Development of Energy-Rich and Fiber-Rich Bars Based on Puffed and Non-Puffed Cereals
Abstract
1. Introduction
2. Materials and Methods
2.1. Chemicals
2.2. Raw Materials
2.3. Preparation of Materials
2.4. Gluten-Free Cereal Bars Formulations
2.5. Experimental Design
2.6. Preparation of Gluten-Free Cereal Bars
2.7. Gluten-Free Cereal Bars Evaluation
2.7.1. Sensory Analysis
2.7.2. Proximate Composition and Calorific Value
2.7.3. Color Assessment
2.7.4. Antioxidant Properties
2.8. Statistical Analysis
3. Results and Discussion
3.1. Mixture Design Analysis and Model Fitting
3.2. Effect of the Mixture’s Components on the Sensorial Parameters and Consumer’s Acceptance
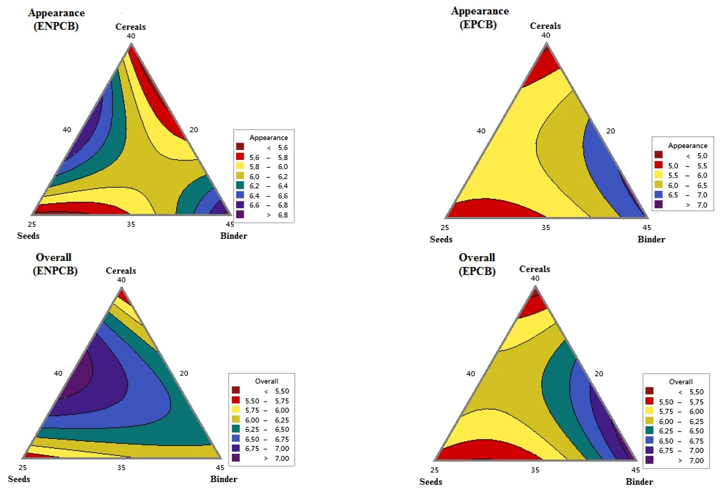
3.2.1. Energy-Rich Gluten-Free Cereal Bars
3.2.2. Fiber-Rich Gluten-Free Cereal Bars
3.3. Optimization
3.4. Characteristics of Optimal Gluten-Free Cereal Bars
3.4.1. Chemical Composition and Calorific Value
Moisture Content
Protein Content
Fat Content
Fiber Content
Ash Content
Carbohydrates
Calorific Value
3.4.2. Color of the Optimal Gluten-Free Cereal Bars
3.4.3. Antioxidant Properties of the Optimal Gluten-Free Cereal Bars
3.4.4. Sensorial Characteristics of the Optimal Gluten-Free Cereal Bars
4. Conclusions
Author Contributions
Funding
Data Availability Statement
Conflicts of Interest
References
- Aggarwal, S.; Lebwohl, B.; Green, P.H. Screening for celiac disease in average-risk and high-risk populations. TAG 2012, 5, 37–47. [Google Scholar] [CrossRef] [PubMed]
- Miaja, M.F.; Martín, J.J.D.; Treviño, S.J.; González, M.S.; García, C.B. Study of adherence to the gluten-free diet in coeliac patients. An. Pediatr. 2021, 94, 377–384. [Google Scholar] [CrossRef]
- Jalilian, M.; Jalali, R. Prevalence of celiac disease in children with type 1 diabetes: A review. Diabetes Metab. Syndr. Clin. Res. Rev. 2021, 15, 969–974. [Google Scholar] [CrossRef]
- Itzlinger, A.; Branchi, F.; Elli, L.; Schumann, M. Gluten-free diet in celiac disease—Forever and for all? Nutrients 2018, 10, 1796. [Google Scholar] [CrossRef] [PubMed]
- Skendi, A.; Papageorgiou, M. Introduction in wheat and breadmaking. Trends Wheat Bread Mak. 2021, 1–27. [Google Scholar] [CrossRef]
- Aljada, B.; Zohni, A.; El-Matary, W. The gluten-free diet for celiac disease and beyond. Nutrients 2021, 13, 3993. [Google Scholar] [CrossRef] [PubMed]
- Gobbetti, M.; Pontonio, E.; Filannino, P.; Rizzello, C.G.; De Angelis, M.; Di Cagno, R. How to improve the gluten-free diet: The state of the art from a food science perspective. Food Res. Int. 2018, 110, 22–32. [Google Scholar] [CrossRef]
- de Carvalho, M.G.; da Costa, J.M.C.; Passos Rodrigues, M.d.C.; de Sousa, P.H.M.; Clemente, E. Formulation and sensory acceptance of cereal-bars made with almonds of chichá, sapucaia and gurguéia nuts. TOFSJ 2011, 5, 26–30. [Google Scholar] [CrossRef]
- Kaur, R.; Ahluwalia, P.; Sachdev, P.A.; Kaur, A. Development of gluten-free cereal bar for gluten intolerant population by using quinoa as major ingredient. JFST 2018, 55, 3584–3591. [Google Scholar] [CrossRef]
- Aleksandrova, A.; Mykolenko, S.; Tymchak, D.; Aliieva, O. Effect of Pop Sorghum on the Quality of Glutenfree Cereal Bars. Sci. Rise 2021, 6, 3–10. [Google Scholar] [CrossRef]
- Ojha, P.; Adhikari, A.; Manandhar, U.; Maharjan, S.; Maharjan, S. Utilization of Buckwheat, Proso Millet, And Amaranth For A Gluten-Free Cereal Bar. IFSTJ 2022, 5, 57–62. [Google Scholar] [CrossRef]
- Agbaje, R.; Hassan, C.; Norlelawati, A.; Rahman, A.; Huda-Faujan, N. Development and physico-chemical analysis of granola formulated with puffed glutinous rice and selected dried Sunnah foods. Int. Food Res. J. 2016, 23, 498–506. [Google Scholar]
- Costa, I.M.; da Silva, S.S.V.; Silva, A.N.A.; de Oliveira, F.M.; Gonçalves, A.C.A.; Trombete, F.M.; Kobori, C.N. Physicochemical and sensory analysis of salted cereals bars developed with vegetables rich in carotenoids. Res. Soc. Dev. 2021, 10, e44210212824. [Google Scholar] [CrossRef]
- Samakradhamrongthai, R.S.; Jannu, T.; Renaldi, G. Physicochemical properties and sensory evaluation of high energy cereal bar and its consumer acceptability. Heliyon 2021, 7, e07776. [Google Scholar] [CrossRef]
- Bourekoua, H. Panification Traditionnelle Sans Gluten Type «Khobz Eddar». Ph.D. Thesis, University of Mentouri Brothers Constantine 1, Constantine, Algeria, 2018. [Google Scholar]
- Mishra, G.; Joshi, D.C.; Panda, B.K. Popping and puffing of cereal grains: A review. J. Grain Process. Storage 2014, 1, 34–46. [Google Scholar]
- Huang, R.; Pan, X.; Lv, J.; Zhong, W.; Yan, F.; Duan, F.; Jia, L. Effects of explosion puffing on the nutritional composition and digestibility of grains. Int. J. Food Prop. 2018, 21, 2193–2204. [Google Scholar] [CrossRef]
- Bettane, A.; Khadraoui, S. Elaboration Et Analyse du Beurre de Cacahuete. Master’s Thesis, University of Abderrahmane Mira, Béjaia, Algeria, 2020. [Google Scholar]
- Knez Hrnčič, M.; Ivanovski, M.; Cör, D.; Knez, Ž. Chia Seeds (Salvia hispanica L.): An overview—Phytochemical profile, isolation methods, and application. Molecules 2019, 25, 11. [Google Scholar] [CrossRef] [PubMed]
- Benallouache, S.; Aberkane, N. Analyse Physico-Chimiques, Microbiologiques Et Sensorielles D’une Boisson végétale à Base D’amande Enrichie Au Sirop de Datte. Master’s Thesis, University of Abderrahmane Mira, Béjaia, Algeria, 2021. [Google Scholar]
- Khan, A.W.; Khalid, W.; Safdar, S.; Usman, M.; Shakeel, M.A.; Jamal, N.; Prakash, R.; Jha, M.B.; Shehzadi, S.; Khalid, M.Z. Nutritional and Therapeutic Benefits of Psyllium Husk (Plantago ovata). ASMI 2021, 4, 43–50. [Google Scholar]
- Madgulkar, A.R.; Rao, M.R.; Warrier, D. Characterization of psyllium (Plantago ovata) polysaccharide and its uses. Polysaccharide 2015, 871–890. [Google Scholar] [CrossRef]
- Sharma, C.; Kaur, A.; Aggarwal, P.; Singh, B. Cereal bars—A healthful choice a review. Carpathian J. Food Sci. Technol. 2014, 6. [Google Scholar]
- Lim, H.S.; Park, S.H.; Ghafoor, K.; Hwang, S.Y.; Park, J. Quality and antioxidant properties of bread containing turmeric (Curcuma longa L.) cultivated in South Korea. Food Chem. 2011, 124, 1577–1582. [Google Scholar] [CrossRef]
- ICC. Standard Methods of the International Association for Cereal Science and Technology; International Association for Cereal Chemistry: Vienna, Austria, 1996. [Google Scholar]
- AOAC. Official Methods of Analysis; Association of Official Analytical Chemists: Rockville, MD, USA, 2005. [Google Scholar]
- Henneberg, W.; Stohmann, F. Beiträge zur Begründung einer Rationellen Fütterung der Wiederkäuer; Braunschweig: Schwetschke, Germany, 1864; Volume 2. [Google Scholar]
- Costantini, L.; Lukšič, L.; Molinari, R.; Kreft, I.; Bonafaccia, G.; Manzi, L.; Merendino, N. Development of gluten-free bread using tartary buckwheat and chia flour rich in flavonoids and omega-3 fatty acids as ingredients. Food Chem. 2014, 165, 232–240. [Google Scholar] [CrossRef] [PubMed]
- Djeghim, F.; Bourekoua, H.; Różyło, R.; Bieńczak, A.; Tanaś, W.; Zidoune, M.N. Effect of By-Products from Selected Fruits and Vegetables on Gluten-Free Dough Rheology and Bread Properties. Appl. Sci. 2021, 11, 4605. [Google Scholar] [CrossRef]
- Ayad, R.; Ayad, R.; Bourekoua, H.; Lefahal, M.; Makhloufi, E.H.; Akkal, S.; Medjroubi, K.; Nieto, G. Process Optimization of Phytoantioxidant and Photoprotective Compounds from Carob Pods (Ceratonia siliqua L.) Using Ultrasonic Assisted Extraction Method. Molecules 2022, 27, 8802. [Google Scholar] [CrossRef] [PubMed]
- Singleton, V.L.; Rossi, J.A. Colorimetry of total phenolics with phosphomolybdic-phosphotungstic acid reagents. AJEV 1965, 16, 144–158. [Google Scholar]
- Djeridane, A.; Yousfi, M.; Nadjemi, B.; Boutassouna, D.; Stocker, P.; Vidal, N. Antioxidant activity of some Algerian medicinal plants extracts containing phenolic compounds. Food Chem. 2006, 97, 654–660. [Google Scholar] [CrossRef]
- Prieto, P.; Pineda, M.; Aguilar, M. Spectrophotometric quantitation of antioxidant capacity through the formation of a phosphomolybdenum complex: Specific application to the determination of vitamin E. Anal. Biochem. 1999, 269, 337–341. [Google Scholar] [CrossRef]
- Ismail, H.F.; Hashim, Z.; Soon, W.T.; Ab Rahman, N.S.; Zainudin, A.N.; Majid, F.A.A. Comparative study of herbal plants on the phenolic and flavonoid content, antioxidant activities and toxicity on cells and zebrafish embryo. J. Tradit. Complement. Med. 2017, 7, 452–465. [Google Scholar] [CrossRef]
- Re, R.; Pellegrini, N.; Proteggente, A.; Pannala, A.; Yang, M.; Rice-Evans, C. Antioxidant activity applying an improved ABTS radical cation decolorization assay. Free Radic. Biol. Med. 1999, 26, 1231–1237. [Google Scholar] [CrossRef]
- Oyaizu, M. Studies on products of browning reaction antioxidative activities of products of browning reaction prepared from glucosamine. Jpn. J. Nutr. Diet 1986, 44, 307–315. [Google Scholar] [CrossRef]
- Cornell, J.A. Experiments with Mixtures: Designs, Models, and the Analysis of Mixture Data; John Wiley & Sons: Hoboken, NJ, USA, 2002. [Google Scholar]
- Bourekoua, H.; Różyło, R.; Benatallah, L.; Wójtowicz, A.; Łysiak, G.; Zidoune, M.N.; Sujak, A. Characteristics of gluten-free bread: Quality improvement by the addition of starches/hydrocolloids and their combinations using a definitive screening design. Eur. Food Res. Technol. 2017, 244, 345–354. [Google Scholar] [CrossRef]
- Srebernich, S.M.; Gonçalves, G.M.S.; Ormenese, R.d.C.S.C.; Ruffi, C.R.G. Physico-chemical, sensory and nutritional characteristics of cereal bars with addition of acacia gum, inulin and sorbitol. Food Sci. Technol. 2016, 36, 555–562. [Google Scholar] [CrossRef]
- Megala, P.; Hymavathi, T. Inulin and fructooligosaccharides incorporated functional fruit bars. IJABE 2011, 5, 658–663. [Google Scholar]
- Souza, A.H.P.; Gohara, A.K.; Pagamunici, L.M.; Visentainer, J.V.; Souza, N.E.; Matsushita, M. Development, characterization and chemometric analysis of gluten-free granolas containing whole flour of pseudo-cereals new cultivars. Acta Sci. Technol. 2014, 36, 157–163. [Google Scholar] [CrossRef]
- Fradinho, P.; Nunes, M.C.; Raymundo, A. Developing consumer acceptable biscuits enriched with Psyllium fibre. J. Food Sci. Technol. 2015, 52, 4830–4840. [Google Scholar] [CrossRef]
- Ullah, R.; Nadeem, M.; Khalique, A.; Imran, M.; Mehmood, S.; Javid, A.; Hussain, J. Nutritional and therapeutic perspectives of Chia (Salvia hispanica L.): A review. J. Food Sci. Technol. 2016, 53, 1750–1758. [Google Scholar] [CrossRef]
- Echávarri-Dublhán, J.; Alonso-Santamaría, M.; Luri-Esplandiú, P.; Sáiz-Abajo, M.-J. Comparison of different illumination systems for moisture prediction in cereal bars using hyperspectral imaging technology. JSI 2022, 11, a10. [Google Scholar] [CrossRef]
- Raiesi, F.; Tahery, S.; Shariati, M. Production of a new drink by using date syrup and milk. J. Food Biosci. Technol. 2014, 4, 67–72. [Google Scholar]
- Ciqual, T. French Food Composition Table. In French Agency for Food, Environnemental and Occupationnel Health and Safety. 2017. Available online: https://www.anses.fr/fr (accessed on 1 March 2023).
- Degaspari, C.H.; Blinder, E.W.; Mottin, F. Perfil nutricional do consumidor de barras de cereais. Visão Acadêmica 2008, 9. [Google Scholar] [CrossRef]
- Ciqual, T. French Food Composition Table. In French Agency for Food, Environnemental and Occupationnel Health and Safety. 2020. Available online: https://www.anses.fr/fr (accessed on 1 March 2023).
- Shaheen, B.; Nadeem, M.; Kauser, T.; Mueen-ud-Din, G.; Mahmood, S. Preparation and nutritional evaluation of date based fiber enriched fruit bars. Pak. J. Nutr. 2013, 12, 1061–1065. [Google Scholar] [CrossRef]
- Kaur, K.; Singh, N. Amylose-lipid complex formation during cooking of rice flour. Food Chem. 2000, 71, 511–517. [Google Scholar] [CrossRef]
- González, M.P.; Ballestero-Fernández, C.; Fajardo, V.; Achón, M.; García-González, Á.; Alonso-Aperte, E.; Úbeda, N. Gluten-Free Product Contribution to Energy and Macronutrient Intakes in Spanish Children and Adolescents with Celiac Disease. Foods 2022, 11, 3790. [Google Scholar] [CrossRef]
- Silva de Paula, N.; Gomes Natal, D.I.; Aparecida Ferreira, H.; de Souza Dantas, M.I.; Machado Rocha Ribeiro, S.; Stampini Duarte Martino, H. Characterization of cereal bars enriched with dietary fiber and omega 3. Rev. Chil. De Nutr. 2013, 40, 269–273. [Google Scholar] [CrossRef]
- Aleksejeva, S.; Siksna, I.; Rinkule, S. Composition of cereal bars. J. Health Sci. 2017, 5, 139–145. [Google Scholar] [CrossRef]
- Vici, G.; Belli, L.; Biondi, M.; Polzonetti, V. Gluten free diet and nutrient deficiencies: A review. Clin. Nutr. 2016, 35, 1236–1241. [Google Scholar] [CrossRef] [PubMed]
- Mariani, P.; Viti, M.G.; Montouri, M.; La Vecchia, A.; Cipolletta, E.; Calvani, L.; Bonamico, M. The gluten-free diet: A nutritional risk factor for adolescents with celiac disease? J. Pediatr. Gastroenterol. Nutr. 1998, 27, 519–523. [Google Scholar] [CrossRef] [PubMed]
- Elleuch, M.; Bedigian, D.; Roiseux, O.; Besbes, S.; Blecker, C.; Attia, H. Dietary fibre and fibre-rich by-products of food processing: Characterisation, technological functionality and commercial applications: A review. Food Chem. 2010, 124, 411–421. [Google Scholar] [CrossRef]
- Patel, A.; Parihar, P.; Dhumketi, K. Nutritional evaluation of kodo millet and puffed kodo. Int. J. Chem. Stud. 2018, 6, 1639–1642. [Google Scholar]
- Mendes, N.d.S.R.; Gomes-Ruffi, C.R.; Lage, M.E.; Becker, F.S.; Melo, A.A.M.d.; Silva, F.A.d.; Damiani, C. Oxidative stability of cereal bars made with fruit peels and baru nuts packaged in different types of packaging. Food Sci. Technol. 2013, 33, 730–736. [Google Scholar] [CrossRef]
- Delost-Lewis, K.; Lorenz, K.; Tribelhorn, R. Puffing quality of experimental varieties of proso millets (Panicum miliaceum). Cereal Chem. 1992, 69, 359–365. [Google Scholar]
- Freitas, D.G.; Moretti, R.H. Characterization and sensorial evaluation of functional cereal bar. Food Sci. Technol. 2006, 26, 318–324. [Google Scholar] [CrossRef]
- Schlinkert, C.; Gillebaart, M.; Benjamins, J.; Poelman, M.; de Ridder, D. The snack that has it all: People’s associations with ideal snacks. Appetite 2020, 152, 104722. [Google Scholar] [CrossRef]
- Carvalho, M. Cereal Bar with Almond Chichá, Sapucaia and Brazil-Gurguéia, Complete with Pineapple Bark. Master’s Thesis, Federal-University of Ceará, Fortaleza, Brazil, 2008. [Google Scholar]
- Esfahlan, A.J.; Jamei, R.; Esfahlan, R.J. The importance of almond (Prunus amygdalus L.) and its by-products. Food Chem. 2010, 120, 349–360. [Google Scholar] [CrossRef]
- Franco, E.A.N.; Sanches-Silva, A.; Ribeiro-Santos, R.; de Melo, N.R. Psyllium (Plantago ovata Forsk): From evidence of health benefits to its food application. Trends Food Sci. Technol. 2020, 96, 166–175. [Google Scholar] [CrossRef]
- Sabra, A.; Netticadan, T.; Wijekoon, C. Grape bioactive molecules, and the potential health benefits in reducing the risk of heart diseases. Food Chem. X 2021, 12, 100149. [Google Scholar] [CrossRef]
- Din, Z.-u.; Alam, M.; Ullah, H.; Shi, D.; Xu, B.; Li, H.; Xiao, C. Nutritional, phytochemical and therapeutic potential of chia seed (Salvia hispanica L.). A mini-review. FHFH 2021, 1, 100010. [Google Scholar] [CrossRef]
- Zhang, L.; Han, Z.; Granato, D. Polyphenols in foods: Classification, methods of identification, and nutritional aspects in human health. Adv. Food Nutr. Res. 2021, 98, 1–33. [Google Scholar] [CrossRef]
- Davis, P.A.; Iwahashi, C.K. Whole almonds and almond fractions reduce aberrant crypt foci in a rat model of colon carcinogenesis. Cancer Lett. 2001, 165, 27–33. [Google Scholar] [CrossRef]
- Hyson, D.A.; Schneeman, B.O.; Davis, P.A. Almonds and almond oil have similar effects on plasma lipids and LDL oxidation in healthy men and women. J. Nutr. 2002, 132, 703–707. [Google Scholar] [CrossRef]
- Abbès, F.; Kchaou, W.; Blecker, C.; Ongena, M.; Lognay, G.; Attia, H.; Besbes, S. Effect of processing conditions on phenolic compounds and antioxidant properties of date syrup. Ind. Crops Prod. 2013, 44, 634–642. [Google Scholar] [CrossRef]
- Taleb, H.; Maddocks, S.E.; Morris, R.K.; Kanekanian, A.D. The antibacterial activity of date syrup polyphenols against S. aureus and E. coli. Front. Microbiol. 2016, 7, 198. [Google Scholar] [CrossRef]
- Jakobek, L. Interactions of polyphenols with carbohydrates, lipids and proteins. Food Chem. 2015, 175, 556–567. [Google Scholar] [CrossRef] [PubMed]
- Della Valle, G.; Chiron, H.; Saulnier, L. Enrichissement des produits céréaliers en fibres alimentaires: Opportunités et contraintes technologiques. Innov. Agron. 2019, 78, 55–68. Available online: https://hal.inrae.fr/hal-02914388 (accessed on 12 December 2022).
- Subramani, D.; Tamilselvan, S.; Murugesan, M. Development of snack bars from puffed quinoa and its sensory evaluation. Int. J. Food Sci. Nutr. 2020, 5, 30–33. [Google Scholar]
- Haldkar, P.; Tiwari, V.K.; Rumandla, S.K.; Behera, K. Effect of puffing and cooking on phytochemical profile of psoudo-cereals: A review. J. Pharm. Innov. 2022, SP-11, 511–514. [Google Scholar]
- Jaybhaye, R.V.; Kshirsagar, D.N.; Srivastav, P. Development of barnyard millet puffed product using hot air puffing and optimization of process parameters. Int. J. Food Eng. 2011. Available online: https://www.researchgate.net/publication/261071932_ (accessed on 12 December 2022).




| Mixture | Coded Factors | Fiber-Rich Cereal Bars (Puffed and Non-Puffed Cereals) | Energy-Rich Cereal Bars (Puffed and Non-Puffed Cereals) | ||||||
|---|---|---|---|---|---|---|---|---|---|
| X1 | X2 | X3 | Cereals | Seeds | Binder | Cereals | Seeds | Binder | |
| 1 | 0 | 0 | 1 | 50 | 10 | 40 | 35 | 20 | 45 |
| 2 | 0 | 1 | 0 | 50 | 15 | 35 | 35 | 25 | 40 |
| 3 | 0 | 0.5 | 0.5 | 50 | 12.5 | 37.5 | 35 | 22.5 | 42.5 |
| 4 | 0.5 | 0 | 0.5 | 52.5 | 10 | 37.5 | 37.5 | 20 | 42.5 |
| 5 | 1 | 0 | 0 | 55 | 10 | 35 | 40 | 20 | 40 |
| 6 | 0.5 | 0.5 | 0 | 52.5 | 12.5 | 35 | 37.5 | 22.5 | 40 |
| 7 | 0.333 | 0.333 | 0.333 | 51.6667 | 11.6667 | 36.6667 | 36.6667 | 21.6667 | 41.6667 |
| Energy Non-Puffed Cereal Bars | R2 (%) | p-Value | Energy Puffed Cereal Bars | R2 (%) | p-Value |
|---|---|---|---|---|---|
| 84.64 | <0.05 * | 90.70 | <0.05 * | ||
| 72.72 | <0.05 * | 90.53 | <0.05 * | ||
| 86.67 | <0.05 * | 92.30 | <0.05 * | ||
| 72.64 | <0.05 * | 96.88 | <0.05 * | ||
| 81.86 | <0.05 * | 94.95 | <0.05 * |
| Fiber-Rich Non-Puffed Cereal Bars | R2 (%) | p-Value | Fiber-Rich Puffed Cereal Bars | R2 (%) | p-Value |
|---|---|---|---|---|---|
| 83.60 | <0.05 * | 97.39 | <0.05 * | ||
| 95.40 | <0.05 * | 99.66 | <0.05 * | ||
| 84.53 | <0.05 * | 94.72 | <0.05 * | ||
| 99.64 | <0.05 * | 68.44 | <0.05 * | ||
| 88.07 | <0.05 * | 83.03 | <0.05 * |
| Mixture | Energy-Rich Non-Puffed Cereal Bars | Energy-Rich Puffed Cereal Bars | ||||||||
|---|---|---|---|---|---|---|---|---|---|---|
| Taste | Aroma | Texture | Appearance | Overall | Taste | Aroma | Texture | Apparence | Overall | |
| 1 | 6.4 ± 1.3 b* | 6.1 ± 1.1 bc | 5.7 ± 1.2 bc | 7 ± 1.4 a | 6.2 ± 0.8 b | 6.7 ± 1.4 a | 6.2 ± 1.4 ab | 6.9 ± 1.3 a | 7 ± 0.8 a | 7.1 ± 1.1 a |
| 2 | 6.3 ± 1.0 bc | 5.8 ± 0.9 c | 5.4 ± 1.2 cd | 5.6 ± 1.5 c | 5.6 ± 1.1 c | 5.7 ± 1.2 ab | 5.5 ± 0.9 b | 5.7 ± 1.2 abc | 5.3 ± 1.6 c | 5.6 ± 1.5 c |
| 3 | 5.9 ± 0.5 d | 5.7 ± 1.0 c | 5.8 ± 1.6 b | 5.5 ± 1.6 c | 5.7 ± 1.2 c | 5.4 ± 1.0 b | 5.7 ± 0.8 ab | 5.4 ± 0.6 bc | 5.6 ± 1.6 bc | 5.8 ± 0.8 bc |
| 4 | 6.1 ± 1 cd | 6.1 ± 0.9 bc | 5.7 ± 1.2 bc | 5.4 ± 1.4 c | 6.1 ± 1.1b | 6.6 ± 1.4 a | 6.7 ± 1.0 a | 6.5 ± 1.6 ab | 6.8 ± 1.0 ab | 6.8 ± 1.0 ab |
| 5 | 5.4 ± 0.7 e | 5.9 ± 0.7 c | 5.1 ± 1.5 d | 5.7 ± 1.2 c | 5.5 ± 0.8 c | 5.5 ± 1.6 b | 5.6 ± 1.4 ab | 5 ± 0.7 c | 4.8 ± 1.4 c | 5.3 ± 0.9 c |
| 6 | 6.9 ± 0.9 a | 6.5 ± 0.8 ab | 6.8 ± 0.9 a | 6.5 ± 1.2 b | 6.9 ± 0.7 a | 5.7 ± 1.6 ab | 6.1 ± 1 ab | 6 ± 1.5 abc | 5.9 ± 1.5 abc | 6.2 ± 1.2 abc |
| 7 | 7.1 ± 0.7 a | 6.8 ± 0.6 a | 7.2 ± 1.4 a | 6.8 ± 0.9 ab | 7.3 ± 0.9 a | 6.4 ± 1.2 a | 5.9 ± 0.9 ab | 6.6 ± 1.7 ab | 5.8 ± 1.3 abc | 5.9 ± 1.1 bc |
| Mixture | Fiber-Rich Non-Puffed Cereal Bars | Fiber-Rich Puffed Cereal Bars | ||||||||
|---|---|---|---|---|---|---|---|---|---|---|
| Taste | Aroma | Texture | Apparence | Overall | Taste | Aroma | Texture | Apparence | Overall | |
| 1 | 4.5 ± 1.2 c* | 5.5 ± 1 c | 4.4 ± 1.2 c | 5 ± 1.6 c | 4.5 ± 1.2 c | 6 ± 1.0 ab | 5.4 ± 1.22 ab | 6.4 ± 1.2 a | 6.2 ± 0.7 a | 6.8 ± 1.0 a |
| 2 | 6 ± 1.0 ab | 5.9 ± 0.8 ab | 5.1 ± 1.3 b | 5.7 ± 1.0 b | 5.7 ± 1.3 b | 5.3 ± 1.1 b | 5.1 ± 1 ab | 4.3 ± 0.8 c | 5.6 ± 1.4 ab | 5.1 ± 0.9 c |
| 3 | 7 ± 1.0 a | 6.1 ± 1.1 a | 5.5 ± 1.0 b | 6 ± 1.0 b | 6.4 ± 1.2 a | 5.5 ± 1.4 ab | 4.9 ± 1.16 b | 4.9 ± 1.4 c | 5.2 ± 1.1 b | 4.9 ± 1.3 c |
| 4 | 6 ± 1.6 ab | 5.8 ± 1 abc | 6 ± 1.4 a | 5.8 ± 1.2 b | 6.1 ± 1.3 a | 4.9 ± 1.5 b | 5.1 ± 0.94 ab | 4.4 ± 1.1 c | 5.2 ± 1.0 b | 4.5 ± 1.3 c |
| 5 | 6.3 ± 1.9 ab | 5.6 ± 1.4 bc | 5.5 ± 1.7 b | 5.8 ± 1.2 b | 5.5 ± 2 b | 6.6 ± 1.1 a | 5.9 ± 0.92 a | 6 ± 0.9 ab | 5.9 ± 0.9 a | 6.3 ± 0.8 ab |
| 6 | 6.1 ± 1.9 ab | 5.7 ± 1.3 bc | 6.1 ± 1.3 a | 6 ± 1.4 b | 6.4 ± 1.3 a | 5.8 ± 1.2 ab | 5.1 ± 0.76 ab | 5 ± 1.6 bc | 5.6 ± 1.5 ab | 5.3 ± 1.0 bc |
| 7 | 5.7 ± 2.0 b | 5.7 ± 1.5 bc | 6.4 ± 1.6 a | 6.6 ± 1.4 a | 6.4 ± 1.6 a | 4.9 ± 0.8 b | 4.8 ± 0.96 b | 4.5 ± 0.8 c | 5.5 ± 1.6 b | 4.8 ± 0.8 c |
| Sample | Moisture (%) | Protein (%) | Fat (%) | Ash (%) | Fiber (%) | Carbohydrate (%) | Calorific Value (kcal/100 g) |
|---|---|---|---|---|---|---|---|
| ENPCB | 3.76 ± 0.82 c | 16.13 ± 0.01 a | 6.08 ± 0.02 a | 2.02 ± 0.00 a | 2.95 ± 0.12 c | 69.06 | 395.48 |
| FNPCB | 8.83 ± 0.31 a | 8.81 ± 0.00 c | 1.2 ± 0.01 b | 2.05 ± 0.01 a | 8.56 ± 0.05 b | 70.55 | 328.22 |
| EPCB | 1.83 ± 0.23 d | 15.33 ± 0.00 b | 6.9 ± 0.02 a | 1.8 ± 0.00 b | 1.6 ± 0.02 d | 72.54 | 413.59 |
| FPCB | 6.11 ± 0.72 b | 8.16 ± 0.02 c | 0.8 ± 0.03 c | 1.25 ± 0.01 c | 9.63 ± 0.04 a | 74.05 | 336.02 |
| Sample | L* | a* | b* |
|---|---|---|---|
| ENPCB | 29.1 ± 1.96 c | 5.4 ± 0.74 c | 4.3 ± 0.51 d |
| FNPCB | 36.9 ± 0.98 a | 6 ± 1.01 b | 9.4 ± 1.87 b |
| EPCB | 31 ± 1.65 b | 6.8 ± 1.02 a | 6.9 ± 0.83 c |
| FPCB | 30.1 ± 1.13 bc | 6.2 ± 0.8 b | 10.4 ± 1.33 a |
| Sample | TPC (mg GAE/g d.w) | TFC (mg QE/g d.w) | TAC (mg AAE/g d.w) | DPPHEC50 (mg d.w/mL) | ABTSEC50 (mg d.w/mL) | FRAP A0.5 (mg d.w/mL) |
|---|---|---|---|---|---|---|
| ENPCB | 4.97 ± 0.02 d | 0.42 ± 0.02 b | 3.58 ± 0.09 c | 15.96 ± 0.15 b | 3.15 ± 0.01 b | 29.48 ± 1.04 a |
| FNPCB | 7.86 ± 0.02 a | 0.72 ± 0.01 a | 4.58 ± 0.01 a | 7.36 ± 0.10 d | 2.86 ± 0.06 c | 13.38 ± 0.43 c |
| EPCB | 5.70 ± 0.04 c | 0.41 ± 0.00 b | 2.65 ± 0.04 d | 18.56 ± 0.37 a | 4.04 ± 0.11 a | 21.73 ± 1.17 b |
| FPCB | 7.33 ± 0.07 b | 0.34 ± 0.00 c | 4.16 ± 0.03 b | 10.39 ± 0.05 c | 3.31 ± 0.11 b | 7.71 ± 0.47 d |
| Sample | Taste | Aroma | Color | Texture | Appearance | Overall |
|---|---|---|---|---|---|---|
| ENPCB | 7.23 ± 1.44 b | 7.26 ± 1.77 b | 6.23 ± 1.87 c | 6.46 ± 1.59 b | 6.46 ± 1.32 b | 7.05 ± 1.10 b |
| FNPCB | 5.12 ± 1.60 d | 5.15 ± 1.84 d | 5.67 ± 1.60 d | 5.64 ± 2.06 d | 5.19 ± 1.82 c | 5.73 ± 1.76 d |
| EPCB | 7.92 ± 1.18 a | 7.75 ± 1.28 a | 7.56 ± 1.32 a | 7.25 ± 1.68 a | 7.33 ± 1.52 a | 7.85 ± 1.19 a |
| FPCB | 6.31 ± 1.68 c | 6.07 ± 1.51 c | 6.42 ± 1.71 bc | 5.91 ± 2.20 cd | 6.33 ± 1.97 b | 6.31 ± 1.69 c |
Disclaimer/Publisher’s Note: The statements, opinions and data contained in all publications are solely those of the individual author(s) and contributor(s) and not of MDPI and/or the editor(s). MDPI and/or the editor(s) disclaim responsibility for any injury to people or property resulting from any ideas, methods, instructions or products referred to in the content. |
© 2023 by the authors. Licensee MDPI, Basel, Switzerland. This article is an open access article distributed under the terms and conditions of the Creative Commons Attribution (CC BY) license (https://creativecommons.org/licenses/by/4.0/).
Share and Cite
Bourekoua, H.; Djeghim, F.; Ayad, R.; Benabdelkader, A.; Bouakkaz, A.; Dziki, D.; Różyło, R. Development of Energy-Rich and Fiber-Rich Bars Based on Puffed and Non-Puffed Cereals. Processes 2023, 11, 813. https://doi.org/10.3390/pr11030813
Bourekoua H, Djeghim F, Ayad R, Benabdelkader A, Bouakkaz A, Dziki D, Różyło R. Development of Energy-Rich and Fiber-Rich Bars Based on Puffed and Non-Puffed Cereals. Processes. 2023; 11(3):813. https://doi.org/10.3390/pr11030813
Chicago/Turabian StyleBourekoua, Hayat, Fairouz Djeghim, Radia Ayad, Ayoub Benabdelkader, Abdelbasset Bouakkaz, Dariusz Dziki, and Renata Różyło. 2023. "Development of Energy-Rich and Fiber-Rich Bars Based on Puffed and Non-Puffed Cereals" Processes 11, no. 3: 813. https://doi.org/10.3390/pr11030813
APA StyleBourekoua, H., Djeghim, F., Ayad, R., Benabdelkader, A., Bouakkaz, A., Dziki, D., & Różyło, R. (2023). Development of Energy-Rich and Fiber-Rich Bars Based on Puffed and Non-Puffed Cereals. Processes, 11(3), 813. https://doi.org/10.3390/pr11030813

