From Pollution to Green and Low-Carbon Island Revitalization: Implications of Exhibition-Driven Sustainable Tourism (Triennale) for SDG 8.9 in Setouchi
Abstract
1. Introduction
- (1)
- H1: The Triennale-driven tourism has a positive impact on the tourist number (TN).
- (2)
- H2: The Triennale-driven tourism has a positive impact on the industry incomes (II).
- (3)
- H3: The Triennale-driven tourism has a positive impact on the labor population (LP).
- (4)
- H4-1-1/2/3: The TN/II1/II15/II6/II8/II11 has a positive impact on the Total/Tertiary industry/Per capita income (II17/TII/PCI); H4-2: The Triennale-driven tourism has a positive impact on the SDG 8.9.1 “Tourism direct GDP as a proportion of the total GDP and in growth rate”.
- (5)
- H5-1: The N/II1/II15/II6/II8/II11 and the LP8/LP11/LP15 have a positive impact on the total labor population (LP17); H5-2: The Triennale-driven tourism has a positive impact on the SDG 8.9.1 “Number of jobs in the tourism industries as a proportion of the total jobs and growth rate of jobs…”
- (6)
- H6: Triennale-driven tourism is one of the positive “policies to promote sustainable tourism that creates jobs and promotes local culture and products”.
2. Literature Review
2.1. Regional Revitalization: From Shrinking Islands to SDGs with Sustainable Tourism
2.2. Policies to Promote Sustainable Tourism: Triennale-Driven Sustainable Tourism
2.3. Triennale-Driven Tourism Direct GDP: Total/Tertiary Industry/per Capita Income
2.4. Triennale-Driven Tourism Related Jobs: Labor Population
3. Triennale-Driven Tourism in Setouchi (Kagawa): From Pollution to Green Islands
4. Methods
4.1. Panel Data
4.2. The Descriptive Statistics
4.3. The Inferential Statistics
5. Results and Discussion
5.1. The Descriptive Statistics
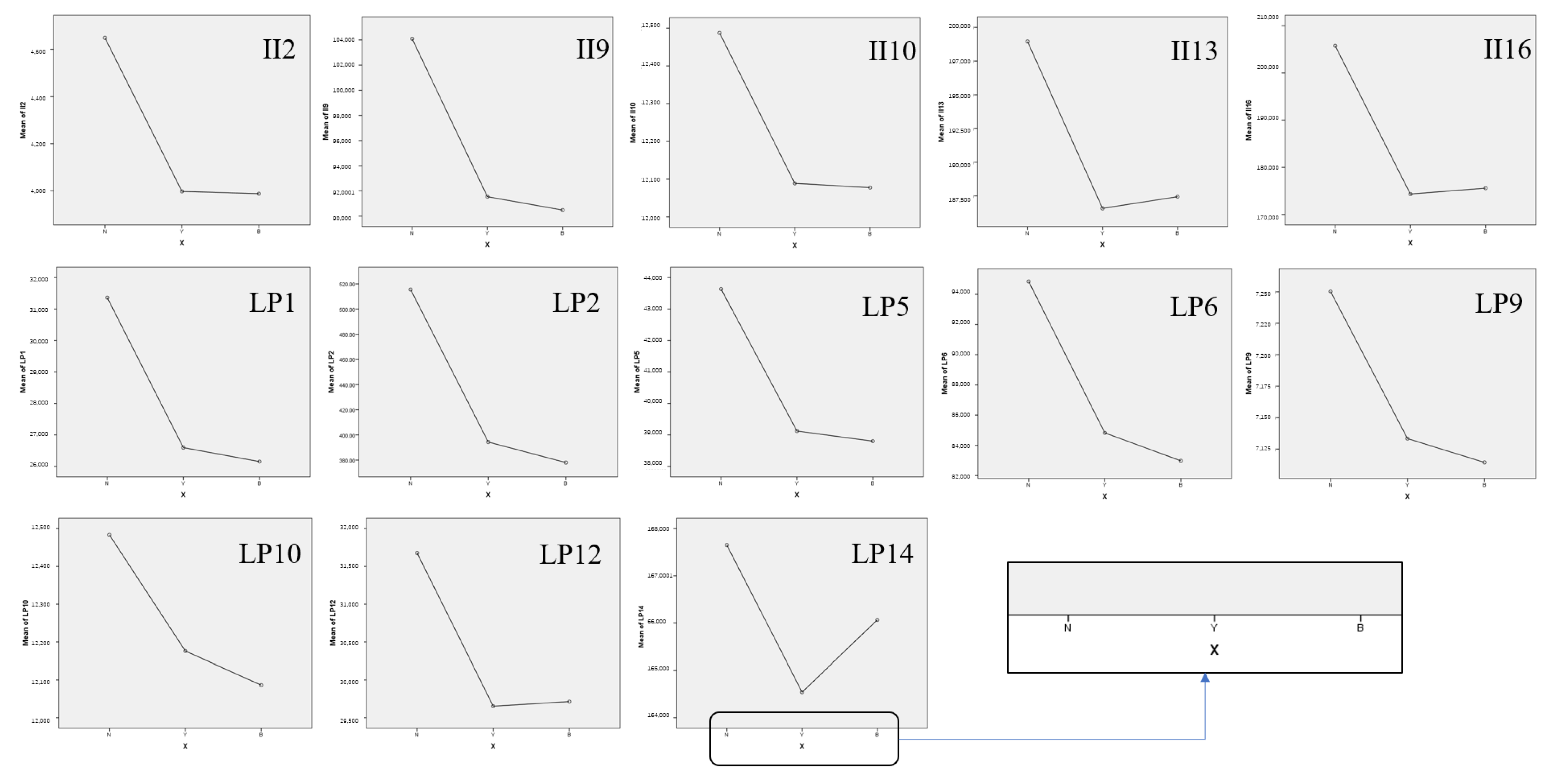
5.2. The Inferential Statistics: One-Way ANOVA
5.3. Implications for Theory
5.4. Implications for Practitioners and Policy Makers
5.5. Limitations and Future Research Directions
6. Conclusions
Author Contributions
Funding
Data Availability Statement
Conflicts of Interest
References
- Elis, V. Rural Depopulation and Economic Shrinkage in Japan: What Can Affected Municipalities Do About It? In Imploding Populations in Japan and Germany; Brill: Leiden, The Netherlands, 2011; pp. 443–460. [Google Scholar]
- Hens, L.; Block, C.; Cabello-Eras, J.J.; Sagastume-Gutierez, A.; Garcia-Lorenzo, D.; Chamorro, C.; Mendoza, K.H.; Haeseldonckx, D.; Vandecasteele, C. On the evolution of “Cleaner Production” as a concept and a practice. J. Clean. Prod. 2018, 172, 3323–3333. [Google Scholar] [CrossRef]
- Saarinen, J.; Rogerson, C.M. Tourism and the millennium development goals: Perspectives beyond 2015. Tour. Geogr. 2014, 16, 23–30. [Google Scholar] [CrossRef]
- Hall, C.M. Constructing sustainable tourism development: The 2030 agenda and the managerial ecology of sustainable tourism. J. Sustain. Tour. 2019, 27, 1044–1060. [Google Scholar] [CrossRef]
- Cai, G.; Xu, L.; Gao, W. The green B&B promotion strategies for tourist loyalty: Surveying the restart of Chinese national holiday travel after COVID-19. Int. J. Hosp. Manag. 2021, 94, 102704. [Google Scholar]
- Heung, V.C.S.; Kucukusta, D.; Song, H. A conceptual model of medical tourism: Implications for future research. J. Travel Tour. Mark. 2010, 27, 236–251. [Google Scholar] [CrossRef]
- Neuman, L.W. Social Research Methods 6/E; Pearson Education India: Bengaluru, India, 2007; ISBN 8131714640. [Google Scholar]
- Alberti, L.; Angelotti, A.; Antelmi, M.; La Licata, I. Borehole Heat Exchangers in aquifers: Simulation of the grout material impact. Rend. Online Della Soc. Geol. Ital. 2016, 41, 268–271. [Google Scholar] [CrossRef]
- Akuraju, V.; Pradhan, P.; Haase, D.; Kropp, J.P.; Rybski, D. Relating SDG11 indicators and urban scaling—An exploratory study. Sustain. Cities Soc. 2020, 52, 101853. [Google Scholar] [CrossRef]
- Lee, K.F. Sustainable tourism destinations: The importance of cleaner production. J. Clean. Prod. 2001, 9, 313–323. [Google Scholar] [CrossRef]
- Gonzalez-Garcia, S.; Manteiga, R.; Moreira, M.T.; Feijoo, G. Assessing the sustainability of Spanish cities considering environmental and socio-economic indicators. J. Clean. Prod. 2018, 178, 599–610. [Google Scholar] [CrossRef]
- Estêvão, R.S.G.; Ferreira, F.A.F.; Rosa, Á.A.; Govindan, K.; Meidutė-Kavaliauskienė, I. A socio-technical approach to the assessment of sustainable tourism: Adding value with a comprehensive process-oriented framework. J. Clean. Prod. 2019, 236, 117487. [Google Scholar] [CrossRef]
- Cai, G.; Zou, B.; Chi, X.; He, X.; Guo, Y.; Jiang, W.; Wu, Q.; Zhang, Y.; Zhou, Y. Neighborhood Spatio-Temporal Impacts of SDG 8.9: The Case of Urban and Rural Exhibition-Driven Tourism by Multiple Methods. Land 2023, 12, 368. [Google Scholar] [CrossRef]
- Saarinen, J.; Rogerson, C.; Manwa, H. Tourism and Millennium Development Goals: Tourism for Global Development? Taylor Fr. Online 2011, 14, 201–203. [Google Scholar] [CrossRef]
- Bergman, Z.; Bergman, M.M.; Fernandes, K.; Grossrieder, D.; Schneider, L. The contribution of UNESCO chairs toward achieving the UN sustainable development goals. Sustainability 2018, 10, 4471. [Google Scholar] [CrossRef]
- Cai, G.; Xu, L.; Gao, W.; Hong, Y.; Ying, X.; Wang, Y.; Qian, F. The Positive Impacts of Exhibition-Driven Tourism on Sustainable Tourism, Economics, and Population: The Case of the Echigo–Tsumari Art Triennale in Japan. Int. J. Environ. Res. Public Health 2020, 17, 1489. [Google Scholar] [CrossRef]
- Wang, J.; Gooderham, P. Institutional change and regional development in China: The case of commodity trading markets. Environ. Plan. C Gov. Policy 2014, 32, 471–490. [Google Scholar] [CrossRef]
- Camarero, C.; Garrido, M.J.; Vicente, E. Components of art exhibition brand equity for internal and external visitors. Tour. Manag. 2010, 31, 495–504. [Google Scholar] [CrossRef]
- Andersen, V.; Prentice, R.; Guerin, S. Imagery of Denmark among visitors to Danish fine arts exhibitions in Scotland. Tour. Manag. 1997, 18, 453–464. [Google Scholar] [CrossRef]
- Krag, C.W.; Prebensen, N.K. Domestic Nature-Based Tourism in Japan: Spirituality, Novelty and Communing. In Advances in Hospitality and Leisure; Emerald Group Publishing Limited: Bradford, UK, 2016; ISBN 1786356163. [Google Scholar]
- Prebensen, N.K.; Lee, Y.-S.; Kim, H.L. Japanese tourists’ relatedness and connectedness with nature. Beta 2018, 32, 5–19. [Google Scholar] [CrossRef]
- Lee, Y.-S.; Sakuno, S.; Prebensen, N.; Kimura, K. Tracing Shintoism in Japanese nature-based domestic tourism experiences. Cogent Soc. Sci. 2018, 4, 1446671. [Google Scholar] [CrossRef]
- Sigala, M. Tourism and COVID-19: Impacts and implications for advancing and resetting industry and research. J. Bus. Res. 2020, 117, 312–321. [Google Scholar] [CrossRef]
- Hosany, S.; Hunter-Jones, P.; McCabe, S. Emotions in tourist experiences: Advancing our conceptual, methodological and empirical understanding. J. Destin. Mark. Manag. 2020, 16, 100444. [Google Scholar] [CrossRef]
- Kim, S.S.; Chon, K. An economic impact analysis of the Korean exhibition industry. Int. J. Tour. Res. 2009, 11, 311–318. [Google Scholar] [CrossRef]
- Ying, J.; Li-jun, Z. Study on green supply chain management based on circular economy. Phys. Procedia 2012, 25, 1682–1688. [Google Scholar] [CrossRef]
- Ghali, M.A. Tourism and economic growth: An empirical study. Econ. Dev. Cult. Change 1976, 24, 527–538. [Google Scholar] [CrossRef]
- Saint Akadiri, S.; Alola, A.A.; Akadiri, A.C. The role of globalization, real income, tourism in environmental sustainability target. Evidence from Turkey. Sci. Total Environ. 2019, 687, 423–432. [Google Scholar] [CrossRef]
- Jianjun, S.U.; Gennian, S.; Lifang, W. Driving and pulling simulation of tourism on the tertiary industry in China since 1982. Prog. Geogr. 2011, 30, 1047–1055. [Google Scholar]
- Li, S.; Li, H.; Song, H.; Lundberg, C.; Shen, S. The economic impact of on-screen tourism: The case of The Lord of the Rings and the Hobbit. Tour. Manag. 2017, 60, 177–187. [Google Scholar] [CrossRef]
- Brau, R.; Lanza, A.; Pigliaru, F. How fast are small tourism countries growing? Evidence from the data for 1980–2003. Tour. Econ. 2007, 13, 603–613. [Google Scholar] [CrossRef]
- Zaman, K.; Shahbaz, M.; Loganathan, N.; Raza, S.A. Tourism development, energy consumption and Environmental Kuznets Curve: Trivariate analysis in the panel of developed and developing countries. Tour. Manag. 2016, 54, 275–283. [Google Scholar] [CrossRef]
- Hosany, S.; Zeglat, D.; Odeh, K. Measuring Experience Economy Concepts in Tourism: A Replication and Extension. Available online: https://scholarworks.umass.edu/cgi/viewcontent.cgi?article=1505&context=ttra (accessed on 9 August 2016).
- Sigala, M.; Beer, A.; Hodgson, L.; O’Connor, A. Big data for measuring the impact of tourism economic development programmes: A process and quality criteria framework for using big data. In Big Data and Innovation in Tourism, Travel, and Hospitality; Springer: Berlin/Heidelberg, Germany, 2019; pp. 57–73. [Google Scholar]
- Dwyer, L.; Forsyth, P.; Spurr, R. Evaluating tourism’s economic effects: New and old approaches. Tour. Manag. 2004, 25, 307–317. [Google Scholar] [CrossRef]
- Kim, S.S.; Park, J.Y.; Lee, J. Predicted economic impact analysis of a mega-convention using multiplier effects. J. Conv. Event Tour. 2010, 11, 42–61. [Google Scholar] [CrossRef]
- Malthus, T.R.; Bonar, J. First Essay on Population, 1798; Springer: Berlin/Heidelberg, Germany, 1926. [Google Scholar]
- Egidi, G.; Salvati, L.; Vinci, S. The long way to tipperary: City size and worldwide urban population trends, 1950–2030. Sustain. Cities Soc. 2020, 60, 102148. [Google Scholar] [CrossRef]
- Prebensen, N.K.; Xie, J. Efficacy of co-creation and mastering on perceived value and satisfaction in tourists’ consumption. Tour. Manag. 2017, 60, 166–176. [Google Scholar] [CrossRef]
- Chi, X.; Cai, G.; Han, H. Festival travellers’ pro-social and protective behaviours against COVID-19 in the time of pandemic. Taylor Fr. Online 2021, 24, 3256–3270. [Google Scholar] [CrossRef]
- Getz, D. Tourism and population change: Long-term impacts of tourism in the Badenoch and Strathspey district of the Scottish highlands. Scott. Geogr. Mag. 1986, 102, 113–126. [Google Scholar] [CrossRef]
- Khalid, S.; Ahmad, M.S.; Ramayah, T.; Hwang, J.; Kim, I. Community empowerment and sustainable tourism development: The mediating role of community support for tourism. Sustainability 2019, 11, 6248. [Google Scholar] [CrossRef]
- Mallach, A.; Haase, A.; Hattori, K. The shrinking city in comparative perspective: Contrasting dynamics and responses to urban shrinkage. Cities 2017, 69, 102–108. [Google Scholar] [CrossRef]
- Martinez-Fernandez, C.; Weyman, T.; Fol, S.; Audirac, I.; Cunningham-Sabot, E.; Wiechmann, T.; Yahagi, H. Shrinking cities in Australia, Japan, Europe and the USA: From a global process to local policy responses. Prog. Plann. 2016, 105, 1–48. [Google Scholar] [CrossRef]
- BOVEN, T. Assessment of Echigo-Tsumari Art Triennale’S Repurposing of Schools: For a locally designed culture-led revitalization of assets in declining rural areas. J. Archit. Plan. (Trans. AIJ) 2016, 81, 2693–2700. [Google Scholar] [CrossRef]
- Steibl, S.; Laforsch, C. Disentangling the environmental impact of different human disturbances: A case study on islands. Sci. Rep. 2019, 9, 13712. [Google Scholar] [CrossRef] [PubMed]
- Hair, J.F.; Black, W.C.; Babin, B.J.; Anderson, R.E.; Tatham, R.L. Multivariate Data Analysis; Prentice Hall: Upper Saddle River, NJ, USA, 1998; Volume 5. [Google Scholar]
- Islam, N. Growth empirics: A panel data approach. Q. J. Econ. 1995, 110, 1127–1170. [Google Scholar] [CrossRef]
- Donthu, N.; Unal, B. Identifying escalation of commitment in B2B new product development projects using data envelopment analysis. J. Bus. Ind. Mark. 2014, 29, 209–214. [Google Scholar] [CrossRef]
- Naudé, W.A.; Saayman, A. Determinants of tourist arrivals in Africa: A panel data regression analysis. Tour. Econ. 2005, 11, 365–391. [Google Scholar] [CrossRef]
- Hong, Y.; Cai, G.; Mo, Z.; Gao, W.; Xu, L.; Jiang, Y.; Jiang, J. The Impact of COVID-19 on Tourist Satisfaction with B&B in Zhejiang, China: An Importance–Performance Analysis. Int. J. Environ. Res. Public Health 2020, 17, 3747. [Google Scholar]
- Di Lascio, F.M.L.; Giannerini, S.; Scorcu, A.E.; Candela, G. Cultural tourism and temporary art exhibitions in Italy: A panel data analysis. Stat. Methods Appl. 2011, 20, 519–542. [Google Scholar] [CrossRef]
- Oja, H. Descriptive statistics for multivariate distributions. Stat. Probab. Lett. 1983, 1, 327–332. [Google Scholar] [CrossRef]
- Cai, G.; Xu, L.; Gao, W.; Wang, K.; Hong, Y.; Wang, Y. Knowledge archaeology on relations between the Venice Architecture Biennale (1980–2018) and the Pritzker Architecture Prize (1979–2019). J. Asian Archit. Build. Eng. 2021, 21, 1–10. [Google Scholar] [CrossRef]
- Shentema, M.G.; Kumie, A.; Bråtveit, M.; Deressa, W.; Ngowi, A.V.; Moen, B.E. Pesticide use and serum acetylcholinesterase levels among flower farm workers in Ethiopia—A cross-sectional study. Int. J. Environ. Res. Public Health 2020, 17, 964. [Google Scholar] [CrossRef]
- Guaita Martínez, J.M.; Martín Martín, J.M.; Salinas Fernández, J.A.; Mogorrón-Guerrero, H. An analysis of the stability of rural tourism as a desired condition for sustainable tourism. J. Bus. Res. 2019, 100, 165–174. [Google Scholar] [CrossRef]
- Cai, G.; Hong, Y.; Xu, L.; Gao, W.; Wang, K.; Chi, X. An Evaluation of Green Ryokans through a Tourism Accommodation Survey and Customer-Satisfaction-Related CASBEE–IPA after COVID-19 Pandemic. Sustainability 2021, 13, 145. [Google Scholar] [CrossRef]
- Ma, T.; Hong, T.; Zhang, H. Tourism spatial spillover effects and urban economic growth. J. Bus. Res. 2015, 68, 74–80. [Google Scholar] [CrossRef]
- Mo, Z.; Gao, T.; Qu, J.; Cai, G.; Cao, Z.; Jiang, W. An Empirical Study of Carbon Emission Calculation in the Production and Construction Phase of A Prefabricated Office Building from Zhejiang, China. Buildings 2022, 13, 53. [Google Scholar] [CrossRef]
- Granero-Gil, P.; Bastida-Castillo, A.; Rojas-Valverde, D.; Gómez-Carmona, C.D.; de la Cruz Sánchez, E.; Pino-Ortega, J. Influence of Contextual Variables in the Changes of Direction and Centripetal Force Generated during an Elite-Level Soccer Team Season. Int. J. Environ. Res. Public Health 2020, 17, 967. [Google Scholar] [CrossRef] [PubMed]











| Abbreviation | Variables | Year | Name | Sources | |
|---|---|---|---|---|---|
| X1 | N | NO | Before 2010 | the year before the hosting of the ST | ST Official website |
| Y | YES | 2010/2013/2016/2019 | the hosting year of the ST | ||
| B | BETWEENNESS | 2011/2012/2014/2015/2017/2018/ | the year between the hosting of the ST | ||
| Types of Economic Activities Based on Japan | Local Tourism (1996–2019) | Local Economics (2006–2017) | Local Population (2006–2017) | ||||
|---|---|---|---|---|---|---|---|
| Fisheries/agriculture | TN | II 1 | PII | SII | TII | PCI | LP 1 |
| Mining industry | II 2 | LP 2 | |||||
| Manufacturing | II 3 | LP 3 | |||||
| Electricity/gas/water/waste disposal | II 4 | LP 4 | |||||
| Construction industry | II 5 | LP 5 | |||||
| Retail | II 6 | LP 6 | |||||
| Transportation/Postal industry | II 7 | LP 7 | |||||
| Accommodation and food service industry | II 8 | LP 8 | |||||
| Information and communication industry | II 9 | LP 9 | |||||
| Finance/Insurance | II 10 | LP 10 | |||||
| real estate business | II 11 | LP 11 | |||||
| Specialization (science, technology, business service) industry | II 12 | LP 12 | |||||
| Public affairs | II 13 | LP 13 | |||||
| Education | II 14 | LP 14 | |||||
| Health and social services | II 15 | LP 15 | |||||
| Other services | II 16 | LP 16 | |||||
| Total | II 17 | LP 17 | |||||
| Sum of Squares | df | Mean Square | F | Sig. | Sum of Squares | df | Mean Square | F | Sig. | |||
|---|---|---|---|---|---|---|---|---|---|---|---|---|
| BG | TN | 11,717,126 | 2 | 5,858,563 | 33.217 | 0.000 | LP1 | 68,235,414 | 2 | 34,117,707 | 14.153 | 0.002 |
| WG | 3,703,860 | 21 | 176,374 | 21,696,287 | 9 | 2,410,699 | ||||||
| To | 15,420,985 | 23 | 89,931,701 | 11 | ||||||||
| BG | II1 | 105,415,269 | 2 | 52,707,634.4 | 4.886 | 0.037 | LP2 | 46,525 | 2 | 23,263 | 7.563 | 0.012 |
| WG | 97,080,066 | 9 | 10,786,674.0 | 27,684 | 9 | 3076 | ||||||
| To | 202,495,335 | 11 | 74,209 | 11 | ||||||||
| BG | II2 | 1,150,806 | 2 | 575,403.1 | 6.442 | 0.018 | LP5 | 59,486,059 | 2 | 29,743,030 | 18.293 | 0.001 |
| WG | 803,878 | 9 | 89,319.7 | 14,633,563 | 9 | 1,625,951 | ||||||
| To | 1,954,684 | 11 | 74,119,623 | 11 | ||||||||
| BG | II6 | 1,235,103,035 | 2 | 617,551,517.6 | 4.774 | 0.039 | LP6 | 339,869,979 | 2 | 169,934,989 | 8.423 | 0.009 |
| WG | 1,164,231,820 | 9 | 129,359,091.1 | 181,576,898 | 9 | 20,175,211 | ||||||
| To | 2,399,334,855 | 11 | 521,446,877 | 11 | ||||||||
| BG | II8 | 18,842,164 | 2 | 9,421,082.1 | 4.599 | 0.042 | LP8 | 827,279 | 2 | 413,640 | 0.372 | 0.699 |
| WG | 18,434,840 | 9 | 2,048,315.5 | 9,996,065 | 9 | 1,110,674 | ||||||
| To | 37,277,004 | 11 | 10,823,345 | 11 | ||||||||
| BG | II9 | 467,551,295 | 2 | 233,775,647.6 | 7.449 | 0.012 | LP9 | 44,876 | 2 | 22,438 | 4.696 | 0.040 |
| WG | 282,442,143 | 9 | 31,382,460.3 | 43,007 | 9 | 4779 | ||||||
| To | 749,993,438 | 11 | 87,883 | 11 | ||||||||
| BG | II10 | 4,388,525,106 | 2 | 2,194,262,553.2 | 6.807 | 0.016 | LP10 | 36,7405 | 2 | 18,3703 | 4.436 | 0.046 |
| WG | 2,901,122,905 | 9 | 322,346,989.4 | 372,682 | 9 | 41,409 | ||||||
| To | 7,289,648,011 | 11 | 740,088 | 11 | ||||||||
| BG | II11 | 2,340,911,361 | 2 | 1,170,455,680.5 | 4.814 | 0.038 | LP11 | 798,200 | 2 | 399,100 | 11.823 | 0.003 |
| WG | 2,188,261,404 | 9 | 243,140,156.0 | 303,795 | 9 | 33,755 | ||||||
| To | 4,529,172,765 | 11 | 1,101,995 | 11 | ||||||||
| BG | II13 | 375,011,289 | 2 | 187,505,644.7 | 6.323 | 0.019 | LP12 | 10,529,993 | 2 | 5,264,996 | 4.516 | 0.044 |
| WG | 266,908,127 | 9 | 29,656,458.5 | 10,492,256 | 9 | 1,165,806 | ||||||
| To | 641,919,416 | 11 | 21,022,249 | 11 | ||||||||
| BG | II15 | 3,546,320,361 | 2 | 1,773,160,180.6 | 13.694 | 0.002 | LP14 | 447,658 | 2 | 223,829 | 10.688 | 0.004 |
| WG | 1,165,344,224 | 9 | 129,482,691.5 | 188,478 | 9 | 20,942 | ||||||
| To | 4,711,664,585 | 11 | 636,136 | 11 | ||||||||
| BG | II16 | 2,506,741,190 | 2 | 1,253,370,595.0 | 13.988 | 0.002 | LP15 | 225,214,030 | 2 | 112,607,015 | 11.458 | 0.003 |
| WG | 806,443,243 | 9 | 89,604,804.8 | 88,447,920 | 9 | 9,827,547 | ||||||
| To | 3,313,184,433 | 11 | 313,661,950 | 11 |
| (I) | (J) | DV | MD(I-J) | Std. Error | Sig. | DV | MD(I-J) | Std. Error | Sig. | DV | MD(I-J) | Std. Error | Sig. | DV | MD(I-J) | Std. Error | Sig. |
|---|---|---|---|---|---|---|---|---|---|---|---|---|---|---|---|---|---|
| Y | N | TN | 1496 * | 238 | 0 | II9 | −12,547 * | 4279 | 0.017 | LP9 | −117 | 53 | 0.054 | ||||
| Y | B | 136 | 271 | 0.62 | 1063 | 4091 | 0.801 | 19 | 50 | 0.716 | |||||||
| B | N | 1360 * | 205 | 0 | −13,610 * | 3758 | 0.006 | −136 * | 46 | 0.017 | |||||||
| Y | N | II10 | −39,867 * | 13,713 | 0.017 | LP1 | −4767 * | 1186 | 0.003 | LP10 | −308 | 155 | 0.079 | ||||
| Y | B | 1104 | 13,112 | 0.935 | 444 | 1134 | 0.704 | 90 | 149 | 0.561 | |||||||
| B | N | −40,971 * | 12,044 | 0.008 | −5211 * | 1042 | 0.001 | −397 * | 137 | 0.017 | |||||||
| Y | N | II1 | 7752 * | 2508 | 0.013 | II11 | 28,907 * | 11,909 | 0.038 | LP2 | −121 * | 42 | 0.019 | LP11 | 506 * | 140 | 0.006 |
| Y | B | 5335 | 2399 | 0.053 | −1130 | 11,387 | 0.923 | 16 | 41 | 0.696 | −62 | 134 | 0.655 | ||||
| B | N | 2417 | 2203 | 0.301 | 30,037 * | 10,460 | 0.018 | −138 * | 37 | 0.005 | 568 * | 123 | 0.001 | ||||
| Y | N | II2 | −651 * | 228 | 0.019 | II13 | −12,377 * | 4159 | 0.016 | LP5 | −4515 * | 974 | 0.001 | LP12 | −2024 * | 825 | 0.036 |
| Y | B | 10 | 218 | 0.965 | −865 | 3977 | 0.833 | 321 | 931 | 0.738 | −60 | 789 | 0.941 | ||||
| N | N | −661 * | 200 | 0.009 | −11,512 * | 3653 | 0.012 | −4836 * | 855 | 0 | −1964 * | 724 | 0.024 | ||||
| Y | N | II6 | 21,224 * | 8687 | 0.037 | II15 | 34,695 * | 8691 | 0.003 | LP6 | −10,026 * | 3431 | 0.017 | LP14 | 366 * | 111 | 0.009 |
| Y | B | −470 | 8306 | 0.956 | −2722 | 8310 | 0.751 | 1851 | 3280 | 0.586 | −65 | 106 | 0.556 | ||||
| B | N | 21,694 * | 7630 | 0.019 | 37,417 * | 7633 | 0.001 | −11,876 * | 3013 | 0.003 | 430 * | 97 | 0.002 | ||||
| Y | N | II8 | 1947 | 1093 | 0.109 | II16 | −31,425 * | 7230 | 0.002 | LP8 | 687 | 805 | 0.416 | LP15 | 8413 * | 2394 | 0.007 |
| Y | B | −945 | 1045 | 0.389 | −1253 | 6913 | 0.86 | 314 | 770 | 0.693 | −1161 | 2289 | 0.624 | ||||
| B | N | 2892 * | 960 | 0.015 | −30,172 * | 6350 | 0.001 | 373 | 707 | 0.61 | 9574 * | 2103 | 0.001 |
| N | Mean | Std. Deviation | Std. Error | Mean | Std. Deviation | Std. Error | Mean | Std. Deviation | Std. Error | Mean | Std. Deviation | Std. Error | |||||
|---|---|---|---|---|---|---|---|---|---|---|---|---|---|---|---|---|---|
| N | 4 | TN | 8232 | 331 | 165 | II9 | 104,091 | 7476 | 3738 | LP9 | 7250 | 22 | 11 | ||||
| Y | 3 | 9118 | 284 | 164 | 91,544 | 4429 | 2557 | 7133 | 87 | 50 | |||||||
| B | 5 | 9066 | 289 | 129 | 90,481 | 4346 | 1943 | 7114 | 81 | 36 | |||||||
| Total | 12 | 8801 | 502 | 145 | 95,283 | 8257 | 2384 | 7164 | 89 | 26 | |||||||
| N | 4 | II10 | 208,741 | 30,168 | 15,084 | LP1 | 31,363 | 1704 | 852 | LP10 | 12,484 | 4 | 2 | ||||
| Y | 3 | 168,875 | 8291 | 4787 | 26,596 | 1682 | 971 | 12,176 | 279 | 161 | |||||||
| B | 5 | 167,771 | 2886 | 1291 | 26,151 | 1353 | 605 | 12,086 | 233 | 104 | |||||||
| Total | 12 | 181,704 | 25,743 | 7431 | 28,000 | 2859 | 825 | 12,241 | 259 | 75 | |||||||
| N | 4 | II1 | 49,575 | 259 | 129 | II11 | 380,594 | 18,481 | 9241 | LP2 | 516 | 47 | 24 | LP11 | 4842 | 252 | 126 |
| Y | 3 | 57,327 | 2796 | 1614 | 409,501 | 12,725 | 7347 | 394 | 75 | 43 | 5347 | 141 | 81 | ||||
| B | 5 | 51,992 | 4507 | 2015 | 410,631 | 14,489 | 6480 | 378 | 49 | 22 | 5409 | 136 | 61 | ||||
| Total | 12 | 52,520 | 4291 | 1239 | 400,336 | 20,291 | 5858 | 428 | 82 | 24 | 5205 | 317 | 91 | ||||
| N | 4 | II2 | 4649 | 274 | 137 | II13 | 198,952 | 4758 | 2379 | LP5 | 43,637 | 1792 | 896 | LP12 | 31,677 | 1640 | 820 |
| Y | 3 | 3998 | 407 | 235 | 186,575 | 8780 | 5069 | 39,122 | 1106 | 638 | 29,653 | 534 | 308 | ||||
| B | 5 | 3988 | 248 | 111 | 187,440 | 3346 | 1497 | 38,801 | 799 | 357 | 29,713 | 680 | 304 | ||||
| Total | 12 | 4211 | 422 | 122 | 191,061 | 7639 | 2205 | 40,493 | 2596 | 749 | 30,353 | 1382 | 399 | ||||
| N | 4 | II6 | 460,370 | 12,185 | 6092 | II15 | 311,217 | 5069 | 2535 | LP6 | 94,850 | 1660 | 830 | LP14 | 18,022 | 140 | 70 |
| Y | 3 | 481,594 | 7512 | 4337 | 345,911 | 14,099 | 8140 | 84,824 | 6478 | 3740 | 18,388 | 206 | 119 | ||||
| B | 5 | 482,064 | 12,308 | 5505 | 348,633 | 13,141 | 5877 | 82,973 | 4727 | 2114 | 18,453 | 106 | 47 | ||||
| Total | 12 | 474,715 | 14,769 | 4263 | 335,480 | 20,696 | 5974 | 87,395 | 6885 | 1988 | 18,293 | 240 | 69 | ||||
| N | 4 | II8 | 110,014 | 356 | 178 | II16 | 205,758 | 14,445 | 7223 | LP8 | 25,701 | 967 | 483 | LP15 | 55,425 | 2124 | 1062 |
| Y | 3 | 111,960 | 2572 | 1485 | 174,333 | 6772 | 3910 | 26,388 | 1225 | 707 | 63,838 | 4180 | 2413 | ||||
| B | 5 | 112,905 | 1098 | 491 | 175,585 | 4709 | 2106 | 26,074 | 1024 | 458 | 64,999 | 3161 | 1414 | ||||
| Total | 12 | 111,705 | 1841 | 531 | 185,330 | 17355 | 5010 | 26,028 | 992 | 286 | 61,517 | 5340 | 1542 |
| Model | R | R Square | Adjusted R Square | Std. Error of the Estimate | Change Statistics | ||||
|---|---|---|---|---|---|---|---|---|---|
| R Square Change | F Change | df1 | df2 | Sig. | |||||
| a | 0.943 a | 0.889 | 0.756 | 46,206.400 | 0.889 | 6.673 | 6 | 5 | 0.027 |
| b | 0.982 a | 0.964 | 0.922 | 18,835.367 | 0.964 | 22.538 | 6 | 5 | 0.002 |
| c | 0.940 a | 0.884 | 0.745 | 45,015.48309 | 0.884 | 6.347 | 6 | 5 | 0.030 |
| Model | R | R Square | Adjusted R Square | Std. Error of the Estimate | Change Statistics | ||||
|---|---|---|---|---|---|---|---|---|---|
| R Square Change | F Change | df1 | df2 | Sig. | |||||
| 1 | 0.997 a | 0.993 | 0.963 | 1914.32402 | 0.993 | 32.740 | 9 | 2 | 0.030 |
Disclaimer/Publisher’s Note: The statements, opinions and data contained in all publications are solely those of the individual author(s) and contributor(s) and not of MDPI and/or the editor(s). MDPI and/or the editor(s) disclaim responsibility for any injury to people or property resulting from any ideas, methods, instructions or products referred to in the content. |
© 2023 by the authors. Licensee MDPI, Basel, Switzerland. This article is an open access article distributed under the terms and conditions of the Creative Commons Attribution (CC BY) license (https://creativecommons.org/licenses/by/4.0/).
Share and Cite
Cai, G.; Wang, J.; Lue, A.; Xu, S.; Wu, Q.; Liu, K.; Gao, T.; Du, P.; Lei, B. From Pollution to Green and Low-Carbon Island Revitalization: Implications of Exhibition-Driven Sustainable Tourism (Triennale) for SDG 8.9 in Setouchi. Processes 2023, 11, 623. https://doi.org/10.3390/pr11020623
Cai G, Wang J, Lue A, Xu S, Wu Q, Liu K, Gao T, Du P, Lei B. From Pollution to Green and Low-Carbon Island Revitalization: Implications of Exhibition-Driven Sustainable Tourism (Triennale) for SDG 8.9 in Setouchi. Processes. 2023; 11(2):623. https://doi.org/10.3390/pr11020623
Chicago/Turabian StyleCai, Gangwei, Jie Wang, Anyi Lue, Shiwen Xu, Qian Wu, Kang Liu, Tianyu Gao, Pengcheng Du, and Bin Lei. 2023. "From Pollution to Green and Low-Carbon Island Revitalization: Implications of Exhibition-Driven Sustainable Tourism (Triennale) for SDG 8.9 in Setouchi" Processes 11, no. 2: 623. https://doi.org/10.3390/pr11020623
APA StyleCai, G., Wang, J., Lue, A., Xu, S., Wu, Q., Liu, K., Gao, T., Du, P., & Lei, B. (2023). From Pollution to Green and Low-Carbon Island Revitalization: Implications of Exhibition-Driven Sustainable Tourism (Triennale) for SDG 8.9 in Setouchi. Processes, 11(2), 623. https://doi.org/10.3390/pr11020623

