniadou, M.; Kaltzoglou, A. Silver decorated TiO2/g−C3N4 bifunctional nanocomposites for photocatalytic elimination of water pollutants under UV and artificial solar light. Results Eng. 2022, 14, 100470. [Google Scholar] [CrossRef]
- Huang, X.; Zhu, N.; Wei, X.; Ding, Y.; Ke, Y.; Wu, P.; Liu, Z. Mechanism insight into efficient peroxydisulfate activation by novel Nano Zero−valent iron anchored yCo3O4 (nzvi/yCo3O4) composites. J. Hazard. Mater. 2020, 400, 123157. [Google Scholar] [CrossRef]
- Dang, V.C.; Tran, D.T.; Phan, A.T.; Pham, N.K.; Nguyen, V.N. Synergistic effect for the degradation of tetracycline by rGO−Co3O4 assisted Persulfate Activation. J. Phys. Chem. Solids 2021, 153, 110005. [Google Scholar] [CrossRef]











Disclaimer/Publisher’s Note: The statements, opinions and data contained in all publications are solely those of the individual author(s) and contributor(s) and not of MDPI and/or the editor(s). MDPI and/or the editor(s) disclaim responsibility for any injury to people or property resulting from any ideas, methods, instructions or products referred to in the content. |
© 2023 by the authors. Licensee MDPI, Basel, Switzerland. This article is an open access article distributed under the terms and conditions of the Creative Commons Attribution (CC BY) license (https://creativecommons.org/licenses/by/4.0/).
Share and Cite
Ma, P.; Shi, Y.; Zhang, J.; Zhang, W.; Cao, Y.; Liu, B. Catalytic Degradation of Tetracycline Hydrochloride by Coupled UV−Peroxydisulfate System: Efficiency, Stability and Mechanism. Processes 2023, 11, 1638. https://doi.org/10.3390/pr11061638
Ma P, Shi Y, Zhang J, Zhang W, Cao Y, Liu B. Catalytic Degradation of Tetracycline Hydrochloride by Coupled UV−Peroxydisulfate System: Efficiency, Stability and Mechanism. Processes. 2023; 11(6):1638. https://doi.org/10.3390/pr11061638
Chicago/Turabian StyleMa, Panfeng, Yu Shi, Jingsen Zhang, Weijia Zhang, Yong Cao, and Bingtao Liu. 2023. "Catalytic Degradation of Tetracycline Hydrochloride by Coupled UV−Peroxydisulfate System: Efficiency, Stability and Mechanism" Processes 11, no. 6: 1638. https://doi.org/10.3390/pr11061638
APA StyleMa, P., Shi, Y., Zhang, J., Zhang, W., Cao, Y., & Liu, B. (2023). Catalytic Degradation of Tetracycline Hydrochloride by Coupled UV−Peroxydisulfate System: Efficiency, Stability and Mechanism. Processes, 11(6), 1638. https://doi.org/10.3390/pr11061638
