Abstract
The purpose of this work is to develop two types of dietary supplements for celiac (energy-rich and fiber-rich bars) as well as to optimize the formulations of bars made from puffed and non-puffed cereals. To optimize the combination of components, a mixture design was created. Based on sensory evaluation, optimal bars were selected, which were then evaluated in terms of biochemical properties, color and antioxidant properties. The main results indicate that the combination of 37.5 g of cereals, 22.5 g of seeds, and 40 g of binder is optimal for the energy bars with non-puffed cereals, followed by 54.57 g of cereals, 10.43 g of seeds, and 35 g of a binder for fiber-rich bars with non-puffed cereals. In contrast, the optimal recipe for energy bars with puffed cereals consisted of 35.42 g of cereals, 20.07 g of seeds, and 44.51 g of binder, and for fiber-rich bars with puffed cereals, it consisted of 50 g of cereals, 15 g of seeds, and 35 g. The biochemical composition indicates that fiber-rich bars are also energetic, with more than 300 kcal/100 g. All bars are rich in antioxidants, with total polyphenol values exceeding 4.97 mg GAE/g d.w. Customers prefer the bars with puffed cereal the most.
1. Introduction
Celiac disease is a chronic inflammation of the small intestine caused by immune and genetic factors, which is accompanied by hypersensitivity to gluten. It is characterized by epithelial destruction of the small intestine, resulting in the celiac patient’s malabsorption, and causes symptoms such as diarrhea, indigestion, bloating, and weight loss [,,]. A lifelong gluten-free diet is the only treatment available for this disease [,].
However, gluten avoidance may result in nutritional deficiencies in celiac patients. Due to a lack of certain nutrients, celiac patients are at risk of developing other diseases. Gluten-free dieters frequently have iron and fiber deficiencies []. Fiber deficiency has been linked to malabsorption due to villi atrophy. Because gluten is found in carbohydrates, removing the source of gluten lowers the energy value of gluten-free foods. The outer layers of grains, which contain the majority of the fibers, are removed during refining processes, leaving only the starchy inner part. It is recommended that gluten-free diets be supplemented with foods that are naturally high in dietary fiber and calories [].
Recently, food consumption preferences have significantly changed. The demand for healthy, natural, and functional foods is growing at the same rate as fast food and snack consumption. For this reason, a gradual expansion of the cereal-bar market is observed. These products have quickly become popular snacks among consumers [,,,]. Cereal bars are a type of health food as they provide a good calorie supplement as well as sources of nutrients. The bars are usually packaged in small packages, are light and easy to transport, and can be eaten at any time of the day. They are popular and convenient products that would be an excellent food format for providing phenolic antioxidants and fiber from fruits and seeds. Each cereal bar has different characteristics and functions, which corresponds to the current trend of healthy and innovative food [,,].
However, the main ingredients used in the formulation of cereal bars are toxic to a certain category of people suffering from celiac disease. Furthermore, gluten-free products that are currently on the market are made from refined flour or starches and contain unknown ingredients. They do not contain the same amount of nutrients as products with gluten [,,]. For this population, who is gluten intolerant, there has not been much progress in developing wholesome gluten-free bars with high consumer value. Due to the addition of biologically valuable raw materials, these products’ formulations need to be improved []. The most difficult aspect of making a good cereal bar is combining cereals with other ingredients that have specific functionalities, such as vitamins, minerals, proteins, fibers, thickening agents, sweeteners, and flavorings, and transforming them into a product that complements each other in terms of flavor, texture, and appearance []. Therefore, to satisfy the rising demand for this kind of product, the industries must look for new formulations, diversify flavors and attributes, and add fiber, protein, and energy to cereal bars. Product properties and attributes, such as shape, color, appearance, flavor, and texture, must be optimized through new product development. The interaction of the components must also be optimized to achieve a complete balance that results in exceptional quality and taste. In this regard, the development of a cereal bar formulation presents itself as an emerging force in the market [,].
As a simple, less expensive, and rapid method of applying dry heat for the preparation of food and snack formulations, explosion puffing is a relatively well-known and widely used process. It has traditionally been used to extend storage life, improve organoleptic properties, and make it easier to incorporate into ready-to-eat foods; meanwhile, the materials form a porous structure [,].
There have been several studies on the formulation of nutrition bars rich in energy, protein, and fiber with various ingredients using a base of grains, seeds, or fruits with sweeteners or binding agents. However, no studies on the optimization of the formulation of gluten-free bars with puffed and non-puffed cereals have been conducted. Furthermore, it is critical to provide gluten-free cereal bars that meet celiac patients’ expectations by introducing combinations of new ingredients with high-nutrient ingredients such as millet, psyllium, chia, and date syrup. The aim of this research was to develop two types of cereal bars: energy-rich and fiber-rich gluten-free bars with sensory, physicochemical, and antioxidant properties as a new food with market value for celiac patients by optimizing their formulations from puffed and non-puffed cereals using a simplex centroid design.
2. Materials and Methods
2.1. Chemicals
The following chemicals were provided by Sigma-Aldrich, Steinheim, Germany: 1,1-Diphenyl-2-picrylhydrazyl (DPPH), 2,2′-azino-bis (3-ethylbenzothiazoline-6-sulfonic acid) (ABTS), ammonium molybdate, Folin–Ciocalteu reagent, ascorbic acid, gallic acid, quercetin, ferric chloride (FeCl3), potassium ferricyanide K3[Fe(CN)6], trichloroacetic acid (TCA). The solvents and all other standards used were of analytical grade.
2.2. Raw Materials
All ingredients in this study were purchased in Algeria. Quinoa (12.09% moisture, 13.00% protein, 6.50% fat) was provided by Earth Grains- Alger, Algeria. Raisins were purchased from Taste Food- Constantine, Algeria. Date syrup (20% moisture, 70.07% total sugar) from Alli-Lakhel- Biskra, Algeria. Millet (11.43% moisture, 12.5% protein, 4.8% fat, and 2.8% ash), almond, psyllium, chia seeds, and peanuts were purchased from a local market.
2.3. Preparation of Materials
Millet and quinoa seeds were cooked in boiling water for 15 min before drying for 1 h in a Maxel cabinet dryer, type MC 100, using hot air ventilation at 40 °C. As indicated by Kaur et al. [], heat treatment of grains improves their taste, texture, flavor, and color. After drying, cereals (millet and quinoa) used in the gluten-free bar formulations with non-puffed cereals were coarsely ground with a Bomann brand grinder set to high speeds (28,000 Rpm; 1300 W). Cereals (millet and quinoa) used in the formulation of gluten-free bars with puffed cereals were puffed instantly (about 10 s) in the presence of hot oil at 200–220 °C as indicated by Mishra et al. [].
Psyllium and chia seeds were grounded into powders. The powders were then mixed before being incorporated into the fiber-rich cereal bars. Almond seeds and raisins were diced into small pieces and mixed before being used in the formulation of energy-rich cereal bars.
Peanut butter was made from shelled peanut seeds that were heated in an oven at 160 °C for 20 min. This heat treatment is required before shelling to make the process easier and produce butter with desirable organoleptic properties []. The shelled seeds were then ground until natural butter was obtained using a high-speed Bomann grinder. The butter produced was kept at 4 °C and contained no additives.
2.4. Gluten-Free Cereal Bars Formulations
Two types of gluten-free cereal bars were investigated in this study: energy-rich cereal bars and fiber-rich cereal bars. The energy-rich cereal bars contained cereals (millet and quinoa), almond seeds, and raisins. As a binding agent, peanut butter was combined with date syrup. The fiber-rich cereal bars included cereals (millet and quinoa), psyllium and chia seeds, and date syrup as a binding agent. The hypothesis was based on the high-calorie content of peanut butter, raisins, and almonds, which are all considered high-energy ingredients. On the other hand, chia seeds are high in fiber, and psyllium is considered a dietary fiber [,,,,]. For each type of bar, cereals were used in puffed and non-puffed forms. Four types of products were developed in this study: gluten-free energy-rich bars with non-puffed cereals (ENPCB); gluten-free energy-rich bars with puffed cereals (EPCB); gluten-free fiber-rich bars with non-puffed cereals (FNPCB); and gluten-free fiber-rich bars with puffed cereals (FPCB).
2.5. Experimental Design
Four experimental designs (three simplex centroid mixture designs) were employed to analyze the effects on cereal bars attributes and to optimize the proportions of the three components: mixed cereals (X1), mixed seeds (X2), and binding agents (X3) used for the production of two types of cereal bars (energy-rich and fiber-rich) with puffed, and non-puffed cereals following the fundamental mixture constraint:
The results allowed for the calculation of the regression coefficients and each response was modeled as a function of coded factors as follows:
where Y represents the predicted response value; X1, X2, and X3 are independent factors (mixed cereals, mixed seeds, and binding agent, respectively); αi, represents the linear effect of each component, αij and αijk the interaction effects between them. Components’ maximum and minimum levels (mixed cereals, mixed seeds, and binding agents) were fixed according to preliminary trials and taking into consideration the constraints of centroid mixture design. For fiber-rich cereal bars (puffed and non-puffed cereals), the levels of mixed cereals ranged from 50 to 55 g; the mixed seeds from 10 to 15 g, and 35 g to 40 g of binding agents. For energy-rich bars (puffed and non-puffed cereals), the levels of mixed cereals ranged from 35 to 40 g; the mixed seeds from 20 to 25 g and 40 g to 45 g of binding agents (Table 1).
Table 1.
Mixture design of three main ingredients for each type of gluten-free cereal bars.
The responses Y were based on the sensory characteristics and the consumer acceptance of the gluten-free cereal bars, which are translated by taste (Y1), aroma (Y2), texture (Y3), appearance (Y4), and overall acceptability (Y5). To produce acceptable gluten-free cereal bars with desirable sensorial attributes, component proportions were optimized.
2.6. Preparation of Gluten-Free Cereal Bars
Gluten-free cereal bars were made using a cold process as described by Sharma [] with slight modifications. The preparation process consisted of mixing the three components (cereals; seeds and binder) according to the composition of each type of bar (energy-rich or fiber-rich), and according to the mixture design (Table 1). All the ingredients were manually combined in a container. The resulting bar mass was divided into pieces of 50 g each and stored in a mold. Storage was done at 4 °C for 15 min to ensure that the cereal bars remained stable before being analyzed.
2.7. Gluten-Free Cereal Bars Evaluation
2.7.1. Sensory Analysis
Cereal bars were evaluated for different sensory attributes. A consumer-based hedonic test was performed by 55 tasters (18–45 years old) on a nine-point hedonic scale (1: dislike, 5: neutral, 9: extremely like). The cereal bars were divided and coded using a random three-digit number and served to tasters with written instructions for evaluation in terms of taste, aroma, texture, appearance, and overall acceptability [].
2.7.2. Proximate Composition and Calorific Value
The moisture content of gluten-free cereal bars was evaluated by ICC 110/1 method []. The ash, fat, and protein contents were determined using the AOAC standard methods for dry matter: 942.05 method for ash and 960.52 method for protein content and 996.01 method for fat content []. The fiber content was measured by the Weende method [] using a raw fiber extractor.
By deducting the amounts of protein, fat, moisture, ash, and dietary fiber from 100% of the dry matter, the amount of carbohydrate was determined. According to Costantini et al. [], the calorific value (per 100 g of bars) was estimated using the following energy factors: 9 for fats, 4 for carbohydrate, and 4 for proteins.
2.7.3. Color Assessment
The color of the optimized cereal bars was determined according to the method described by Djeghim et al. [] using ColorGrab application (version 3.6.1, 2017, Loomatix Ltd., Munchen, Germany). A closed polystyrene box (39 × 17 × 28 cm) was used, integrated with a 1.2 W 5V white LED to achieve evenly diffused light on the top of the sample, to ensure color capture was unaffected by ambient light. The color space mode chosen was: CIE-L*a*b*, as the color space mode where: L* represents brightness, a* represents green −/red+, and b* represents blue −/yellow+. Color measurements were taken on the same cereal bar at five different locations.
2.7.4. Antioxidant Properties
Ultrasound-assisted extraction process: The extraction process was conducted as described by Ayad et al. []. One gram of each powdered cereal bar was mixed with 10 mL of ethanol in screw-cap tubes and sonicated at 40 °C for 1 h using ultrasonic cleaning bath equipment (ultrasons-H, 50/60 Hz, 720W, Ctra. Nll Km: 585.1 Abrera (Barcelona) Spain). Following extraction and cooling, samples were filtered through Whatman No.1 paper and subjected to various analyses.
Total phenolic content (TPC) determination: TPC was estimated using the Folin–Ciocalteu reaction, as described by Singleton and Rossi [] with minor modifications. In brief, 0.30 mL of extract and 1.20 mL of Folin–Ciocalteu reagent were combined (diluted 1:10). After 5 min, 1.50 mL of a 7.50% Na2CO3 solution was added to the mixture, which was then incubated in the dark for 2 h at room temperature. A UV/Visible spectrophotometer was used to measure the absorbance at 765 nm. The TPC was calculated by extrapolating the calibration curve, which was created by preparing a gallic acid solution (0–200 µg/mL). The experiment was repeated three times, and the results were reported in milligrams of gallic acid equivalents per gram of dry weight (GAE mg/g d.w).
Total flavonoid content determination: The total flavonoid content (TFC) of powdered cereal bars extract was determined by Djeridane et al. []. Briefly, one milliliter of a 2% AlCl3 solution was mixed with one milliliter of extract. The absorbance of the mixture was measured at 430 nm after 10 min. The total flavonoid content was expressed in milligrams of quercetin equivalents (mg QE/g d.w). The experiment was carried out three times.
Antioxidant activity: The total antioxidant capacity of the extract was determined using the phosphomolybdate method described by Prieto et al. []. A DPPH assay was performed according to Ismail et al. []. The radical scavenging activity of ABTS was determined Re et al. [], and the reducing power (RED) was determined using Oyaizu [].
2.8. Statistical Analysis
The results presented in this work are expressed as the standard deviation of the mean of three repetitions unless otherwise stated. Minitab 19 was used to perform statistical analysis and contour plots on the mixture design (Minitab Inc., State College, PA, USA). By the estimation of the coefficients of determination R2, the validity of the experimental design models was determined by calculating the ratio of the sum of the squares of the calculated responses to the sum of the squares of the measured responses. Optimization by desirability function approach was also, performed with Minitab Release 19 (Minitab Inc., State College, PA, USA) The means were compared using the STATISTICA software version 10′s, one-way ANOVA analysis of variance, followed by the Post hoc-Fisher LSD test (Stat soft, France). At a significance level of α = 0.05, the letters a, b, c, d, and so on represent the various groups.
3. Results and Discussion
3.1. Mixture Design Analysis and Model Fitting
All the models studied in this work (Table 2 and Table 3) had acceptable coefficients of determination and predicted R-squared values. According to Cornell [], the best model for experimental designs has a high predicted R-squared value (R2-pred). The observed R2 values demonstrate that the model can explain total variations in the responses (taste, aroma, texture, appearance, and overall acceptability). R2- pred of ENPCB ranged from 72.64% for appearance to 86.67% for texture (Table 2). Variations of R2-pred in EPCB ranged from 90.53% for the aroma to 96.88% for appearance. Variations of R2-pred in FNPCB responses ranged from 83.60% for taste to 99.64% for appearance, while variations of R2-pred in FPCB ranged from 68.44% for appearance to 99.66% for aroma (Table 3). This meant that the chosen model was adequate and representative of the system, and it also confirmed the existing correlation between the chosen response and factors. In this design, only linear effects were significant and fitted.
Table 2.
Regression equation for the energy cereal bars responses with predicted R-square values.
Table 3.
Regression equation for the fiber-rich cereal bars responses with predicted R-square values.
Table 2 presents the regression equations, which translates the dependence of the response to the components of the mixture. According to the results, only the linear effects of the three components were significant (p < 0.05) for energy-rich cereal bars. Two-way interaction of cereals × seeds, cereals × binder and seeds× binder showed non-significant effects (p > 0.05) on all studied attributes for each type of energy-rich cereal bars. As reported by Bourekoua et al. [], a significant and positive sign for a factor indicates that a high concentration of this variable is nearly optimal, while a negative sign for a factor indicates that a low concentration of this variable is nearly optimal. According to Table 2, all the sensorial parameters are significantly (p < 0.05) and negatively influenced through the cereals and the seeds separately (linear terms) for ENPCB, indicating that the presence of these components in small quantities in the formula are expected to increase sensorial parameters and consumers acceptance of cereal bars. For bars with puffed cereals, the cereals generate a main negative effect on all parameters, while seeds generate a linear positive effect on all responses. The binder generates different effects (negative and positive) depending on the types of bars.
As shown in Table 3, for fiber-rich cereal bars, cereals generate the main effect (significant and positive) on taste and overall acceptability, indicating that the presence of cereals at high concentration in the formula can improve taste and overall scores of FNPCB, while significant and positive effects of cereals are shown on all attributes of fiber-rich bars with puffed cereals. Binder generates a negative effect on the aroma of FNPCB and the aroma and appearance of FPCB indicating that the presence of binding agents in small amounts can improve the aroma and appearance of fiber-rich cereal bars. The presence of seeds in high quantities can improve scores of all attributes for fiber-rich bars with puffed cereals (significant and positive main effect), while significant effects with different signs (positive and negative) are shown for seeds on fiber-rich bars with non-puffed cereals. Binder generates different effects for fiber-rich cereal bars. Two-way interaction (seeds and binder) and (cereals and seeds) and (seeds and binder) have non-significant effects (p > 0.05) on all attributes for the two types of fiber-rich cereal bars.
3.2. Effect of the Mixture’s Components on the Sensorial Parameters and Consumer’s Acceptance
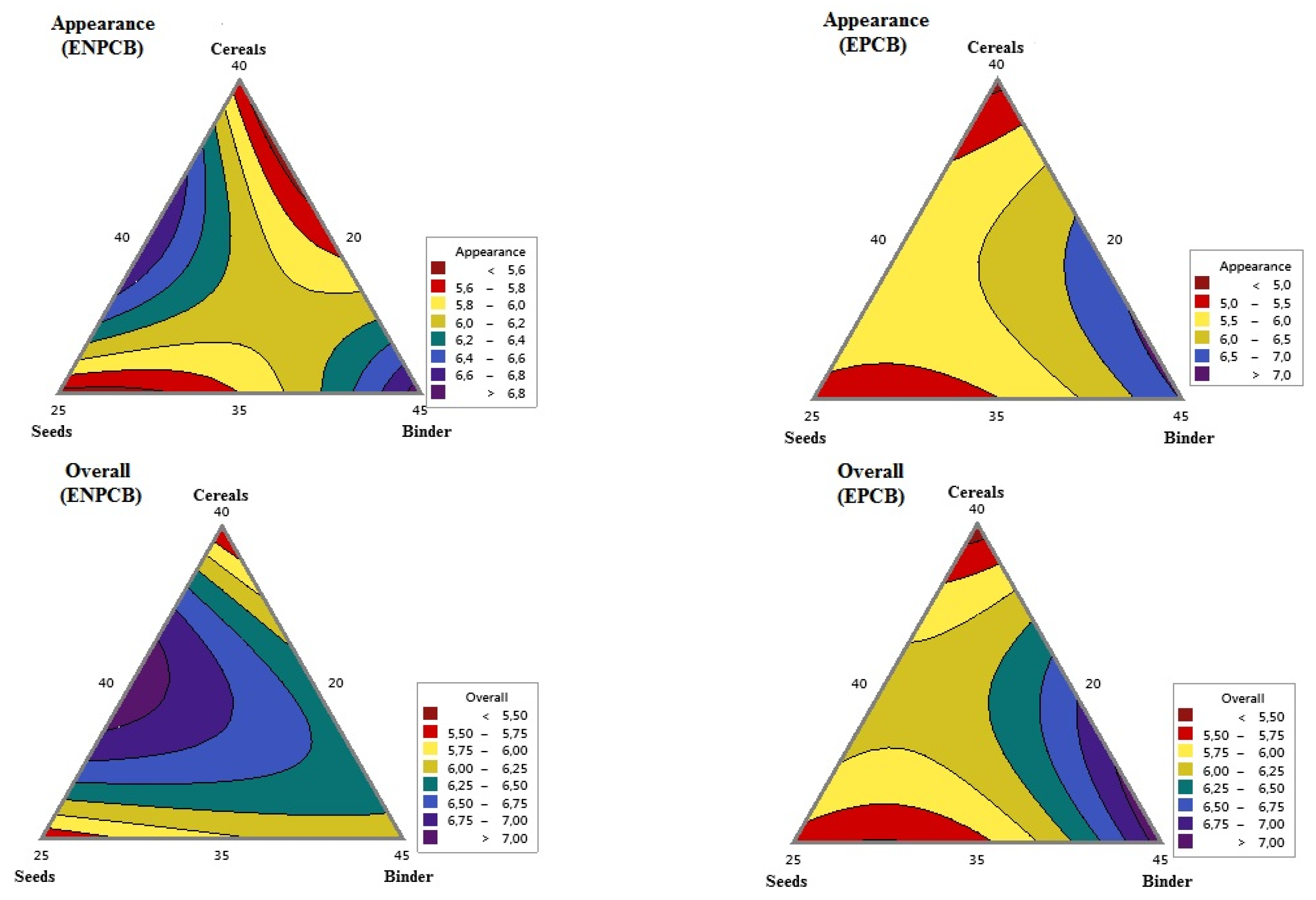
The results of the mixture design for each type of gluten-free cereal bars are shown in Table 4 and Table 5 for energy-rich and fiber-rich cereal bars, respectively. Contour plots of each sensorial parameter for energy-rich and fiber-rich cereal bars are presented in Figure 1 and Figure 2.
Table 4.
Sensory properties of energy-rich cereal bars with puffed and non-puffed cereals based on mixture design.
Table 5.
Sensory properties of fiber-rich cereal bars with puffed and non-puffed cereals based on mixture design.

Figure 1.
Contour plots for predicted sensorial attributes for gluten-free energy-rich cereal bars.

Figure 2.
Contour plots for predicted sensorial attributes for gluten-free fiber-rich cereal bars (FNPCB: Fiber-rich Non-Puffed Cereal Bars; FPCB: Fiber-rich Puffed Cereal Bars).
3.2.1. Energy-Rich Gluten-Free Cereal Bars
According to Table 4, the energy-rich gluten-free cereal bars showed sensory rating scores in the range from dislike to extremely like.
The highest ENPCB scores (p < 0.05) were found in the presence of the three components, corresponding to F7 producing bars with the best sensory characteristics, with an average score of 7.1 for taste and 7.3 for overall acceptability, followed by F6 producing bars (Table 4 results).
For EPCB, the tasters prefer gluten-free bars made from F1 components followed by F4 components. The lowest scores (p < 0.05) were obtained in F5 for both energy bars with puffed and non-puffed cereals, with an average of 5.4 for taste, 5.1 for texture, and 5.5 for overall acceptability for ENPCB and an average of 5.5 for taste, 5 for texture, 4.8 for appearance, and 5.3 for overall liking. The disparities in taster ratings results from each taster’s personal preferences for the product under consideration.
For energy non-puffed cereal bars (ENPCB), the contour plots showed an increasing trend for all attribute scores (taste, aroma, texture, appearance, and overall acceptability) for the entire surface until the lower binder content. The lower values of sensorial scores were found in the region of higher cereals content (Figure 1).
Concerning energy puffed cereal bars (EPCB), for taste, aroma, appearance, and overall acceptability, an optimal zone was observed at around 20 g of seeds (minimum quantity of seeds) and the maximum amount of binder. For the texture, a large optimal zone was noted, with the highest score values, in the center and increasing in the amount of binder until the maximum. The lowest scores for sensory attributes were located in the region with the maximum amount of cereals and seeds (Figure 1).
Many studies have pointed in the same direction as this study. Samakradhamrongthai et al. [] indicated that the highest scores for high-energy cereal bars were observed for formulations with a low content of cereals and a high content of sweeteners. As suggested by Srebernich et al. [] and Kaur et al. [], manufacturing cereal bars using various cereals and seeds including, puffed rice, quinoa, flaxseed and almond can provide a distinctive sensorial attribute with a high preference by consumers. Consumers prefer and value bars made with polysaccharide sugary materials [].
3.2.2. Fiber-Rich Gluten-Free Cereal Bars
The sensory rating scores for the high-fiber gluten-free cereal bars (Table 5) ranged from dislike to extremely like. Table 5′s findings show that the presence of the three components produced the highest scores for FNPCB, which correspond to F3 producing bars with the best sensory characteristics, with an average score of 7 for taste, 6.4 for texture, 6.6 for appearance, and 6.4 for overall acceptability. The lowest scores (p < 0.05) were found for F1 with an average score of 4.5 for taste, 4.4 for texture, 5 for appearance, and 4.5 for overall bar acceptability. For FPCB, tasters liked the texture and appearance of the gluten-free bars made by the component of F1, with an average score of 6.4 for texture and 6.2 for appearance. The lowest scores (p < 0.05) were obtained for F4 and F7 with an average score of 4.9 for taste.
Regarding fiber-rich non-puffed cereal bars (FNPCB), for taste and aroma, an optimal zone was observed at the level of the central region, with the best scores attributed by tasters, moving towards higher levels in cereals content and lower levels in seeds. The optimum range for texture, appearance, and overall acceptability was noted at around 35 g binder (lower binder levels) through the maximum cereal mixture levels for acceptability and appearance. The region with the lowest levels of cereals had the lowest values of taster scores for all sensory attributes studied (Figure 2).
Regarding fiber-rich puffed cereal bars (FPCB), the best taste and aroma scores for fiber-rich bars were found in the area with the highest seed levels. An optimal zone for each parameter was observed on the side with the minimum amount of cereals for texture, appearance, and overall acceptability (Figure 2). The lowest notesweare found in the central region and rise to low binder levels.
The different components of each formula have different effects on the sensory parameters of the fiber-rich bars. The form of the cereals used (puffed or non-puffed), the nature of the bonds between the different ingredients, and the presence of psyllium grains with a typical taste are all factors that influence consumer preference.
3.3. Optimization
A multi-criteria optimization analysis using the desirability function was used to maximize the sensory attributes for each type of bar, with determination of the desirability indices di for each response (di = 0 least desirable; di = 1 most desirable). If the desirability indices are close to 1, the response parameter is optimum. Indeed, by considering all sensory attributes, the optimal mixture obtained by the desirability function that allowed for better sensory characteristics in cereal bars is as follows: 37.5 g of cereals, 22.5 g of seeds, and 40 g of binder for energy non-puffed cereal bars with a desirability value of D = 0.91. A quantity of 35.42 g of cereals, 20.07 g of seeds, and 44.51 g of binder for energy puffed cereal bars with a desirability value of D = 0.84. 54.57 g of cereals, 10.43 g of seeds, and 35 g of binder for fiber-rich non-puffed cereal bars with a desirability value of D = 0.83. 50 g of cereals, 15 g of seeds, and 35 g of binder for fiber-rich puffed cereal bars with a desirability value of D = 0.76.
3.4. Characteristics of Optimal Gluten-Free Cereal Bars
In addition to sensory characteristics, the four cereal bars manufactured according to the optimal formulation for each type of bar were distinguished by their chemical composition and calorific value, color, and antioxidant properties.
3.4.1. Chemical Composition and Calorific Value
The chemical composition of the cereal bars including, moisture, protein, fat, ash, dietary fiber, and carbohydrate of each type of gluten-free cereal bars is presented in Table 6. Calorific values are also calculated.
Table 6.
Chemical composition and calorific value of gluten-free cereal bars.
Moisture Content
The results of moisture showed significant differences (p < 0.05) between all cereal bars (Table 6). The highest values were noted for FNPCB with a moisture of 8.83 ± 0.31%, This result is very close to the value obtained by Kaur et al. [] with 8.53% from cereal bars made with quinoa, flaxseed and fruits, and comparable to the results found by Souza et al. [] with the moisture content of 7.19–8.24% from cereal bars with pseudo-cereals. FPCB showed a value of moisture of 6.11 ± 0.72% following by 3.76 ± 0.82% for ENPCB. The energy-rich bars with puffed cereals presented the lowest moisture with a value of 1.83 ± 0.23%. In comparison to the energy bars, the fiber-rich bars have the highest moisture content. The presence of fiber-rich bars containing psyllium and chia seeds, which have high absorption rates, could explain the findings [,].
Energy-rich bars with puffed cereals present low moisture content (p < 0.05) compared to energy-rich bars with non-puffed cereals, likewise, fiber-rich bars with puffed cereals show low moisture content (p < 0.05) compared to fiber-rich bars with non-puffed cereals. According to Huang et al. [], the puffing process of various grains (millet, barley, rice, wheat) causes a decrease in the moisture content of the puffed grains due to the high temperatures during the explosion, allows water to escape from grains. All gluten-free cereal bars, in general, have low moisture content compared to results of Agbaje et al. [], with the moisture content of 11.35–18.73% from cereal bars with glutinous rice, syrup, fruits and black cumin seeds. This parameter is an indicator of the condition of cereal bars and is crucial in determining product shelf life. The lower moisture content prevents microbial growth and is essential in preservation and marketing. Inadequate moisture control can result in non-conforming products and waste on production lines [,].
Protein Content
The table results show a significant difference (p < 0.05) between the four types of gluten-free cereal bars. Energy-rich cereal bars have the highest protein values, with 16.13 ± 0.01% for non-puffed cereal energy bars and 15.33 ± 0.00% for puffed cereal energy-rich bars. There is no statistically significant difference between the two fiber-rich gluten-free bars, with 8.81 ± 0.00% for bars with non-puffed cereals and 8.16 ± 0.02% for bars with puffed cereals. The protein content in energy-rich bars in this study, are higher compared to those reported by Kaur et al. [] for gluten-free cereal bars made from quinoa. This is related to the composition of cereal bars in peanut butter and almonds. The peanut butter content of energy-rich cereal bars may explain their high protein content. According to Bettane and Khadraoui [], the protein content of peanut butter is 26%. Almonds contain 21.1% of protein, according to []. Fiber-rich bars have a lower protein content than energy-rich bars due to their composition; psyllium and syrup date are known for their low protein content (1% for psyllium and 2% for date syrup) [,].
Despite having high protein levels, energy-rich bars are not considered protein bars because of the high content of fat. According to Degaspari et al. [] and Sharma et al. [], cereal bars with approximately 17 g of protein and low-fat content are considered as protein bars. Although there was no significant effect of explosion puffing on the total protein content of fiber-rich bars, there was a significant decrease in the protein content of energy bars. Other authors Huang et al. [] reported that the puffing process had no effect on millet protein content, but it did result in a significant decrease in protein solubility.
Fat Content
The results of the fat content of gluten-free cereal bars (Table 6) showed non-significant differences (p > 0.05) between the two types of energy-rich bars (with puffed and non-puffed cereals) and present the highest fat content compared to fiber-rich cereal bars (6.90 ± 0.02% for energy-rich bars with puffed cereals and 6.08 ± 0.02% for energy-rich bars with non-puffed cereal). These contents are related to the composition of cereal bars with peanut butter and almonds. As reported by Bettane et al. [] and Benallouache et al. [], peanut butter contains 48.4% of fat and almonds have a fat content of 53.4%. Fiber-rich cereal bars present the lowest fat content with 1.2 ± 0.01% for FNPCB and 0.8 ± 0.0% for FPCB. The fiber-rich bars’ low-fat content is linked to their low-fat ingredient composition (millet with 4.1% and psyllium with 1% lipids) [,]. These results are inferior to those obtained by Shaheen et al. [] who reported 2.16–8.07% fat content of date-based fiber enriched fruit bar. Fiber-rich bars with puffed cereals show low fat content compared to those with non-puffed cereals. As reported by Huang et al. [], the puffing process of millet and other cereals decreased significantly the fat content of grains. Kaur and Singh [] attributed the reduction in fat content to the formation of amylose-fat complexes and the subsequent decomposition into fatty acids and monoglycerides after the heat treatment of puffing.
González et al. [] reported that nutritional deficiencies in celiac patients may be due to gluten-free products available on the market. To achieve a viscoelastic gluten-like texture, these products are made with highly refined flours and additional fat and sugar. To improve presentation and palatability, gluten-free products are typically high in fat. Gluten-free cereal bars high in fiber and low in lipids could be an excellent choice for improving celiac patients’ nutritional status.
Fiber Content
The results of the fiber content of different cereal bars are presented in Table 6. The fiber composition of the gluten-free bars differs significantly (p < 0.05). The gluten-free bars with the highest fiber values have 9.63 ± 0.04% for FPCB following by 8.56 ± 0.05% for FNPCB. The fiber content of energy bars with non-puffed cereals is 2.95 ± 0.12%, while energy bars with puffed cereals has the lowest fiber content with 1.60 ± 0.02%. Fiber content of fiber-rich cereal bars in this study are consistent with those obtained by Silva de Paula et al. [] with 8.4% of fiber from cereal bars enriched with dietary fiber by addition of 10% of linseed flour to the formula. The presence of psyllium, which is considered a dietary fiber with 80.15% of total fiber, and thus the composition of cereal bars in chia seeds which is rich in fiber, is strongly linked to the fiber content of bars considered high in fiber [,]. According to the European Parliament and the Council Regulation (2006, No. 1924/2006), if 100 g of a product contain at least 3 g of fiber, the product is considered a source of fiber, and if 100 g of a product contain at least 6 g of fiber, it is considered to be rich in fiber []. Based on the results of this study, only cereal bars (FNPCB and FPCB) are considered rich in fiber as already proposed in our starting hypothesis for this work.
Several studies have found that the gluten-free diet contains less dietary fiber than the gluten-containing diet. Based on data from surveys of German CD patients. Vici et al. [] found that fiber content in male CD patients was significantly lower than in all patients. Mariani et al. [] discovered that adolescents with CD consume less fiber than healthy adolescents. As a result, it is critical to select and develop foods, such as cereal bars that are enriched with dietary fiber, to correct deficiencies and restore nutrient supply. Furthermore, non-celiac consumers may benefit from fiber-rich cereal bars because high-fiber foods have a number of human health benefits, including a lower risk of coronary heart disease, diabetes, obesity, and certain types of cancer [].
Puffing affected differentially the fiber content of cereal bars. For energy bars with puffed cereals, fiber content had decreased, while an increase in fiber content is observed for FPCB. Patel et al. [] reported that fiber content of puffed kodo millets has decreased after puffing process. As indicated by Mishra et al. [], puffing process improves the digestibility of starch as it involves gelatinization of starch and degradation of dietary fibers. The puffing process can be affected by factors such as puffing method and endosperm type.
Ash Content
The values of ash content of gluten-free cereal bars are shown in Table 6. According to the finding, there is no difference (p > 0.05) between the two types of bars with non-puffed cereals, with 2.05 ± 0.008% for fiber bars and 2.02 ± 0.00% for energy bars. These findings present the highest values (p < 0.05) of ash content compared to bars with puffed cereals (1.80 ± 0.00% for EPCB and 1.25 ± 0.01% for FPCB). This difference is probably linked to the puffing process, which causes mineral matter loss. These results are in conformity with those found by Mendes et al. [] and Kaur et al. [] for gluten-free cereal bars. Bars with puffed cereals show the lowest ash contents compared to bars with non-puffed cereals. As indicated by Delost-Lewis et al. [], ash content of millet was decreased under different puffing conditions. The puffing process causes a loss of ash content of grains.
Carbohydrates
The findings regarding carbohydrates of different gluten-free cereal bars (Table 6) show high content of carbohydrates for all cereal bars with 74.05% for FPCB followed by 72.54% for EPCB and 70.55% for FNPCB followed by 69.06% for ENPCB. These results conform with the study of Souza et al. [] for gluten-free cereal bars made with pseudo-cereal cultivars (68.33–71.57%), and the study of Samakradhamrongthai et al. [], for bars made with mixed cereals, mixed fruits and sweeteners with a maximum carbohydrate value of 64.26 g/100 g. Freitas and Moretti [] also indicated a high carbohydrate content of cereal bars made with puffed rice and fruits. In addition, the composition of cereal bars in syrup with high content of sugars as a binding agent can contribute to the high content of carbohydrates [,,]. Gluten-free bars with puffed cereals present the highest carbohydrates, comparing to those with non-puffed cereals (p < 0.05). As reported by Patel et al. [] and Schlinkert et al. [], the puffing process causes an increase in carbohydrates content of cereal grains.
Calorific Value
The results of calorific values of optimal gluten-free cereal bars are presented in Table 6. According to the results, all cereal bars are considered rich in energy with high-calorie contents (413.59 kcal/100 g for energy bars with puffed cereals followed by 395.48 kcal/100 g) for energy bars with non-puffed cereals. The calorific value of energy cereal bars in this study was higher than the value found by Carvalho [] with 337.37 kcal/100 g from the bar made with Baru pulp and almond. The fiber bars with puffed cereals have 336.02 kcal/100 g and the fiber bars with non-puffed cereals have the lowest calorific value with 328.22 kcal/100 g. Energy bars present the highest values of calories because of the composition of energy bars by peanut butter (588 kcal/100 g), raisins, and almonds as indicated by Bettane andKhadraoui []. The gluten-free bars studied as fiber-rich bars are also sources of energy because of their compositions in syrup date. According to Sharma et al. [], cereal bars with a minimum of 200 kcal/100 g are considered as energy-rich bars. Other authors [] investigated linseed-enriched fibrous cereal bars and discovered that manufactured fibrous bars are also energy-rich, with energy values greater than 300 kcal/100 g. This is consistent with the findings of this study. Bars with puffed cereals present the highest calorific values. These results are comparable with those found by Samakradhamrongthai et al. [] from cereal bars with high calorific values composed of puffed rice.
Macronutrient and energy intake are generally insufficient for celiac patients, not only at diagnosis, but also while on a gluten-free diet. This could be related to the emphasis on gluten avoidance, which frequently overlooks nutritional quality. Furthermore, the dietary-therapeutic approach should encourage the use of gluten-free products that are naturally high in energy and have high nutritional quality []. Cereal bars are becoming increasingly popular as they have been better characterized as a good source of energy and fiber.
3.4.2. Color of the Optimal Gluten-Free Cereal Bars
The results of color parameters of gluten-free energy bars and gluten-free fiber-rich bars are shown in Table 7. All the color values showed significant differences among cereal bars (p < 0.05), according to Table 7. The L* parameter represents the lightness, and it presents low values for all cereal bars (36.9 for FNPCB, 31.0 for EPCB, 29.1 for ENPCB and 30.1 for FPCB) due to the dark brown color of the date syrup used as the binding agent. The darkest color is found for fiber bars made with non-puffed cereals. This is strongly linked to the presence of dark-colored psyllium and chia seeds. All the bars for the parameter a* are significantly different (p < 0.05), but relatively close with a color trending toward green. This is most likely due to the presence of green-colored millet. The fiber bars have the highest value in parameter b* (10.4), compared to 4.3 for the energy bars with non-puffed cereals.
Table 7.
Color parameters of gluten-free cereal bars.
3.4.3. Antioxidant Properties of the Optimal Gluten-Free Cereal Bars
The results of TPC, TFC, and antioxidant activities of gluten-free energy bars and gluten-free fiber-rich bars are shown in Table 8. Overall, as can be seen from the above findings (Table 8), the highest (p < 0.05) TPC and TFC as well as antioxidant activities were found in gluten-free fiber-rich bars, while the lowest was reported in gluten-free energy bars. The TPC and TFC levels ranged from 4.97 ± 0.015 to 7.86 ± 0.024 mg GAE/g d.w, and from 0.34 ± 0.004 to 0.72 ± 0.004 mg QE/g d.w, respectively for cereal bars. The high content of phenolic compounds in cereal bars may be explained by their enrichment with functional ingredients. Chia seeds and Psyllium are used in gluten-free fiber-rich bars, while almond, raisin, and date syrups are used in gluten-free energy bars. According to recent research, the dual nutritional properties and health benefits of those ingredients in gluten-free products are associated with their high levels of antioxidant phytochemicals, the most abundant of which are polyphenols and flavonoids [,,,]. Food polyphenols have sparked the most public interest in the development of polyphenols due to their high presence in a variety of foods, including vegetables, fruits, seeds, and beverages. They do not typically provide energy to the human body, but they do provide numerous health benefits through biological activities such as antioxidants and anti-inflammation [].
Table 8.
Total phenolic content (TPC), total flavonoid content (TFC), and antioxidant activities of different gluten-free bars.
To determine the antioxidant properties of various gluten-free bars in this study, four chemical tests were used: the phosphomolybdenum method (TAC), the DPPH method, the ABTS method, and the ferric-reducing antioxidant power (FRAP). All gluten-free bars had high antioxidant activity, according to the assay methods. The TAC of the different bars tested was within the range of 2.65 ± 0.04 and 4.58 ± 0.012 mg AAE/ g d.w, which ranked as the highest capacity and was attributed to FNPCB. Besides, this fiber-rich bar was also found to be more effective in DPPH (EC50 = 7.36 ± 0.102 mg d.w/mL) and ABTS (EC50 = 2.86 ± 0.057 mg d.w/mL) scavenging activities compared to other bars. According to the listed data in Table 8 gluten-free fiber-rich bars had the highest ferric-reducing power capacities (A0.5 = 7.71 ± 0.4711 mg d.w/mL for FPCB and A0.5 = 13.38 ± 0.43 mg d.w/mL for FNPCB), comparable to that reported for the gluten-free energy bars. Interestingly, previous research has shown that Psyllium’s functional properties, combined with its gel-forming ability, make it a promising ingredient for use in food products. It is worth noting that psyllium’s ability to bind with water is advantageous in the production of gluten-free products, as is the fact that it can be easily added to food formulations without changing the product’s flavor perception [,]. Psyllium has medicinal properties because it contains polysaccharides, ash, protein, fat, and flavonoid, which can help with a variety of diseases such as cholesterol reduction, constipation prevention, cancer cell improvement, and obesity reduction. Psyllium is a polysaccharide with both soluble and insoluble fiber properties, and both soluble and insoluble fibers are more beneficial to humans []. Further research studies, on the other hand, revealed that incorporating chia seeds into food products, particularly the development of gluten-free products, can be beneficial to people suffering from celiac disease [,,]. Psyllium and Chia seeds contain a high amount of dietary fiber and antioxidants derived from phenolic compounds. It has been discovered that high soluble fiber content in foods can contribute to a lower risk of developing various chronic diseases, such as metabolic diseases (obesity, diabetes, and dyslipidemia) [,]. In the same vein, almonds, when incorporated into the diet, have been reported to reduce colon cancer risk in rats and increase HDL cholesterol while reducing LDL cholesterol levels in humans [,,]. Furthermore, numerous studies have revealed the powerful free radical scavenging abilities of almonds, raisins, and date products such as date syrup. Date syrup is a high-energy food rich in carbohydrates and a good source of minerals, but it also contains a very complex mixture of other saccharides, amino and organic acids, polyphenols, and carotenoids with significant antioxidant potential [,,,].
Puffing had varying effects on the TPC and TFC and antioxidant activities in various cereal bars. Because antioxidants are heat-sensitive substances, heat treatment can reduce polyphenol antioxidant activity. However, phenolic compound content does not always translate into antioxidant activity. Whole foods, such as bars, are thought to have complicated matrices, which leads to a variety of results that are difficult to explain [].
3.4.4. Sensorial Characteristics of the Optimal Gluten-Free Cereal Bars
Hedonic tests were used to assess the level of appreciation for gluten-free cereal bars. A variable number of intermediate categories are used, with scales ranging from “very much like” to “neutral” to “dislike” The tasters select the category that corresponds to their level of appreciation for each sample. The Table 9 depicts the results of the hedonic test of optimums gluten-free cereal bars.
Table 9.
Sensorial characteristics of optimums gluten-free cereal bars.
The ANOVA on the ratings of the selected sensory attributes (taste, aroma, color, texture, appearance, and overall acceptability) confirms the significant difference (p < 0.05) between the various gluten-free cereal bars and validates the ranking results. In general, all gluten-free bars, and according to tasters, are acceptable in terms of taste. Energy bars with puffed cereals are rated the highest across all sensory attributes, with an average score of 7.92 for taste, 7.75 for aroma, 7.25 for texture, and 7.85 for overall acceptability, followed by energy bars with non-puffed cereals, which have an average score of 7.23 for taste, 7.26 for aroma, 6.46 for texture, and 7.05 for overall acceptability. The fiber bars with non-puffed cereals are the least liked by tasters, with an average taste score of 5.12, aroma score of 5.15, texture score of 5.64, and overall acceptability score of 5.73. Fiber bars with puffed cereals are accepted by tasters with an average acceptability score of 6.31 but remain less appreciated compared to energy bars. Indeed, increasing the fiber content of cereal foods has negative effects on the organoleptic level []. The disparity in taster scores is most likely due to the subjects’ preferences for the sweet taste produced by peanut butter, almond seeds, and raisins. The crispiness produced by puffed cereals can influence taster preferences, for that, energy puffed cereal bars are the most popular among tasters.
As reported by Mishra et al. [] and Subramani et al. []. Puffing is a simple processing method that improves the textural and sensory qualities of cereals while causing minimal changes in the nutrient composition of the processed product.
Physical, structural, and chemical changes occur in the grains during the puffing process. Grain puffing causes starch gelatinization, volume gain, and textural changes. Furthermore, puffing produces volatile compounds and pleasant flavors while increasing carbohydrate and protein digestibility and technical functioning
Puffing has an impact on the product’s acceptable taste and aroma. Puffed grains can be used in snack foods such as cereal bars as a ready-to-eat pre-cooked material. Consumer demand is increasing for puffed food due to various health benefits, such as weight loss. One of the most crucial qualities of cereal bars is texture, and puffing produces an ideal aerated, porous, and crispy texture [,].
4. Conclusions
Energy-rich bars (ERB) and fiber-rich bars (FRB) with puffed and non-puffed cereals were developed using combinations of mixed cereals, seeds and binding agents. It was found that ERB contained more protein and total fat than FRB, whereas FRB are a richer source of fiber than ERB. Moreover, ERB have the highest calorific values (395 kcal/100 g and 414 kcal/100 g for non-puffed and puffed bars, respectively). FRB are also a source of valuable calories (about 330 kcal/100 g). The calorific value of FRB is maintained and contributed to a healthy diet as a result of the psyllium and chia seeds addition. The antioxidant properties of the gluten-free bars indicated that both ERB and FRB are high in antioxidants, with the FRB having higher phenolics content and antioxidant capacity than ERB. Sensory analysis revealed that puffed energy bars were the most preferred by consumers. Fiber bars made from non-puffed cereals came in last place. Considering all the parameters investigated, especially FRB bars with puffed cereals present a sensory-appreciated food with nutritional benefits for the celiac consumer’s health.
Author Contributions
Conceptualization, H.B.; methodology, H.B., A.B. (Ayoub Benabdelkader) and A.B. (Abdelbasset Bouakkaz); software, F.D.; validation, H.B., F.D. and A.B. (Abdelbasset Bouakkaz).; formal analysis, R.A.; resources, H.B. and R.A.; writing—original draft preparation, H.B.; writing—review and editing, R.R. and D.D.; visualization, R.R. and D.D. All authors have read and agreed to the published version of the manuscript.
Funding
This research received no external funding.
Data Availability Statement
The data presented in this study are available on request from the corresponding author.
Conflicts of Interest
The authors declare no conflict of interest.
References
- Aggarwal, S.; Lebwohl, B.; Green, P.H. Screening for celiac disease in average-risk and high-risk populations. TAG 2012, 5, 37–47. [Google Scholar] [CrossRef] [PubMed]
- Miaja, M.F.; Martín, J.J.D.; Treviño, S.J.; González, M.S.; García, C.B. Study of adherence to the gluten-free diet in coeliac patients. An. Pediatr. 2021, 94, 377–384. [Google Scholar] [CrossRef]
- Jalilian, M.; Jalali, R. Prevalence of celiac disease in children with type 1 diabetes: A review. Diabetes Metab. Syndr. Clin. Res. Rev. 2021, 15, 969–974. [Google Scholar] [CrossRef]
- Itzlinger, A.; Branchi, F.; Elli, L.; Schumann, M. Gluten-free diet in celiac disease—Forever and for all? Nutrients 2018, 10, 1796. [Google Scholar] [CrossRef] [PubMed]
- Skendi, A.; Papageorgiou, M. Introduction in wheat and breadmaking. Trends Wheat Bread Mak. 2021, 1–27. [Google Scholar] [CrossRef]
- Aljada, B.; Zohni, A.; El-Matary, W. The gluten-free diet for celiac disease and beyond. Nutrients 2021, 13, 3993. [Google Scholar] [CrossRef] [PubMed]
- Gobbetti, M.; Pontonio, E.; Filannino, P.; Rizzello, C.G.; De Angelis, M.; Di Cagno, R. How to improve the gluten-free diet: The state of the art from a food science perspective. Food Res. Int. 2018, 110, 22–32. [Google Scholar] [CrossRef]
- de Carvalho, M.G.; da Costa, J.M.C.; Passos Rodrigues, M.d.C.; de Sousa, P.H.M.; Clemente, E. Formulation and sensory acceptance of cereal-bars made with almonds of chichá, sapucaia and gurguéia nuts. TOFSJ 2011, 5, 26–30. [Google Scholar] [CrossRef]
- Kaur, R.; Ahluwalia, P.; Sachdev, P.A.; Kaur, A. Development of gluten-free cereal bar for gluten intolerant population by using quinoa as major ingredient. JFST 2018, 55, 3584–3591. [Google Scholar] [CrossRef]
- Aleksandrova, A.; Mykolenko, S.; Tymchak, D.; Aliieva, O. Effect of Pop Sorghum on the Quality of Glutenfree Cereal Bars. Sci. Rise 2021, 6, 3–10. [Google Scholar] [CrossRef]
- Ojha, P.; Adhikari, A.; Manandhar, U.; Maharjan, S.; Maharjan, S. Utilization of Buckwheat, Proso Millet, And Amaranth For A Gluten-Free Cereal Bar. IFSTJ 2022, 5, 57–62. [Google Scholar] [CrossRef]
- Agbaje, R.; Hassan, C.; Norlelawati, A.; Rahman, A.; Huda-Faujan, N. Development and physico-chemical analysis of granola formulated with puffed glutinous rice and selected dried Sunnah foods. Int. Food Res. J. 2016, 23, 498–506. [Google Scholar]
- Costa, I.M.; da Silva, S.S.V.; Silva, A.N.A.; de Oliveira, F.M.; Gonçalves, A.C.A.; Trombete, F.M.; Kobori, C.N. Physicochemical and sensory analysis of salted cereals bars developed with vegetables rich in carotenoids. Res. Soc. Dev. 2021, 10, e44210212824. [Google Scholar] [CrossRef]
- Samakradhamrongthai, R.S.; Jannu, T.; Renaldi, G. Physicochemical properties and sensory evaluation of high energy cereal bar and its consumer acceptability. Heliyon 2021, 7, e07776. [Google Scholar] [CrossRef]
- Bourekoua, H. Panification Traditionnelle Sans Gluten Type «Khobz Eddar». Ph.D. Thesis, University of Mentouri Brothers Constantine 1, Constantine, Algeria, 2018. [Google Scholar]
- Mishra, G.; Joshi, D.C.; Panda, B.K. Popping and puffing of cereal grains: A review. J. Grain Process. Storage 2014, 1, 34–46. [Google Scholar]
- Huang, R.; Pan, X.; Lv, J.; Zhong, W.; Yan, F.; Duan, F.; Jia, L. Effects of explosion puffing on the nutritional composition and digestibility of grains. Int. J. Food Prop. 2018, 21, 2193–2204. [Google Scholar] [CrossRef]
- Bettane, A.; Khadraoui, S. Elaboration Et Analyse du Beurre de Cacahuete. Master’s Thesis, University of Abderrahmane Mira, Béjaia, Algeria, 2020. [Google Scholar]
- Knez Hrnčič, M.; Ivanovski, M.; Cör, D.; Knez, Ž. Chia Seeds (Salvia hispanica L.): An overview—Phytochemical profile, isolation methods, and application. Molecules 2019, 25, 11. [Google Scholar] [CrossRef] [PubMed]
- Benallouache, S.; Aberkane, N. Analyse Physico-Chimiques, Microbiologiques Et Sensorielles D’une Boisson végétale à Base D’amande Enrichie Au Sirop de Datte. Master’s Thesis, University of Abderrahmane Mira, Béjaia, Algeria, 2021. [Google Scholar]
- Khan, A.W.; Khalid, W.; Safdar, S.; Usman, M.; Shakeel, M.A.; Jamal, N.; Prakash, R.; Jha, M.B.; Shehzadi, S.; Khalid, M.Z. Nutritional and Therapeutic Benefits of Psyllium Husk (Plantago ovata). ASMI 2021, 4, 43–50. [Google Scholar]
- Madgulkar, A.R.; Rao, M.R.; Warrier, D. Characterization of psyllium (Plantago ovata) polysaccharide and its uses. Polysaccharide 2015, 871–890. [Google Scholar] [CrossRef]
- Sharma, C.; Kaur, A.; Aggarwal, P.; Singh, B. Cereal bars—A healthful choice a review. Carpathian J. Food Sci. Technol. 2014, 6. [Google Scholar]
- Lim, H.S.; Park, S.H.; Ghafoor, K.; Hwang, S.Y.; Park, J. Quality and antioxidant properties of bread containing turmeric (Curcuma longa L.) cultivated in South Korea. Food Chem. 2011, 124, 1577–1582. [Google Scholar] [CrossRef]
- ICC. Standard Methods of the International Association for Cereal Science and Technology; International Association for Cereal Chemistry: Vienna, Austria, 1996. [Google Scholar]
- AOAC. Official Methods of Analysis; Association of Official Analytical Chemists: Rockville, MD, USA, 2005. [Google Scholar]
- Henneberg, W.; Stohmann, F. Beiträge zur Begründung einer Rationellen Fütterung der Wiederkäuer; Braunschweig: Schwetschke, Germany, 1864; Volume 2. [Google Scholar]
- Costantini, L.; Lukšič, L.; Molinari, R.; Kreft, I.; Bonafaccia, G.; Manzi, L.; Merendino, N. Development of gluten-free bread using tartary buckwheat and chia flour rich in flavonoids and omega-3 fatty acids as ingredients. Food Chem. 2014, 165, 232–240. [Google Scholar] [CrossRef] [PubMed]
- Djeghim, F.; Bourekoua, H.; Różyło, R.; Bieńczak, A.; Tanaś, W.; Zidoune, M.N. Effect of By-Products from Selected Fruits and Vegetables on Gluten-Free Dough Rheology and Bread Properties. Appl. Sci. 2021, 11, 4605. [Google Scholar] [CrossRef]
- Ayad, R.; Ayad, R.; Bourekoua, H.; Lefahal, M.; Makhloufi, E.H.; Akkal, S.; Medjroubi, K.; Nieto, G. Process Optimization of Phytoantioxidant and Photoprotective Compounds from Carob Pods (Ceratonia siliqua L.) Using Ultrasonic Assisted Extraction Method. Molecules 2022, 27, 8802. [Google Scholar] [CrossRef] [PubMed]
- Singleton, V.L.; Rossi, J.A. Colorimetry of total phenolics with phosphomolybdic-phosphotungstic acid reagents. AJEV 1965, 16, 144–158. [Google Scholar]
- Djeridane, A.; Yousfi, M.; Nadjemi, B.; Boutassouna, D.; Stocker, P.; Vidal, N. Antioxidant activity of some Algerian medicinal plants extracts containing phenolic compounds. Food Chem. 2006, 97, 654–660. [Google Scholar] [CrossRef]
- Prieto, P.; Pineda, M.; Aguilar, M. Spectrophotometric quantitation of antioxidant capacity through the formation of a phosphomolybdenum complex: Specific application to the determination of vitamin E. Anal. Biochem. 1999, 269, 337–341. [Google Scholar] [CrossRef]
- Ismail, H.F.; Hashim, Z.; Soon, W.T.; Ab Rahman, N.S.; Zainudin, A.N.; Majid, F.A.A. Comparative study of herbal plants on the phenolic and flavonoid content, antioxidant activities and toxicity on cells and zebrafish embryo. J. Tradit. Complement. Med. 2017, 7, 452–465. [Google Scholar] [CrossRef]
- Re, R.; Pellegrini, N.; Proteggente, A.; Pannala, A.; Yang, M.; Rice-Evans, C. Antioxidant activity applying an improved ABTS radical cation decolorization assay. Free Radic. Biol. Med. 1999, 26, 1231–1237. [Google Scholar] [CrossRef]
- Oyaizu, M. Studies on products of browning reaction antioxidative activities of products of browning reaction prepared from glucosamine. Jpn. J. Nutr. Diet 1986, 44, 307–315. [Google Scholar] [CrossRef]
- Cornell, J.A. Experiments with Mixtures: Designs, Models, and the Analysis of Mixture Data; John Wiley & Sons: Hoboken, NJ, USA, 2002. [Google Scholar]
- Bourekoua, H.; Różyło, R.; Benatallah, L.; Wójtowicz, A.; Łysiak, G.; Zidoune, M.N.; Sujak, A. Characteristics of gluten-free bread: Quality improvement by the addition of starches/hydrocolloids and their combinations using a definitive screening design. Eur. Food Res. Technol. 2017, 244, 345–354. [Google Scholar] [CrossRef]
- Srebernich, S.M.; Gonçalves, G.M.S.; Ormenese, R.d.C.S.C.; Ruffi, C.R.G. Physico-chemical, sensory and nutritional characteristics of cereal bars with addition of acacia gum, inulin and sorbitol. Food Sci. Technol. 2016, 36, 555–562. [Google Scholar] [CrossRef]
- Megala, P.; Hymavathi, T. Inulin and fructooligosaccharides incorporated functional fruit bars. IJABE 2011, 5, 658–663. [Google Scholar]
- Souza, A.H.P.; Gohara, A.K.; Pagamunici, L.M.; Visentainer, J.V.; Souza, N.E.; Matsushita, M. Development, characterization and chemometric analysis of gluten-free granolas containing whole flour of pseudo-cereals new cultivars. Acta Sci. Technol. 2014, 36, 157–163. [Google Scholar] [CrossRef]
- Fradinho, P.; Nunes, M.C.; Raymundo, A. Developing consumer acceptable biscuits enriched with Psyllium fibre. J. Food Sci. Technol. 2015, 52, 4830–4840. [Google Scholar] [CrossRef]
- Ullah, R.; Nadeem, M.; Khalique, A.; Imran, M.; Mehmood, S.; Javid, A.; Hussain, J. Nutritional and therapeutic perspectives of Chia (Salvia hispanica L.): A review. J. Food Sci. Technol. 2016, 53, 1750–1758. [Google Scholar] [CrossRef]
- Echávarri-Dublhán, J.; Alonso-Santamaría, M.; Luri-Esplandiú, P.; Sáiz-Abajo, M.-J. Comparison of different illumination systems for moisture prediction in cereal bars using hyperspectral imaging technology. JSI 2022, 11, a10. [Google Scholar] [CrossRef]
- Raiesi, F.; Tahery, S.; Shariati, M. Production of a new drink by using date syrup and milk. J. Food Biosci. Technol. 2014, 4, 67–72. [Google Scholar]
- Ciqual, T. French Food Composition Table. In French Agency for Food, Environnemental and Occupationnel Health and Safety. 2017. Available online: https://www.anses.fr/fr (accessed on 1 March 2023).
- Degaspari, C.H.; Blinder, E.W.; Mottin, F. Perfil nutricional do consumidor de barras de cereais. Visão Acadêmica 2008, 9. [Google Scholar] [CrossRef]
- Ciqual, T. French Food Composition Table. In French Agency for Food, Environnemental and Occupationnel Health and Safety. 2020. Available online: https://www.anses.fr/fr (accessed on 1 March 2023).
- Shaheen, B.; Nadeem, M.; Kauser, T.; Mueen-ud-Din, G.; Mahmood, S. Preparation and nutritional evaluation of date based fiber enriched fruit bars. Pak. J. Nutr. 2013, 12, 1061–1065. [Google Scholar] [CrossRef]
- Kaur, K.; Singh, N. Amylose-lipid complex formation during cooking of rice flour. Food Chem. 2000, 71, 511–517. [Google Scholar] [CrossRef]
- González, M.P.; Ballestero-Fernández, C.; Fajardo, V.; Achón, M.; García-González, Á.; Alonso-Aperte, E.; Úbeda, N. Gluten-Free Product Contribution to Energy and Macronutrient Intakes in Spanish Children and Adolescents with Celiac Disease. Foods 2022, 11, 3790. [Google Scholar] [CrossRef]
- Silva de Paula, N.; Gomes Natal, D.I.; Aparecida Ferreira, H.; de Souza Dantas, M.I.; Machado Rocha Ribeiro, S.; Stampini Duarte Martino, H. Characterization of cereal bars enriched with dietary fiber and omega 3. Rev. Chil. De Nutr. 2013, 40, 269–273. [Google Scholar] [CrossRef]
- Aleksejeva, S.; Siksna, I.; Rinkule, S. Composition of cereal bars. J. Health Sci. 2017, 5, 139–145. [Google Scholar] [CrossRef]
- Vici, G.; Belli, L.; Biondi, M.; Polzonetti, V. Gluten free diet and nutrient deficiencies: A review. Clin. Nutr. 2016, 35, 1236–1241. [Google Scholar] [CrossRef] [PubMed]
- Mariani, P.; Viti, M.G.; Montouri, M.; La Vecchia, A.; Cipolletta, E.; Calvani, L.; Bonamico, M. The gluten-free diet: A nutritional risk factor for adolescents with celiac disease? J. Pediatr. Gastroenterol. Nutr. 1998, 27, 519–523. [Google Scholar] [CrossRef] [PubMed]
- Elleuch, M.; Bedigian, D.; Roiseux, O.; Besbes, S.; Blecker, C.; Attia, H. Dietary fibre and fibre-rich by-products of food processing: Characterisation, technological functionality and commercial applications: A review. Food Chem. 2010, 124, 411–421. [Google Scholar] [CrossRef]
- Patel, A.; Parihar, P.; Dhumketi, K. Nutritional evaluation of kodo millet and puffed kodo. Int. J. Chem. Stud. 2018, 6, 1639–1642. [Google Scholar]
- Mendes, N.d.S.R.; Gomes-Ruffi, C.R.; Lage, M.E.; Becker, F.S.; Melo, A.A.M.d.; Silva, F.A.d.; Damiani, C. Oxidative stability of cereal bars made with fruit peels and baru nuts packaged in different types of packaging. Food Sci. Technol. 2013, 33, 730–736. [Google Scholar] [CrossRef]
- Delost-Lewis, K.; Lorenz, K.; Tribelhorn, R. Puffing quality of experimental varieties of proso millets (Panicum miliaceum). Cereal Chem. 1992, 69, 359–365. [Google Scholar]
- Freitas, D.G.; Moretti, R.H. Characterization and sensorial evaluation of functional cereal bar. Food Sci. Technol. 2006, 26, 318–324. [Google Scholar] [CrossRef]
- Schlinkert, C.; Gillebaart, M.; Benjamins, J.; Poelman, M.; de Ridder, D. The snack that has it all: People’s associations with ideal snacks. Appetite 2020, 152, 104722. [Google Scholar] [CrossRef]
- Carvalho, M. Cereal Bar with Almond Chichá, Sapucaia and Brazil-Gurguéia, Complete with Pineapple Bark. Master’s Thesis, Federal-University of Ceará, Fortaleza, Brazil, 2008. [Google Scholar]
- Esfahlan, A.J.; Jamei, R.; Esfahlan, R.J. The importance of almond (Prunus amygdalus L.) and its by-products. Food Chem. 2010, 120, 349–360. [Google Scholar] [CrossRef]
- Franco, E.A.N.; Sanches-Silva, A.; Ribeiro-Santos, R.; de Melo, N.R. Psyllium (Plantago ovata Forsk): From evidence of health benefits to its food application. Trends Food Sci. Technol. 2020, 96, 166–175. [Google Scholar] [CrossRef]
- Sabra, A.; Netticadan, T.; Wijekoon, C. Grape bioactive molecules, and the potential health benefits in reducing the risk of heart diseases. Food Chem. X 2021, 12, 100149. [Google Scholar] [CrossRef]
- Din, Z.-u.; Alam, M.; Ullah, H.; Shi, D.; Xu, B.; Li, H.; Xiao, C. Nutritional, phytochemical and therapeutic potential of chia seed (Salvia hispanica L.). A mini-review. FHFH 2021, 1, 100010. [Google Scholar] [CrossRef]
- Zhang, L.; Han, Z.; Granato, D. Polyphenols in foods: Classification, methods of identification, and nutritional aspects in human health. Adv. Food Nutr. Res. 2021, 98, 1–33. [Google Scholar] [CrossRef]
- Davis, P.A.; Iwahashi, C.K. Whole almonds and almond fractions reduce aberrant crypt foci in a rat model of colon carcinogenesis. Cancer Lett. 2001, 165, 27–33. [Google Scholar] [CrossRef]
- Hyson, D.A.; Schneeman, B.O.; Davis, P.A. Almonds and almond oil have similar effects on plasma lipids and LDL oxidation in healthy men and women. J. Nutr. 2002, 132, 703–707. [Google Scholar] [CrossRef]
- Abbès, F.; Kchaou, W.; Blecker, C.; Ongena, M.; Lognay, G.; Attia, H.; Besbes, S. Effect of processing conditions on phenolic compounds and antioxidant properties of date syrup. Ind. Crops Prod. 2013, 44, 634–642. [Google Scholar] [CrossRef]
- Taleb, H.; Maddocks, S.E.; Morris, R.K.; Kanekanian, A.D. The antibacterial activity of date syrup polyphenols against S. aureus and E. coli. Front. Microbiol. 2016, 7, 198. [Google Scholar] [CrossRef]
- Jakobek, L. Interactions of polyphenols with carbohydrates, lipids and proteins. Food Chem. 2015, 175, 556–567. [Google Scholar] [CrossRef] [PubMed]
- Della Valle, G.; Chiron, H.; Saulnier, L. Enrichissement des produits céréaliers en fibres alimentaires: Opportunités et contraintes technologiques. Innov. Agron. 2019, 78, 55–68. Available online: https://hal.inrae.fr/hal-02914388 (accessed on 12 December 2022).
- Subramani, D.; Tamilselvan, S.; Murugesan, M. Development of snack bars from puffed quinoa and its sensory evaluation. Int. J. Food Sci. Nutr. 2020, 5, 30–33. [Google Scholar]
- Haldkar, P.; Tiwari, V.K.; Rumandla, S.K.; Behera, K. Effect of puffing and cooking on phytochemical profile of psoudo-cereals: A review. J. Pharm. Innov. 2022, SP-11, 511–514. [Google Scholar]
- Jaybhaye, R.V.; Kshirsagar, D.N.; Srivastav, P. Development of barnyard millet puffed product using hot air puffing and optimization of process parameters. Int. J. Food Eng. 2011. Available online: https://www.researchgate.net/publication/261071932_ (accessed on 12 December 2022).
Disclaimer/Publisher’s Note: The statements, opinions and data contained in all publications are solely those of the individual author(s) and contributor(s) and not of MDPI and/or the editor(s). MDPI and/or the editor(s) disclaim responsibility for any injury to people or property resulting from any ideas, methods, instructions or products referred to in the content. |
© 2023 by the authors. Licensee MDPI, Basel, Switzerland. This article is an open access article distributed under the terms and conditions of the Creative Commons Attribution (CC BY) license (https://creativecommons.org/licenses/by/4.0/).