Kinetic Analysis of Pyrolysis Reaction of Hydrogen-Containing Low Rank Coals Based on Thermogravimetric Method
Abstract
1. Introduction
2. Experimental
2.1. Materials
2.2. Experimental Method
2.3. Kinetic Analysis
2.3.1. Pyrolysis Characteristic Parameters of Coal
2.3.2. Pyrolysis Kinetic Model
3. Results and Discussion
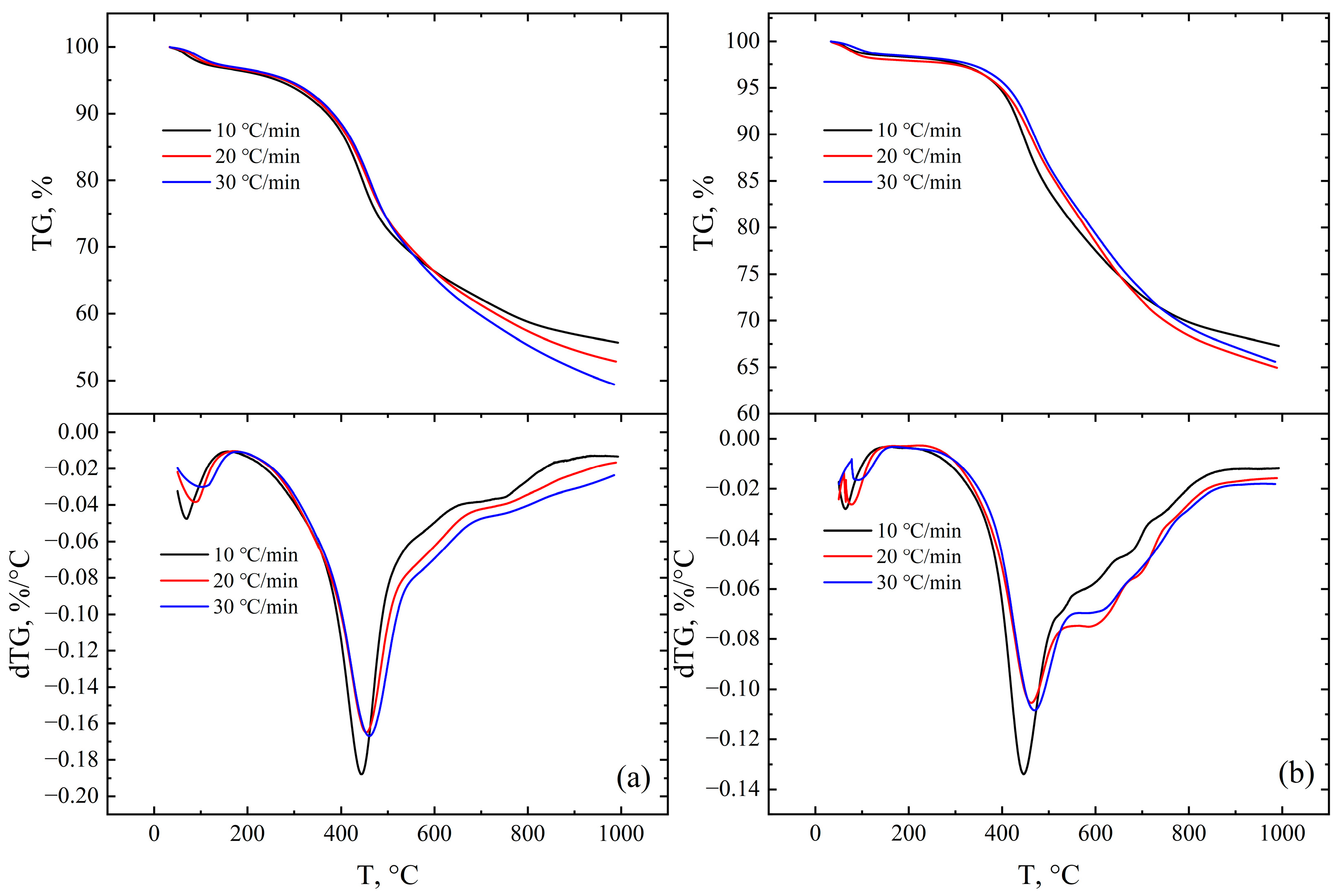
3.1. Characteristics of the Pyrolysis Reaction
3.1.1. Calculation of Pyrolysis Characteristic Parameters of Coal
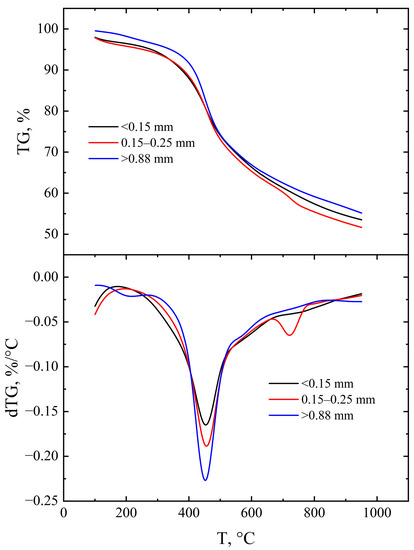
3.1.2. Effect of Particle Size of Coal on Pyrolysis
3.2. Acquisition of the Kinetic Parameters
3.3. Analysis of the Kinetic Mechanism
3.4. The Relationship between Volatile Content and Pyrolysis Activity
4. Conclusions
- (1)
- The higher the volatile content the coal contains, the lower activation energy the pyrolysis process will need, the easier the pyrolysis reaction will carry out.
- (2)
- The larger the particle size of coal is, the greater resistance the heat transfer will overcome; the heat distribution inside the coal with larger particles size is uneven, so the heat transfer rate is slow, and the pyrolysis activation energy also increases.
- (3)
- The kinetic mechanisms of low rank coal in the pyrolysis process are mainly Growth of nucleation (Avrami-Erofeev, n = 1/3) and 3-D diffusion (G-B).
- (4)
- The activation energy of the lower temperature stage of the pyrolysis process is higher than that of the higher temperature stage, indicating that there will be more chemical bond breaks in the release of volatile gas and the precipitation of a large amount of tar, so a large amount of activation energy is required.
Author Contributions
Funding
Data Availability Statement
Conflicts of Interest
References
- Sun, G.; Li, B.; Guo, H.; Yang, W.; Li, S.; Guo, J. Thermodynamic Study of Energy Consumption and Carbon Dioxide Emission in Ironmaking Process of the Reduction of Iron Oxides by Carbon. Energies 2021, 14, 1999. [Google Scholar] [CrossRef]
- El-Geassy, A.A.; Halim, K.S.A.; Bahgat, M.; Mousa, E.A.; El-Shereafy, E.E.; El-Tawil, A.A. Carbothermic reduction of Fe2O3/C compacts: Comparative approach to kinetics and mechanism. Ironmak. Steelmak. 2013, 40, 534–544. [Google Scholar] [CrossRef]
- Pineau, A.; Kanari, N.; Gaballah, I. Kinetics of reduction of iron oxides by H2. Thermochim. Acta 2007, 456, 75–88. [Google Scholar] [CrossRef]
- Park, H.; Sohn, I.; Freislich, M.; Sahajwalla, V. Investigation on the Reduction Behavior of Coal Composite Pellet at Temperatures between 1373 and 1573 K. Steel Res. Int. 2017, 88, 1600169. [Google Scholar] [CrossRef]
- Wang, Y.; Li, P.; Zhu, Z. Dynamic simulation scenario analysis of multiobjective optimization configuration of China’s natural gas resources. Energy Sci. Eng. 2020, 8, 3772–3787. [Google Scholar] [CrossRef]
- Song, H.; Liu, G.; Zhang, J.; Wu, J. Pyrolysis characteristics and kinetics of low rank coals by TG-FTIR method. Fuel Process. Technol. 2017, 156, 454–460. [Google Scholar] [CrossRef]
- Shi, R.; Li, Y.; Mi, Q.; Zou, C.; Li, B. Thermodynamic Study on the Direct Reduction of Specularite by Lignite and the Coupling Process for the Preparation of Cementitious Material. Minerals 2022, 12, 354. [Google Scholar] [CrossRef]
- Xie, C.; Wang, Y.; Zhao, Q.; Chen, H.; Ma, H. Experimental study on Zhundong coal’s pyrolysis characteristics and gasification activity. Proc. CSEE 2016, 36, 95–102. [Google Scholar]
- Zhang, X.; Zhou, B.; An, D.; Cui, L.; Zheng, Y.; Dong, Y. Effect of heating rate on pyrolysis characteristics and char structure of Zhundong lignite coal. J. China Coal Soc. 2019, 44, 604–610. [Google Scholar]
- Peng, Y.; Chen, S.; Sun, F.; Hu, Z.; Zhou, Y. Investigation on the kinetics of pyrolysis reaction of large coal particles based on TGA. Clean Coal Technol. 2021, 27, 128–133. [Google Scholar]
- Lin, Y.; Li, Q.; Ji, K.; Li, X.; Yu, Y.; Zhang, H.; Song, Y.; Fu, Y.; Sun, L. Thermogravimetric analysis of pyrolysis kinetics of Shenmu bituminous coal. React. Kinet. Mech. Catal. 2014, 113, 269–279. [Google Scholar] [CrossRef]
- Zhao, Y.; Qiu, P.; Xie, X.; Chen, X.; Lin, D.; Sun, S.; Liu, L. Analysis on applicability of distributed activation energy model in coal pyrolysis kinetics. Coal Convert. 2017, 40, 13–18. [Google Scholar]
- Guo, Y.; Cheng, F. Adaptability Analysis of Kinetic Model of Blended Coal Pyrolysis. J. Combust. Sci. Technol. 2019, 25, 509–518. [Google Scholar]
- Zou, C.; Ma, C.; Zhao, J.; Shi, R.; Li, X. Characterization and non-isothermal kinetics of Shenmu bituminous coal devolatilization by TG-MS. J. Anal. Appl. Pyrolysis 2017, 127, 309–320. [Google Scholar] [CrossRef]
- Wang, J.H.; Chang, L.P. Pyrolysis Characteristics of Maceral Concentrates from Shendong Coal in Western China. Energy Sources Part A Recovery Util. Environ. Eff. 2014, 36, 2009–2017. [Google Scholar] [CrossRef]
- Dang, J.; Chou, K.-C. A Model for the Reduction of Metal Oxides by Carbon Monoxide. ISIJ Int. 2018, 58, 585–593. [Google Scholar] [CrossRef]
- Jiang, Y.; Zong, P.; Tian, B.; Xu, F.; Tian, Y.; Qiao, Y.; Zhang, J. Pyrolysis behaviors and product distribution of Shenmu coal at high heating rate: A study using TG-FTIR and Py-GC/MS. Energy Convers. Manag. 2019, 179, 72–80. [Google Scholar] [CrossRef]
- Czajka, K.M.; Modliński, N.; Kisiela-Czajka, A.M.; Naidoo, R.; Peta, S.; Nyangwa, B. Volatile matter release from coal at different heating rates–experimental study and kinetic modelling. J. Anal. Appl. Pyrolysis 2019, 139, 282–290. [Google Scholar] [CrossRef]
- Vyazovkin, S.; Burnham, A.K.; Criado, J.M.; Pérez-Maqueda, L.A.; Popescu, C.; Sbirrazzuoli, N. ICTAC Kinetics Committee recommendations for performing kinetic computations on thermal analysis data. Thermochim. Acta 2011, 520, 1–19. [Google Scholar] [CrossRef]
- Hammam, A.; Li, Y.; Nie, H.; Zan, L.; Ding, W.; Ge, Y.; Li, M.; Omran, M.; Yu, Y. Isothermal and Non-Isothermal Reduction Behaviors of Iron Ore Compacts in Pure Hydrogen Atmosphere and Kinetic Analysis. Min. Metall. Explor. 2020, 38, 81–93. [Google Scholar] [CrossRef]
- Cai, J.; Wu, W.; Liu, R.; Huber, G.W. A distributed activation energy model for the pyrolysis of lignocellulosic biomass. Green Chem. 2013, 15, 1331–1340. [Google Scholar] [CrossRef]
- Shen, D.K.; Gu, S.; Jin, B.; Fang, M.X. Thermal degradation mechanisms of wood under inert and oxidative environments using DAEM methods. Bioresour. Technol. 2011, 102, 2047–2052. [Google Scholar] [CrossRef]
- Tian, B.; Qiao, Y.Y.; Tian, Y.Y.; Liu, Q. Investigation on the effect of particle size and heating rate on pyrolysis characteristics of a bituminous coal by TG–FTIR. J. Anal. Appl. Pyrolysis 2016, 121, 376–386. [Google Scholar] [CrossRef]
- Zhao, H.; Li, Y.; Song, Q.; Lv, J.; Shu, Y.; Liang, X.; Shu, X. Effects of Iron Ores on the Pyrolysis Characteristics of a Low-Rank Bituminous Coal. Energy Fuels 2016, 30, 3831–3839. [Google Scholar] [CrossRef]
- Wang, M.; Li, Z.; Huang, W.; Yang, J.; Xue, H. Coal pyrolysis characteristics by TG–MS and its late gas generation potential. Fuel 2015, 156, 243–253. [Google Scholar] [CrossRef]











| Aad | Mad | FCad | Vad | |
|---|---|---|---|---|
| 1# | 5.49 | 5.91 | 43.26 | 45.34 |
| 2# | 5.76 | 6.88 | 52.29 | 35.07 |
| coke | 12.46 | 0.49 | 86.55 | 0.50 |
| g(α) | Function | Mechanism |
|---|---|---|
| g(α)1 | Chemical reaction (n = 1) | |
| g(α)2 | Chemical reaction (n = 2) | |
| g(α)3 | Chemical reaction (n = 3) | |
| g(α)4 | Growth of nucleation (Avrami-Erofeev, n = 2) | |
| g(α)5 | Growth of nucleation (Avrami-Erofeev, n = 3) | |
| g(α)6 | Growth of nucleation (Avrami-Erofeev, n = 1/2) | |
| g(α)7 | Growth of nucleation (Avrami-Erofeev, n = 1/3) | |
| g(α)8 | Shrinking core model (n = 2) | |
| g(α)9 | Shrinking core model (n = 3) | |
| g(α)10 | Shrinking core model (n = 1/2) | |
| g(α)11 | Shrinking core model (n = 1/3) | |
| g(α)12 | 1-D diffusion | |
| g(α)13 | 2-D diffusion | |
| g(α)14 | 3-D diffusion (G-B) | |
| g(α)15 | 3-D diffusion (Jander, n = 2) |
| 1#coal | |||||
| 10 °C/min | 364 °C | −0.188%/°C | 444 °C | 106 °C | 1.097 × 10−8%·°C−3 |
| 20 °C/min | 356 °C | −0.168%/°C | 456 °C | 140 °C | 7.392 × 10−9%·°C−3 |
| 30 °C/min | 368 °C | −0.175%/°C | 463 °C | 145 °C | 7.083 × 10−9%·°C−3 |
| 2#coal | |||||
| 10 °C/min | 387 °C | −0.134%/°C | 446 °C | 131 °C | 5.926 × 10−9%·°C−3 |
| 20 °C/min | 388 °C | −0.101%/°C | 461 °C | 268 °C | 2.107 × 10−9%·°C−3 |
| 30 °C/min | 401 °C | −0.113%/°C | 467 °C | 271 °C | 2.226 × 10−9%·°C−3 |
| 1#coal | P/%3·°C−4 | |||||
| 10 °C/min | 240 °C | 745 °C | 35.46% | −0.188%/°C | −0.069%/°C | 3.795 × 10−8 |
| 20 °C/min | 256 °C | 792 °C | 37.73 % | −0.168%/°C | −0.072%/°C | 3.326 × 10−8 |
| 30 °C/min | 286 °C | 819 °C | 40.46% | −0.175%/°C | −0.076%/°C | 3.531 × 10−8 |
| 2#coal | P/%3·°C−4 | |||||
| 10 °C/min | 346 °C | 767 °C | 26.17% | −0.134%/°C | −0.065%/°C | 1.565 × 10−8 |
| 20 °C/min | 361 °C | 795 °C | 28.04% | −0.101%/°C | −0.064%/°C | 1.157 × 10−8 |
| 30 °C/min | 375 °C | 807 °C | 27.53% | −0.113%/°C | −0.063%/°C | 1.209 × 10−8 |
| T, °C | E, kJ/mol | R2 | Emean, kJ/mol | |
|---|---|---|---|---|
| <0.15 mm | 290–489 490–875 | 89.84 62.51 | 0.973 0.993 | 76.18 |
| 0.15–0.25 mm | 298–484 485–896 | 90.15 65.95 | 0.948 0.988 | 78.05 |
| >0.88 mm | 305–479 480–926 | 117.72 60.05 | 0.932 0.984 | 88.89 |
| g(α) | Function | R2 (10 °C/min) | R2 (20 °C/min) | R2 (30 °C/min) |
|---|---|---|---|---|
| g(α)1 | 0.883 | 0.887 | 0.894 | |
| g(α)2 | 0.825 | 0.819 | 0.828 | |
| g(α)3 | 0.762 | 0.750 | 0.757 | |
| g(α)4 | 0.016 | 0.044 | 0.111 | |
| g(α)5 | 0.902 | 0.914 | 0.908 | |
| g(α)6 | 0.927 | 0.927 | 0.931 | |
| g(α)7 | 0.935 | 0.935 | 0.938 | |
| g(α)8 | 0.825 | 0.853 | 0.873 | |
| g(α)9 | 0.856 | 0.873 | 0.888 | |
| g(α)10 | 0.083 | 0.225 | 0.378 | |
| g(α)11 | 0.094 | 0.008 | 0.018 | |
| g(α)12 | 0.901 | 0.915 | 0.926 | |
| g(α)13 | 0.918 | 0.928 | 0.934 | |
| g(α)14 | 0.924 | 0.931 | 0.936 | |
| g(α)15 | 0.932 | 0.938 | 0.939 |
| g(α) | Function | R2 (10 °C/min) | R2 (20 °C/min) | R2 (30 °C/min) |
|---|---|---|---|---|
| g(α)1 | 0.821 | 0.759 | 0.807 | |
| g(α)2 | 0.787 | 0.725 | 0.761 | |
| g(α)3 | 0.734 | 0.677 | 0.703 | |
| g(α)4 | 0.264 | 0.084 | 0.259 | |
| g(α)5 | 0.714 | 0.799 | 0.731 | |
| g(α)6 | 0.879 | 0.841 | 0.868 | |
| g(α)7 | 0.892 | 0.859 | 0.881 | |
| g(α)8 | 0.789 | 0.734 | 0.796 | |
| g(α)9 | 0.804 | 0.747 | 0.803 | |
| g(α)10 | 0.455 | 0.384 | 0.571 | |
| g(α)11 | 0.149 | 0.063 | 0.305 | |
| g(α)12 | 0.867 | 0.843 | 0.874 | |
| g(α)13 | 0.876 | 0.848 | 0.877 | |
| g(α)14 | 0.879 | 0.849 | 0.878 | |
| g(α)15 | 0.882 | 0.848 | 0.876 |
| , °C | , kJ/mol | |||
|---|---|---|---|---|
| 1#coal | 10 °C/min | 220–485 | 69.463 | 0.929 |
| 10 °C/min | 486–950 | 58.979 | 0.987 | |
| 20 °C/min | 283–488 | 87.563 | 0.971 | |
| 20 °C/min | 489–950 | 63.876 | 0.984 | |
| 30 °C/min | 296–553 | 96.982 | 0.985 | |
| 30 °C/min | 554–950 | 67.260 | 0.973 | |
| 2#coal | 10 °C/min | 296–478 | 113.635 | 0.942 |
| 10 °C/min | 479–950 | 76.114 | 0.991 | |
| 20 °C/min | 310–492 | 101.705 | 0.956 | |
| 20 °C/min | 493–950 | 88.427 | 0.999 | |
| 30 °C/min | 326–499 | 122.249 | 0.966 | |
| 30 °C/min | 500–950 | 88.253 | 0.998 |
| , °C | , kJ/mol | |||
|---|---|---|---|---|
| 1#coal | 10 °C/min | 282–502 | 49.626 | 0.953 |
| 10 °C/min | 503–950 | 18.648 | 0.998 | |
| 20 °C/min | 286–514 | 53.068 | 0.976 | |
| 20 °C/min | 514–950 | 22.081 | 0.995 | |
| 30 °C/min | 291–521 | 55.238 | 0.976 | |
| 30 °C/min | 521–950 | 23.453 | 0.992 | |
| 2#coal | 10 °C/min | 288–503 | 69.895 | 0.950 |
| 10 °C/min | 504–950 | 28.159 | 0.980 | |
| 20 °C/min | 320–505 | 68.598 | 0.973 | |
| 20 °C/min | 506–950 | 36.174 | 0.979 | |
| 30 °C/min | 325–520 | 76.630 | 0.972 | |
| 30 °C/min | 521–950 | 35.991 | 0.987 |
| 1#coal/coke | P/%3·°C−4 | |||||
|---|---|---|---|---|---|---|
| 10:0 | 197 °C | 805 °C | 45.31% | −0.2747%/°C | −0.05865%/°C | 6.09484 × 10−8 |
| 9:1 | 221 °C | 773 °C | 39.65% | −0.2566%/°C | −0.04845%/°C | 4.04075 × 10−8 |
| 8:2 | 246 °C | 763 °C | 37.28% | −0.2504%/°C | −0.05488%/°C | 4.02809 × 10−8 |
| 7:3 | 272 °C | 746 °C | 33.15% | −0.2474%/°C | −0.05074%/°C | 3.22882 × 10−8 |
| 6:4 | 265 °C | 745 °C | 26.74% | −0.2401%/°C | −0.03564%/°C | 1.79888 × 10−8 |
| 4:6 | 294 °C | 747 °C | 19.29% | −0.1562%/°C | −0.02845%/°C | 6.43651 × 10−9 |
| 3:7 | 300 °C | 775 °C | 13.33% | −0.0854%/°C | −0.01885%/°C | 1.50745 × 10−9 |
| 2:8 | 307 °C | 776 °C | 9.82% | −0.0546%/°C | −0.0164%/°C | 6.11048 × 10−10 |
| 1:9 | 326 °C | 835 °C | 5.28% | −0.0333%/°C | −0.00835%/°C | 8.84768 × 10−11 |
| 0:10 | 621 °C | 1046 °C | 0.72% | −0.0035%/°C | −0.00136%/°C | 1.31339 × 10−13 |
| 1#coal/coke | E, kJ/mol |
|---|---|
| 10:0 | 59.56 |
| 9:1 | 62.91 |
| 8:2 | 66.67 |
| 7:3 | 72.29 |
| 6:4 | 74.73 |
| 4:6 | 76.65 |
| 3:7 | 76.71 |
| 2:8 | 77.00 |
| 1:9 | 82.75 |
| 0:10 | 196.33 |
Disclaimer/Publisher’s Note: The statements, opinions and data contained in all publications are solely those of the individual author(s) and contributor(s) and not of MDPI and/or the editor(s). MDPI and/or the editor(s) disclaim responsibility for any injury to people or property resulting from any ideas, methods, instructions or products referred to in the content. |
© 2023 by the authors. Licensee MDPI, Basel, Switzerland. This article is an open access article distributed under the terms and conditions of the Creative Commons Attribution (CC BY) license (https://creativecommons.org/licenses/by/4.0/).
Share and Cite
Mi, Q.; Li, B.; Li, Y.; Ma, Y.; Shi, R. Kinetic Analysis of Pyrolysis Reaction of Hydrogen-Containing Low Rank Coals Based on Thermogravimetric Method. Processes 2023, 11, 706. https://doi.org/10.3390/pr11030706
Mi Q, Li B, Li Y, Ma Y, Shi R. Kinetic Analysis of Pyrolysis Reaction of Hydrogen-Containing Low Rank Coals Based on Thermogravimetric Method. Processes. 2023; 11(3):706. https://doi.org/10.3390/pr11030706
Chicago/Turabian StyleMi, Qiyuan, Bin Li, Yifan Li, Yue Ma, and Ruimeng Shi. 2023. "Kinetic Analysis of Pyrolysis Reaction of Hydrogen-Containing Low Rank Coals Based on Thermogravimetric Method" Processes 11, no. 3: 706. https://doi.org/10.3390/pr11030706
APA StyleMi, Q., Li, B., Li, Y., Ma, Y., & Shi, R. (2023). Kinetic Analysis of Pyrolysis Reaction of Hydrogen-Containing Low Rank Coals Based on Thermogravimetric Method. Processes, 11(3), 706. https://doi.org/10.3390/pr11030706
