Influence of Exhaust Pipe Structure on Urea-Related Deposits in Diesel Engine SCR System
Abstract
1. Introduction
2. Materials and Methods
2.1. Geometric Modeling
2.2. Initial Parameters and Boundary Conditions
2.3. Model Validation
2.3.1. Verification of Spray
2.3.2. Verification of Temperature
3. Results
3.1. Influence of Step Surface on Wall Film
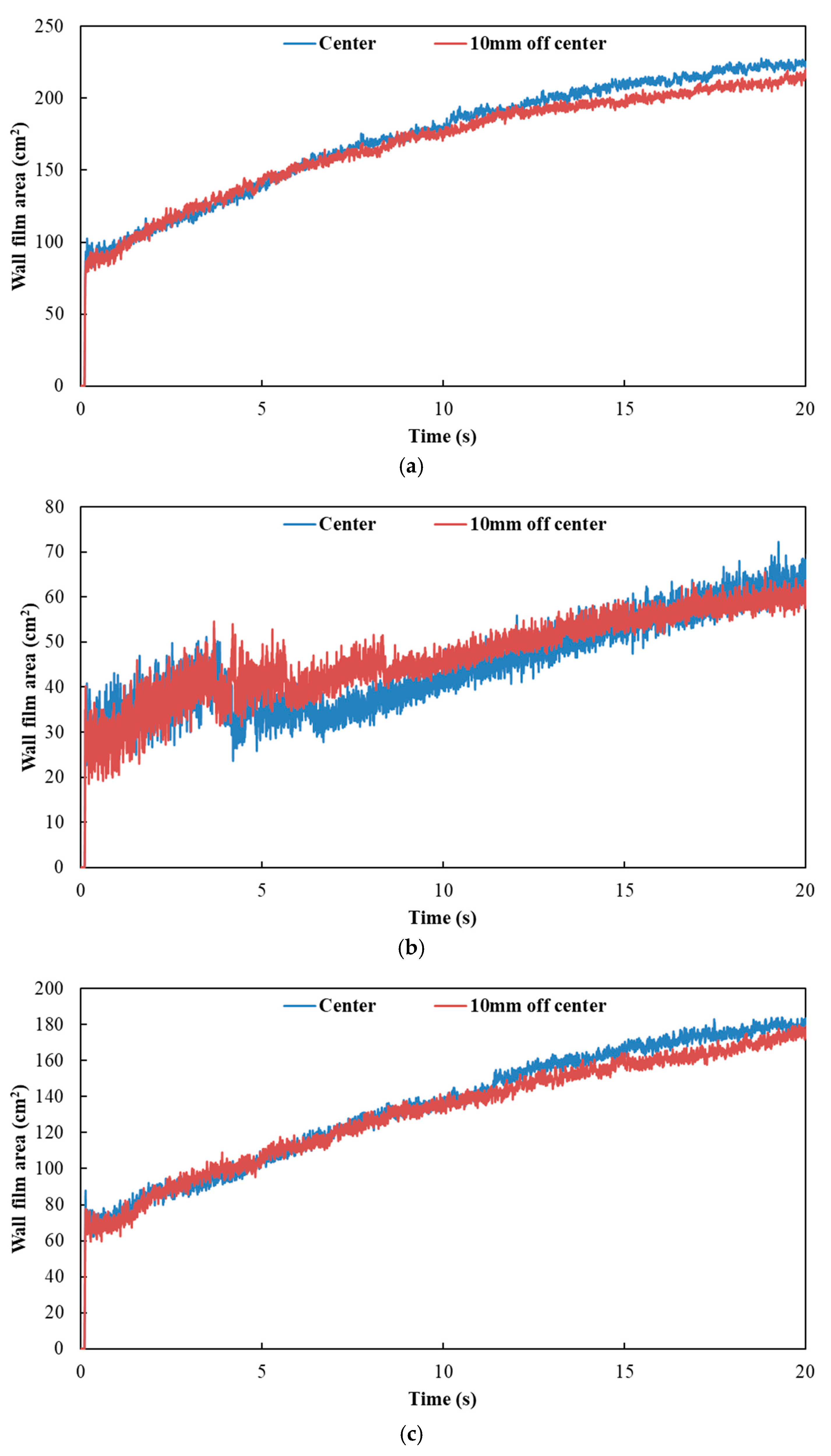
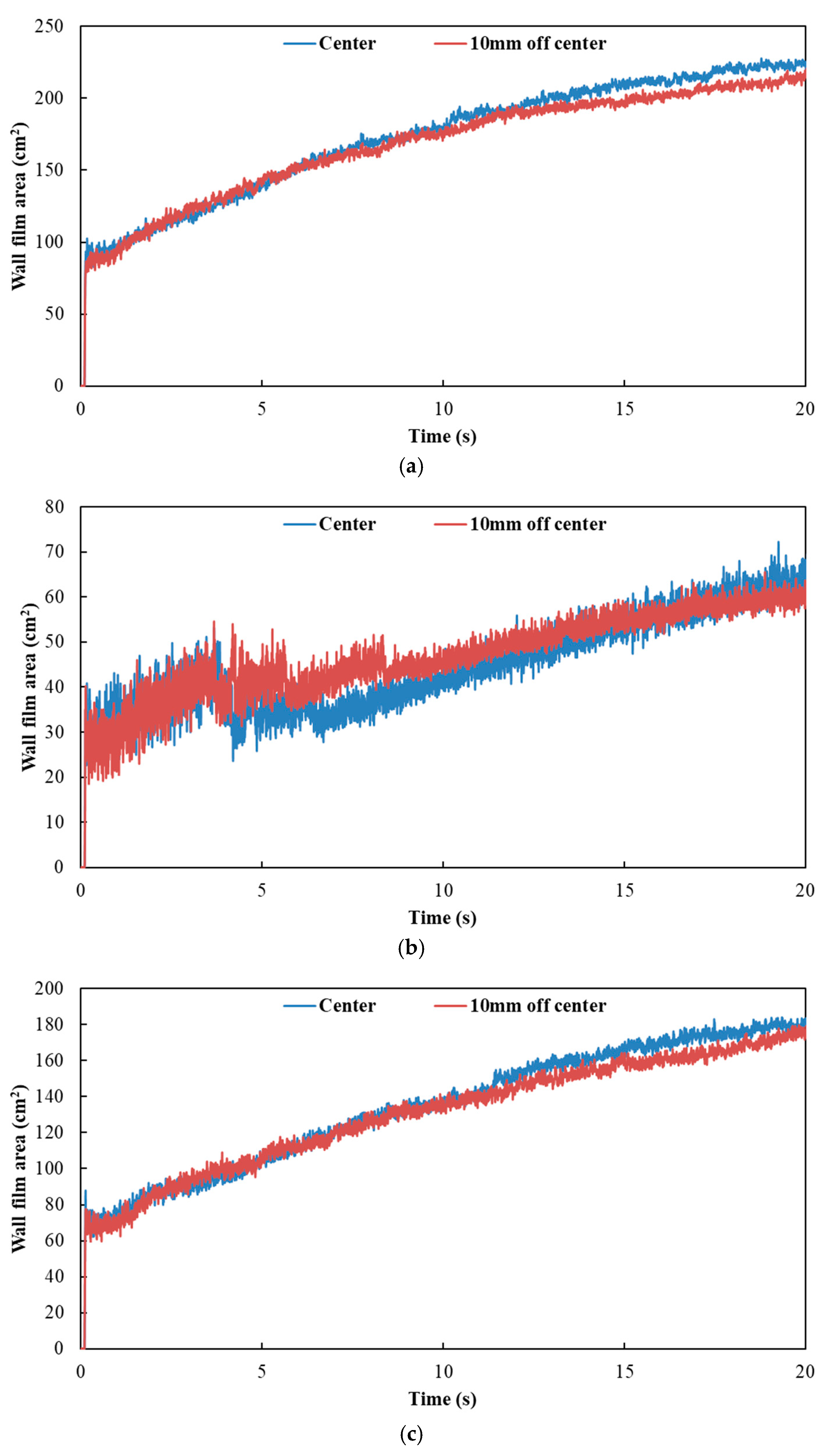
3.2. Influence of Nozzle Position on Wall Film
3.3. Influence of Pipe Diameter on Wall Film
4. Discussion
5. Conclusions
Author Contributions
Funding
Institutional Review Board Statement
Informed Consent Statement
Data Availability Statement
Acknowledgments
Conflicts of Interest
References
- Johnson, T.V. Diesel Emissions in Review. SAE Int. J. Engines 2011, 4, 143–157. [Google Scholar] [CrossRef]
 - Lv, L.; Wang, L. Model-based optimization of parameters for a diesel engine SCR system. Int. J. Automot. Technol. 2013, 14, 13–18. [Google Scholar]
 - Zhu, N. Investigation on the Formation Mechanism of Deposit in the Exhaust Pipe of SCR System for Diesel Engine. Ph.D. Thesis, Wuhan University of Technology, Wuhan, China, 2017. [Google Scholar]
 - Lu, K.; Bai, S.; Zang, Z.; Li, G. Study on urea deposits risk of after-treatment system based on deposits boundary method. Energy 2023, 267, 126624. [Google Scholar] [CrossRef]
 - Dörnhöfer, J.; Börnhorst, M.; Ates, C.; Samkhaniani, N.; Pfeil, J.; Wörner, M.; Koch, R.; Bauer, H.-J.; Deutschmann, O.; Frohnapfel, B.; et al. A Holistic View on Urea Injection for NOx Emission Control: Impingement, Re-atomization, and Deposit Formation. Emiss. Control. Sci. Technol. 2020, 6, 228–243. [Google Scholar] [CrossRef]
 - Jung, Y.; Pyo, Y.D.; Jang, J.; Kim, G.C.; Cho, C.P.; Yang, C. NO, NO2 and N2O emissions over a SCR using DOC and DPF systems with Pt reduction. Chem. Eng. J. 2019, 369, 1059–1067. [Google Scholar] [CrossRef]
 - Ryddner, D.T.; Trujillo, M.F. Modeling Urea-Water Solution Droplet Evaporation. Emiss. Control. Sci. Technol. 2015, 1, 80–97. [Google Scholar] [CrossRef]
 - Brack, W.; Heine, B.; Birkhold, F.; Kruse, M.; Deutschmann, O. Formation of Urea-Based Deposits in an Exhaust System: Numerical Predictions and Experimental Observations on a Hot Gas Test Bench. Emiss. Control. Sci. Technol. 2016, 2, 115–123. [Google Scholar] [CrossRef]
 - Li, M.; Zhang, Y.; Yang, J.; Liu, X.; Li, Z.; Zhang, Q. Investigation on the urea deposit formation and thermal decomposition characteristics in the SCR aftertreatment system of a diesel engine. J. Environ. Sci. 2020, 103, 157–171. [Google Scholar] [CrossRef] [PubMed]
 - Xu, L.; Watkins, W.; Snow, R.; Graham, G.; McCabe, R.; Lambert, C.; Carter, R.O. Laboratory and Engine Study of Urea-Related Deposits in Diesel Urea-SCR After-Treatment Systems; SAE Technical Paper; SAE International: Warrendale, PA, USA, 2007. [Google Scholar] [CrossRef]
 - Zhao, Y. Experimental Study of Urea Solution Spray and Decomposition and Ammonia Storage in Selective Catalytic Reduction System for Diesel Engines. Ph.D. Thesis, Tsinghua University, Beijing, China, 2012. [Google Scholar]
 - Chen, Y.; Huang, H.; Li, Z.; Wang, H.; Hao, B.; Chen, Y.; Huang, G.; Guo, X. Study of reducing deposits formation in the urea-SCR system: Mechanism of urea decompo-sition and assessment of influential parameters. Chem. Eng. Res. Des. 2020, 164, 311–323. [Google Scholar] [CrossRef]
 - Jungmin, S. Aftertreatment Package Design for SCR Performance Optimization; SAE Technical Paper; SAE International: Warrendale, PA, USA, 2011. [Google Scholar]
 - Way, P.; Viswanathan, K.; Preethi, P.; Gilb, A.; Zambon, N.; Blaisdell, J. SCR Performance Optimization through Advancements in Aftertreatment Packaging; SAE Technical Paper; SAE International: Warrendale, PA, USA, 2009. [Google Scholar]
 - Munnannur, A.; Chiruta, M.; Liu, Z.G. Thermal and Fluid Dynamic Considerations in Aftertreatment System Design for SCR Solid Deposit Mitigation; SAE Technical Paper; SAE International: Warrendale, PA, USA, 2012. [Google Scholar] [CrossRef]
 - Zheng, G.; Fila, A.; Kotrba, A.; Floyd, R. Investigation of Urea Deposits in Urea SCR Systems for Medium and Heavy Duty Trucks; SAE Technical Paper; SAE International: Warrendale, PA, USA, 2010. [Google Scholar] [CrossRef]
 - Canyurt, T.G.; Ergin, S.; Zeren, H.B.; Savcı, I.H. Experimental and numerical investigation on the urea-deposit formation at different severities in selective catalytic reduction systems. Appl. Therm. Eng. 2022, 214, 118884. [Google Scholar] [CrossRef]
 - Berszány, E.; Stein, M.; Bykov, V.; Maas, U. An improved reduced model for the evaporation and decomposition of urea-water solution (UWS) droplets. Proc. Combust. Inst. 2022, in press. [Google Scholar] [CrossRef]
 - Prabhu, S.S.; Nayak, N.S.; Kapilan, N.; Hindasageri, V. An experimental and numerical study on effects of exhaust gas temperature and flow rate on deposit formation in Urea-Selective Catalytic Reduction (SCR) system of modern automobiles. Appl. Therm. Eng. 2017, 111, 1211–1231. [Google Scholar] [CrossRef]
 - Ates, C.; Börnhorst, M.; Koch, R.; Eck, M.; Deutschmann, O.; Bauer, H.-J. Morphological characterization of urea derived deposits in SCR systems. Chem. Eng. J. 2021, 409, 128230. [Google Scholar] [CrossRef]
 



























| Name | Parameter | 
|---|---|
| Engine displacement | 11.12 L | 
| Cylinder bore × stroke | 123 mm × 156 mm | 
| Compression ratio | 16.4 | 
| Rated power | 230 kW at 1900 r/min | 
| Maximum torque | 1210 Nm at 1200 r/min | 
| Catalyst volume | 21.75 L | 
| Urea pump type | Emitec UDA 7.5-OA-24 | 
| Urea flow ranges | 0–7500 mL/h | 
| Nozzle type | SCR Nozzle 4936201 | 
| Number of spray orifices | 4 | 
| Spray direction | Radially along the exhaust pipe | 
| Droplet size | <40 μm | 
| SCR ECU | Self-innovate, supporting manually and automatically | 
| Operating Condition | Case 1 | Case 2 | Case 3 | 
|---|---|---|---|
| Speed (rpm) | 1400 | 1300 | 1300 | 
| Percentage of torque (%) | 55 | 100 | 60 | 
| Exhaust gas mass flow rate (kg/h) | 709 | 957 | 683 | 
| Turbine exit temperature (°C) | 400 | 460 | 427 | 
| Exhaust temperature before nozzle (°C) | 328 | 384 | 353 | 
| Pipe wall temperature before nozzle (°C) | 208 | 260 | 215 | 
| Exhaust back pressure before nozzle (kPa) | 7.4 | 10.3 | 7 | 
| Urea injection rate (mL/h) | 2730 | 2300 | 2360 | 
| NOx concentration (ppm) | 1360 | 1568 | 1487 | 
| Injection Rate (mL/h) | Initial Velocity (m/s) | Atomization Cone Angle (°) | 
|---|---|---|
| 500 | 28 | 11 | 
| 1000 | 25 | 14 | 
| 2000 | 26 | 14 | 
| 3000 | 26 | 13 | 
| Serial Number | Distance from Perforated Pipe (mm) | 
|---|---|
| P1 | 4200 | 
| P2 | 3800 | 
| P3 | 3650 | 
| P4 | 3250 | 
| P5 | 2100 | 
| P6 | 1800 | 
| P7 | 650 | 
| P8 | 150 | 
Disclaimer/Publisher’s Note: The statements, opinions and data contained in all publications are solely those of the individual author(s) and contributor(s) and not of MDPI and/or the editor(s). MDPI and/or the editor(s) disclaim responsibility for any injury to people or property resulting from any ideas, methods, instructions or products referred to in the content.  | 
© 2023 by the authors. Licensee MDPI, Basel, Switzerland. This article is an open access article distributed under the terms and conditions of the Creative Commons Attribution (CC BY) license (https://creativecommons.org/licenses/by/4.0/).
Share and Cite
Zhu, N.; Song, H.; Qian, F.; Xu, X. Influence of Exhaust Pipe Structure on Urea-Related Deposits in Diesel Engine SCR System. Processes 2023, 11, 1199. https://doi.org/10.3390/pr11041199
Zhu N, Song H, Qian F, Xu X. Influence of Exhaust Pipe Structure on Urea-Related Deposits in Diesel Engine SCR System. Processes. 2023; 11(4):1199. https://doi.org/10.3390/pr11041199
Chicago/Turabian StyleZhu, Neng, Hang Song, Feng Qian, and Xiaowei Xu. 2023. "Influence of Exhaust Pipe Structure on Urea-Related Deposits in Diesel Engine SCR System" Processes 11, no. 4: 1199. https://doi.org/10.3390/pr11041199
APA StyleZhu, N., Song, H., Qian, F., & Xu, X. (2023). Influence of Exhaust Pipe Structure on Urea-Related Deposits in Diesel Engine SCR System. Processes, 11(4), 1199. https://doi.org/10.3390/pr11041199
        
