Rail Magnetic Flux Leakage Detection and Data Analysis Based on Double-Track Flaw Detection Vehicle
Abstract
1. Introduction
2. MFL Technique
2.1. Magnetic Dipole Model
2.2. Magnetic Flux Leakage Sensor
3. Quantitative Simulation of Defect Depth
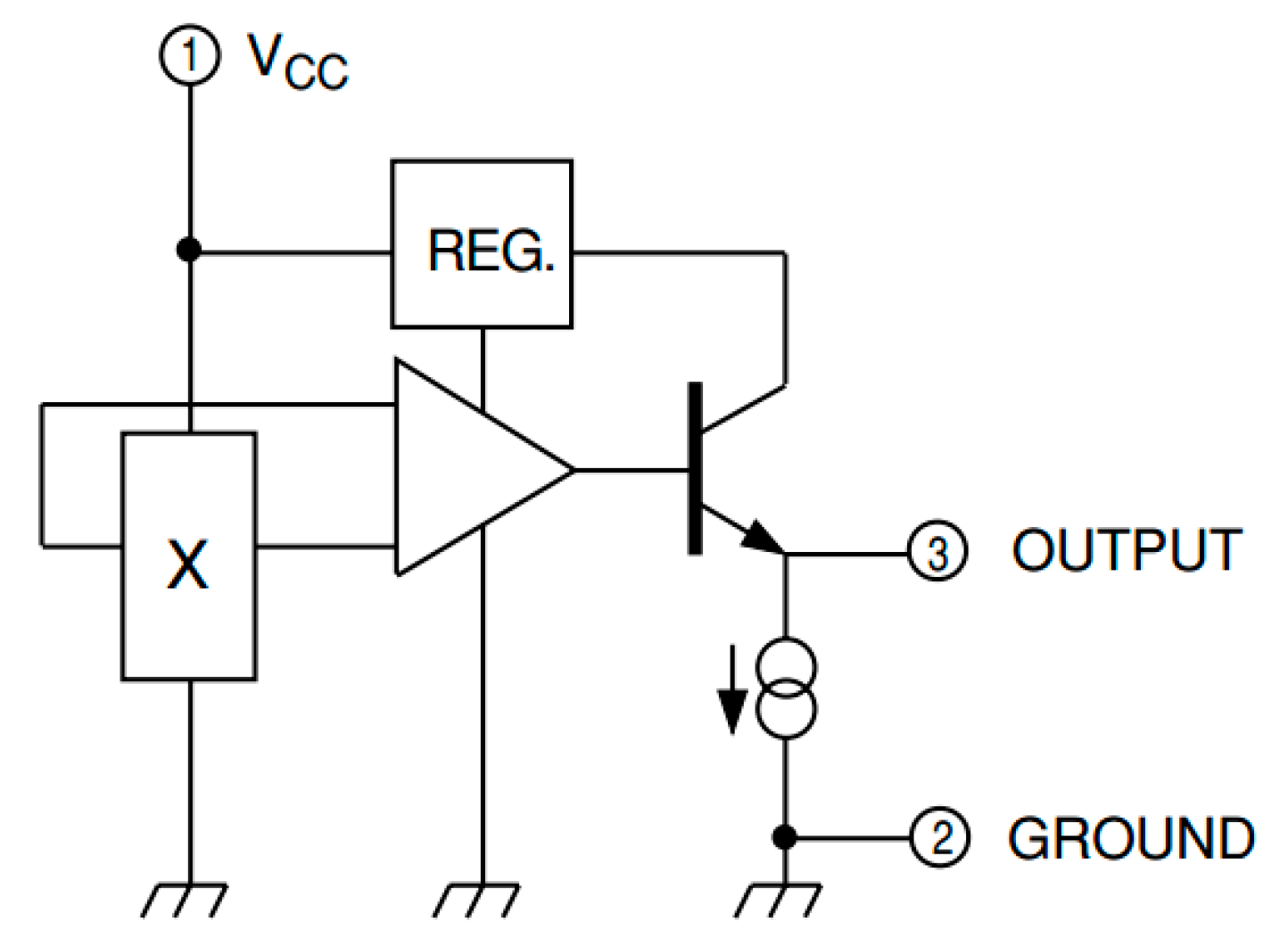
4. Design of MFL System and Conditioning Circuit
4.1. Sliding Shoe Magnetic Flux Leakage Probe
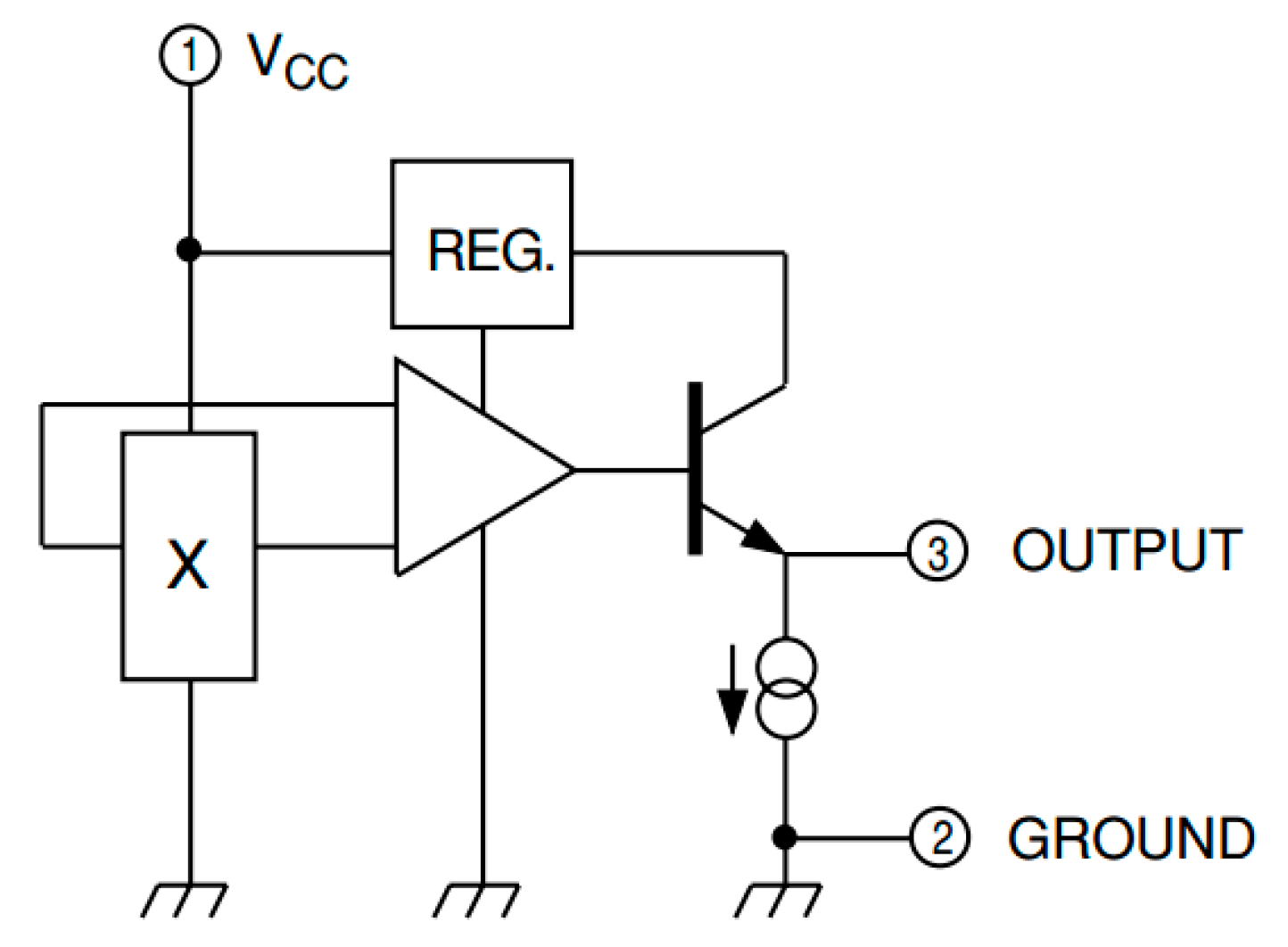
4.2. Signal Conditioning Circuit
5. Test and Analysis of Artificial Defect Samples
5.1. Introduction of the Defect Samples
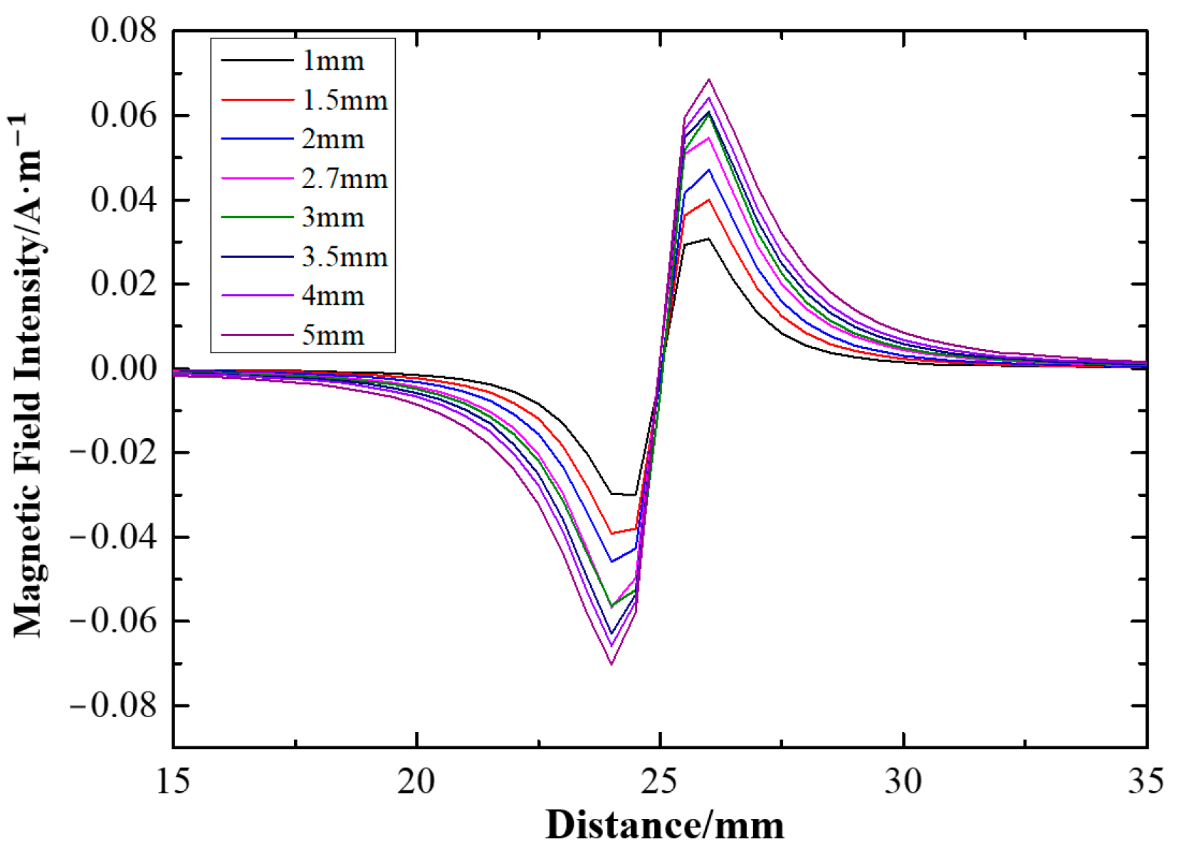
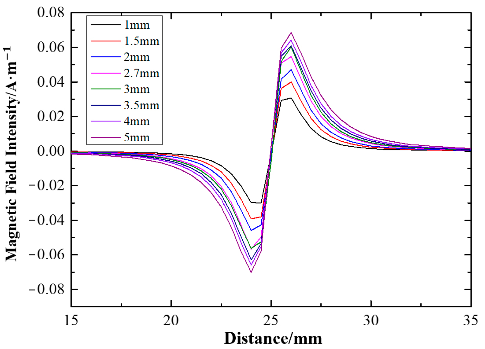
5.2. Analysis of the Detection Results of Defects at Different Depths
5.3. Analysis of the Features of Defects at Different Depths
6. Conclusions
Author Contributions
Funding
Data Availability Statement
Conflicts of Interest
References
- Mahdavi, H.; Poulios, K.; Kadin, Y.; Niordson, C.F. On the effect of microplasticity on crack initiation from subsurface defects in rolling contact fatigue. Int. J. Fatigue 2022, 161, 106870. [Google Scholar] [CrossRef]
- Jia, Y.; Liang, K.; Wang, P.; Ji, K.; Xu, P. An enhancement method of magnetic flux leakage signals for rail track surface defect detection. IET Sci. Meas. Technol. 2020, 14, 711–717. [Google Scholar] [CrossRef]
- Provezza, L.; Bodini, I.; Petrogalli, C.; Lancini, M.; Solazzi, L.; Faccoli, M. Monitoring the damage evolution in rolling contact fatigue tests using machine learning and vibrations. Met. —Open Access Metall. J. 2021, 11, 283. [Google Scholar] [CrossRef]
- Wranik, J. Simulation of the fatigue crack initiation in SAE 52100 martensitic hardened bearing steel during rolling contact. Lubricants 2022, 10, 62. [Google Scholar]
- Ji, K. A method for detecting surface defects in railhead by magnetic flux leakage. Appl. Sci. 2021, 11, 9489. [Google Scholar] [CrossRef]
- Azad, A.; Lee, J.; Kim, N. Time dependent numerical simulation of MFL coil sensor for metal damage detection. Smart Struct. Syst. 2021, 6, 727–735. [Google Scholar]
- Askarinejad, H.; Dhanasekar, M.; Boyd, P.; Taylor, R. Field measurement of wheel—Rail impact force at insulated rail joint. Exp. Tech. 2015, 39, 61–69. [Google Scholar] [CrossRef]
- Zhang, H.; Qiu, J.; Xia, R.; Cheng, C.; Zhou, J.; Jiang, H.; Li, Y. Corrosion damage evaluation of loaded steel strand based on self-magnetic flux leakage. J. Magn. Magn. Mater. 2022, 549, 168998. [Google Scholar] [CrossRef]
- Sathappan, N.; Tokhi, M.O.; Penaluna, L.; Zhao, Z.; Duan, F.; Shirkoohi, G.; Kaur, A. Development of an MFL coil sensor for testing pipes in extreme temperature conditions. Sensors 2021, 21, 3033. [Google Scholar] [CrossRef]
- Teng, Y.; Zhang, R.; Yang, J.; Qiu, Z.; Chen, X. Comprehensive evaluation of damages in ferromagnetic materials based on integrated magnetic detection. Insight Non-Destr. Test. Cond. Monit. 2022, 64, 206–212. [Google Scholar] [CrossRef]
- Zhang, Q.; Zou, D.; Yang, Q. Research and analysis of damaged morphology and structure on the head of switch rail. Metall. Anal. 2019, 39, 23–28. [Google Scholar]
- Wang, S.; Liu, L.; Liu, H.; Cheng, S. Crack initiation and spalling analysis of inner rail on heavy haul railway curve based on damage accumulation and weight parameter. China Railw. Sci. 2017, 27, 31–35. [Google Scholar]
- Zhang, D.; Zhang, E.; Yan, X. Quantitative method for detecting internal and surface defects in wire rope. NDT E Int. 2021, 119, 102405. [Google Scholar] [CrossRef]
- Chen, H.; Li, S. Collinear nonlinear mixed-frequency ultrasound with FEM and experimental method for structural health prognosis. Processes 2022, 10, 656. [Google Scholar] [CrossRef]
- Huang, N.; Chen, Q.; Cai, G.; Xu, D.; Zhang, L.; Zhao, W. Fault diagnosis of bearing in wind turbine gearbox under actual operating conditions driven by limited data with noise labels. IEEE Trans. Instrum. Meas. 2021, 70, 1–10. [Google Scholar] [CrossRef]
- Jonas, W. Rolling contact fatigue analysis of rails including numerical simulations of the rail manufacturing process and repeated wheel-rail contact loads. Int. J. Fatigue 2003, 25, 547–558. [Google Scholar]
- Zhang, C.; Kordestani, H.; Shadab Far, M. A combined review of vibration control strategies for high-speed trains and railway infrastructures: Challenges and solutions. J. Low Freq. Noise Vib. Act. Control. 2022, 42, 272–291. [Google Scholar] [CrossRef]
- Sun, R.; Wang, J.; Cheng, Q.; Mao, Y.; Ochieng, W.Y. A new IMU-aided multiple GNSS fault detection and exclusion algorithm for integrated navigation in urban environments. GPS Solut. 2021, 25, 1–17. [Google Scholar] [CrossRef]
- Popović, Z.; Radović, V.; Lazarević, L.; Vukadinović, V.; Tepić, G. Rail inspection of RCF defects. Metalurgija 2013, 52, 537–540. [Google Scholar]
- Zong, C.; Wan, Z. Container ship cell guide accuracy check technology based on improved 3D point cloud instance segmentation. Brodogradnja 2022, 73, 23–35. [Google Scholar] [CrossRef]
- Zong, C.; Wang, H.; Wan, Z.B. An improved 3D point cloud instance segmentation method for overhead catenary height detection. Comput. Electr. Eng. 2022, 98, 1. [Google Scholar] [CrossRef]
- Luo, P.; Wang, B.; Wang, H.; Ma, F.; Ma, H.; Wang, L. An ultrasmall bolt defect detection method for transmission line inspection. IEEE Trans. Instrum. Meas. 2023, 72, 1–12. [Google Scholar] [CrossRef]
- Mi, C.; Huang, S.; Zhang, Y.; Zhang, Z.; Postolache, O. Design and Implementation of 3-D Measurement Method for Container Handling Target. J. Mar. Sci. Eng. 2022, 10, 1961. [Google Scholar] [CrossRef]
- Lu, C.; Zhou, H.; Li, L.; Yang, A.; Xu, C.; Ou, Z.; Tian, F. Split-core magnetoelectric current sensor and wireless current measurement application. Meas. J. Int. Meas. Confed. 2022, 188, 110527. [Google Scholar] [CrossRef]
- Deng, Y.; Zhou, X.; Shen, J.; Xiao, G.; Hong, H.; Lin, H.; Wu, F.; Liao, B.Q. New methods based on back propagation (BP) and radial basis function (RBF) artificial neural networks (ANNs) for predicting the occurrence of haloketones in tap water. Sci. Total Environ. 2021, 772, 145534. [Google Scholar] [CrossRef] [PubMed]
- Liu, B.; He, L.Y.; Zhang, H.; Cao, Y.; Fernandes, H. The axial crack testing model for long distance oil—gas pipeline based on magnetic flux leakage internal inspection method. Measurement 2017, 103, 275–282. [Google Scholar] [CrossRef]
- Andersen, R.E.; Nalpantidis, L.; Ravn, O.; Boukas, E. Simultaneous regression-based spatial coverage estimation and object detection with deep learning. Electron. Lett. 2021, 57, 605–607. [Google Scholar] [CrossRef]
- Yang, Z.; Boogaard, A.; Chen, R.; Dollevoet, R.; Li, Z. Numerical and experimental study of wheel-rail impact vibration and noise generated at an insulated rail joint. Int. J. Impact Eng. 2017, 113, 29–39. [Google Scholar] [CrossRef]
- Dudkin, E.; Andreeva, L.; Sultanov, N. Methods of noise and vibration protection on urban rail transport. Procedia Eng. 2017, 189, 829–835. [Google Scholar] [CrossRef]
- Zerbst, U.; Lundén, R.; Edel, K.-O. Introduction to the damage tolerance behaviour of railway rails—A review. Eng. Fract. Mech. 2009, 76, 2563–2601. [Google Scholar] [CrossRef]
- Cannon, D.; Edel, K.; Grassie, S. Rail defects: An overview. Fatigue Fract. Eng. Mater. Struct. 2003, 26, 865–886. [Google Scholar] [CrossRef]
- Gao, J.; Du, G.; Wei, H. The research of defect detection test system based on magnetic flux leakage. In Proceedings of the 2011 6th International Forum on Strategic Technology, Harbin, China, 22–24 August 2011. [Google Scholar]
- Tian, G. Velocity effect analysis of dynamic magnetization in high speed magnetic flux leakage inspection. Ndt E Int. 2014, 64, 7–12. [Google Scholar]
- Antipov, A.; Marpov, A. 3D simulation and experiment on high speed rail MFL inspection. NDT E Int. 2018, 98, 177–185. [Google Scholar] [CrossRef]
- Chen, H.X.; Liu, M.M.; Chen, Y.T.; Li, S.Y.; Miao, Y.Z. Nonlinear lamb wave for structural incipient defect detection with sequential probabilistic ratio test. Secur. Commun. Netw. 2022, 2022, 9851533. [Google Scholar] [CrossRef]














| Defect | 1 | 2 | 3 | 4 | 5 | 6 | 7 | 8 |
|---|---|---|---|---|---|---|---|---|
| Depth | 5 | 4 | 3.5 | 3 | 2.7 | 2 | 1.5 | 1 |
Disclaimer/Publisher’s Note: The statements, opinions and data contained in all publications are solely those of the individual author(s) and contributor(s) and not of MDPI and/or the editor(s). MDPI and/or the editor(s) disclaim responsibility for any injury to people or property resulting from any ideas, methods, instructions or products referred to in the content. |
© 2023 by the authors. Licensee MDPI, Basel, Switzerland. This article is an open access article distributed under the terms and conditions of the Creative Commons Attribution (CC BY) license (https://creativecommons.org/licenses/by/4.0/).
Share and Cite
Wang, Y.; Wang, Y.; Wang, P.; Ji, K.; Wang, J.; Yang, J.; Shu, Y. Rail Magnetic Flux Leakage Detection and Data Analysis Based on Double-Track Flaw Detection Vehicle. Processes 2023, 11, 1024. https://doi.org/10.3390/pr11041024
Wang Y, Wang Y, Wang P, Ji K, Wang J, Yang J, Shu Y. Rail Magnetic Flux Leakage Detection and Data Analysis Based on Double-Track Flaw Detection Vehicle. Processes. 2023; 11(4):1024. https://doi.org/10.3390/pr11041024
Chicago/Turabian StyleWang, Yi, Yuhui Wang, Ping Wang, Kailun Ji, Jun Wang, Jie Yang, and Yuan Shu. 2023. "Rail Magnetic Flux Leakage Detection and Data Analysis Based on Double-Track Flaw Detection Vehicle" Processes 11, no. 4: 1024. https://doi.org/10.3390/pr11041024
APA StyleWang, Y., Wang, Y., Wang, P., Ji, K., Wang, J., Yang, J., & Shu, Y. (2023). Rail Magnetic Flux Leakage Detection and Data Analysis Based on Double-Track Flaw Detection Vehicle. Processes, 11(4), 1024. https://doi.org/10.3390/pr11041024
