Quantum Physisorption of Gas in Nanoporous Media: A New Perspective
Abstract
1. Introduction
2. Theory and Modelling
2.1. Quantum Effect of Gas Physisorption
2.2. Equation of Quantum Physisorption
3. Application Method of Quantum Physisorption Theory
4. Results and Discussion
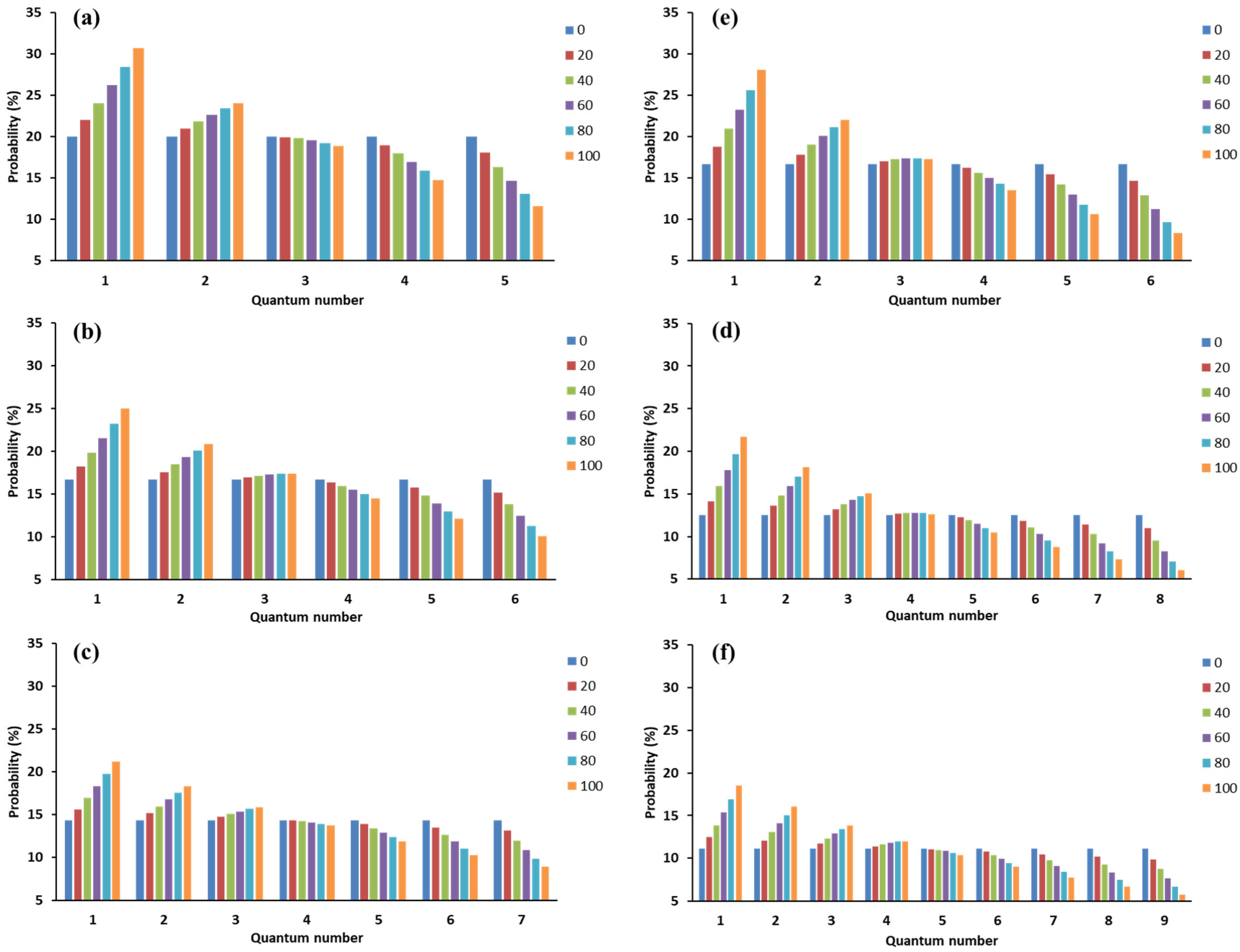
4.1. Calculated Results
4.2. Mechanism of Quantum Physisorption
5. Conclusions
Funding
Institutional Review Board Statement
Informed Consent Statement
Data Availability Statement
Acknowledgments
Conflicts of Interest
Nomenclature
| ne | excess adsorption amount, mol or mol/g |
| na | actual (absolute) adsorption amount, mol or mol/g |
| ρg | density of free gas, cm3/g |
| ρa | density of adsorbed gas, cm3/g |
| T | gas temperature, K |
| p | gas pressure, MPa |
| z | gas compressibility factor, dimensionless |
| M | molar mass, kg/mol |
| n | maximum quantum number, integer |
| i | quantum number, integer |
| E0 | smallest potential energy unit, J |
| Epi | potential energy of molecules with different energy level, J |
| mean kinetic energy for free gas molecules, J | |
| Evi | kinetic energy of molecules with i-th energy level, J |
| Ev0 | kinetic energy of adsorbed gas molecules, J |
| nai | actual (absolute) adsorption amount of molecules with i-th energy level, mol, or mol/g |
| nmi | maximum adsorption amount of molecules with i-th energy level, mol, or mol/g |
| ki | adsorption coefficient of molecules with i-th energy level, mol·MPa or mol·Mpa/g |
| nL | maximum adsorption amount, mol, or mol/g |
| KB | Boltzmann’s constant, J/K |
| NA | Avogadro’s constant, mol−1 |
| h | Planck’s constant, J·s |
| R | universal gas constant, 8.314 J/mol/K |
| d | kinetic diameter of molecule, m |
| ξ | positive integer ratio of orbital width to molecular de Broglie wavelength, integer |
| fi | probability, fraction |
| δ | relative error, dimensionless |
| calculated i-th value by the equation of quantum physisorption, mol, or mol/g | |
| measured i-th value obtained from adsorption experiment, mol, or mol/g |
Appendix A. Determination of Maximum Quantum Number (n)
Appendix B. Establish of the Equation of Quantum Physisorption
Appendix B.1. Energy Level Transition
Appendix B.2. Energy Release
Appendix B.3. Equation of Quantum Physisorption
Appendix B.4. Determination of Adsorption Capacity
References
- Wigley, T.; Raper, S. Thermal expansion of sea water associated with global warming. Nature 1987, 330, 127–131. [Google Scholar] [CrossRef]
- Lashof, D.; Ahuja, D. Relative contributions of greenhouse gas emissions to global warming. Nature 1990, 344, 529–531. [Google Scholar] [CrossRef]
- Wuebbles, D.J.; Hayhoe, K. Atmospheric methane and global change. Earth-Sci. Rev. 2002, 57, 177–210. [Google Scholar] [CrossRef]
- Cowan, T.; Undorf, S.; Hegerl, G.C.; Harrington, L.J.; Otto, F.E. Present-day greenhouse gases could cause more frequent and longer Dust Bowl heatwaves. Nat. Clim. Chang. 2020, 10, 505–510. [Google Scholar] [CrossRef]
- Haugan, P.; Drange, H. Sequestration of CO2 in the deep ocean by shallow injection. Nature 1992, 357, 318–320. [Google Scholar] [CrossRef]
- Lackner, K.S. A Guide to CO2 Sequestration. Science 2003, 300, 1677. [Google Scholar] [CrossRef]
- Gasda, S.E.; Nordbotten, J.M.; Celia, M.A. Vertical equilibrium with sub-scale analytical methods for geological CO2 sequestration. Comput. Geosci. 2009, 13, 469–481. [Google Scholar] [CrossRef]
- Cooper, A. Cooperative carbon capture. Nature 2015, 519, 294–295. [Google Scholar] [CrossRef]
- Viete, D.R.; Ranjith, P.G. The effect of CO2 on the geomechanical and permeability behavior of brown coal: Implications for coal seam CO2 sequestration. Int. J. Coal Geol. 2006, 66, 204–216. [Google Scholar] [CrossRef]
- Lastoskie, C. Caging carbon dioxide. Science 2010, 330, 595. [Google Scholar] [CrossRef]
- Weniger, P.; Kalkreuth, W.; Busch, A.; Krooss, B.M. High-pressure methane and carbon dioxide sorption on coal and shale samples from the Paraná Basin, Brazil. Int. J. Coal Geol. 2010, 84, 190–205. [Google Scholar] [CrossRef]
- Whitelaw, P.; Uguna, C.N.; Stevens, L.A.; Meredith, W.; Snape, C.E.; Vane, C.H.; Moss-Hayes, V.; Carr, A.D. Shale gas reserve evaluation by laboratory pyrolysis and gas holding capacity consistent with field data. Nat. Commun. 2019, 10, 3659. [Google Scholar] [CrossRef]
- Lyu, Q.; Tan, J.; Li, L.; Ju, Y.; Busch, A.; Wood, D.A.; Ranjith, P.G.; Middleton, R.; Shu, B.; Hu, C.; et al. The role of supercritical carbon dioxide for recovery of shale gas and sequestration in gas shale reservoirs. Energy Environ. Sci. 2021, 14, 4203–4227. [Google Scholar] [CrossRef]
- Eddaoudi, M.; Kim, J.; Rosi, N.; Vodak, D.; Wachter, J.; O’Keeffe, M.; Yaghi, O.M. Systematic design of pore size and functionality in isoreticular MOFs and their application in methane storage. Science 2002, 295, 469–472. [Google Scholar] [CrossRef]
- Millward, A.R.; Yaghi, O.M. Metal-organic frameworks with exceptionally high capacity for storage of carbon dioxide at room temperature. J. Am. Chem. Soc. 2005, 127, 17998–17999. [Google Scholar] [CrossRef]
- Furukawa, H.; Ko, N.; Go, Y.B.; Aratani, N.; Choi, S.B.; Choi, E.; Yazaydin, A.Ö.; Snurr, R.Q.; O’Keeffe, M.; Kim, J.; et al. Ultrahigh porosity in metal-organic frameworks. Science 2010, 329, 424–428. [Google Scholar] [CrossRef]
- Boyd, P.G.; Chidambaram, A.; García-Díez, E.; Ireland, C.P.; Daff, T.D.; Bounds, R.; Gładysiak, A.; Schouwink, P.; Moosavi, S.M.; Maroto-Valer, M.M.; et al. Data-driven design of metal-organic frameworks for wet flue gas CO2 capture. Nature 2019, 576, 253–256. [Google Scholar] [CrossRef]
- Chen, Z.; Li, P.; Anderson, R.; Wang, X.; Zhang, X.; Robison, L.; Redfern, L.R.; Moribe, S.; Islamoglu, T.; Gómez-Gualdrón, D.A.; et al. Balancing volumetric and gravimetric uptake in highly porous materials for clean energy. Science 2020, 368, 297–303. [Google Scholar] [CrossRef]
- Langmuir, I. The adsorption of gases on plane surfaces of glass, mica and platinum. J. Am. Chem. Soc. 1918, 40, 1361–1403. [Google Scholar] [CrossRef]
- Brunauer, S.; Emmett, P.H.; Teller, E. Adsorption of gases in multimolecular layers. J. Am. Chem. Soc. 1938, 60, 309–319. [Google Scholar] [CrossRef]
- Polanyi, M. Section III.—Theories of the adsorption of gases. A general survey and some additional remarks. Introductory paper to section III. Trans. Fraraday Soc. 1932, 28, 316–333. [Google Scholar] [CrossRef]
- Polanyi, M. The Potential Theory of Adsorption. Science 1963, 141, 1010–1013. [Google Scholar] [CrossRef]
- Dubinin, M.M.; Astakhov, V.A. Development of the concepts of volume filling of micropores in the adsorption of gases and vapors by microporous adsorbents. Communication 2. General bases of the theory of adsorption of gases and vapors on zeolites. Bull. Acad. Sci. USSR Div. Chem. Sci. 1971, 20, 8–12. [Google Scholar] [CrossRef]
- Cerreia-Vioglio, S.; Maccheroni, F.; Marinacci, M.; Rustichini, A. Axiomatic tests for the Boltzmann distribution. J. Stat. Mech. Theory Exp. 2021, 2021, 013406. [Google Scholar] [CrossRef]
- Sircar, S. Gibbsian surface excess for gas adsorptions-revisited. Ind. Eng. Chem. Res. 1999, 38, 3670–3682. [Google Scholar] [CrossRef]
- Do, D.D.; Do, H.D. A desorption of supercritical fluids in non-porous and porous carbons: Analysis of adsorbed phase volume and density. Carbon 2003, 41, 1777–1791. [Google Scholar] [CrossRef]
- Gasparik, M.; Ghanizadeh, A.; Bertier, P.; Gensterblum, Y.; Bouw, S.; Krooss, B.M. High-pressure methane sorption isotherms of black shales from the Netherlands. Energy Fuel 2012, 26, 4995–5004. [Google Scholar] [CrossRef]





| Porous Media | T (K) | nL (cm3/g) | E0 (10−23 J) | ρa (kg/m3) | Adsorption Coefficient (cm3·MPa/g) | ||||
|---|---|---|---|---|---|---|---|---|---|
| k1 | k2 | k3 | k4 | k5 | |||||
| a Cu3(BTC)2 | 298.00 | 273.1466 | 425.5455 | 1809.4766 | 0.3846 | 0.7750 | 1.1527 | 3.3665 | 6.4195 |
| b MOF-2 | 298.00 | 94.4453 | 134.5343 | 1819.1773 | 0.0897 | 0.2472 | 0.6186 | 1.1612 | 2.8258 |
| c Sleen Shale | 338.15 | 5.0481 | 40.6973 | 382.8547 | 0.0307 | 0.1187 | 0.2194 | 0.3992 | / |
| d Grange Hill Shale | 331.15 | 1.2984 | 46.3658 | / | 0.0007 | 0.0042 | 0.0091 | 0.0239 | / |
Disclaimer/Publisher’s Note: The statements, opinions and data contained in all publications are solely those of the individual author(s) and contributor(s) and not of MDPI and/or the editor(s). MDPI and/or the editor(s) disclaim responsibility for any injury to people or property resulting from any ideas, methods, instructions or products referred to in the content. |
© 2023 by the author. Licensee MDPI, Basel, Switzerland. This article is an open access article distributed under the terms and conditions of the Creative Commons Attribution (CC BY) license (https://creativecommons.org/licenses/by/4.0/).
Share and Cite
Li, J. Quantum Physisorption of Gas in Nanoporous Media: A New Perspective. Processes 2023, 11, 758. https://doi.org/10.3390/pr11030758
Li J. Quantum Physisorption of Gas in Nanoporous Media: A New Perspective. Processes. 2023; 11(3):758. https://doi.org/10.3390/pr11030758
Chicago/Turabian StyleLi, Junqian. 2023. "Quantum Physisorption of Gas in Nanoporous Media: A New Perspective" Processes 11, no. 3: 758. https://doi.org/10.3390/pr11030758
APA StyleLi, J. (2023). Quantum Physisorption of Gas in Nanoporous Media: A New Perspective. Processes, 11(3), 758. https://doi.org/10.3390/pr11030758