Effects of Mineral Admixtures on the Evolution of Static Yield Stress of Different Composite Pastes
Abstract
1. Introduction
2. Experimental
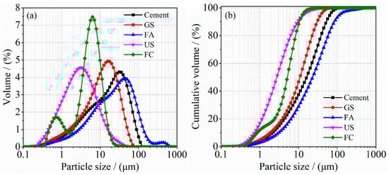
2.1. Materials
2.2. Mix Proportions
2.3. Test Methods
2.3.1. Test for Structural Build-Up of Paste
2.3.2. Water Film Thickness
- (1)
- Different W/B ratios at which the wet packing test was to be carried out were set. The required quantities of materials, water and PCE were weighed.
- (2)
- All powder materials were then premixed for 2 min.
- (3)
- Next, all the water, half of the cementitious materials and PCE were added to a mixing bowl and stirred for 2 min.
- (4)
- The remaining cementitious materials and PCE were divided into four equal parts, then one part of cementitious material and PCE was added each time and stirred for 3 min.
- (5)
- After mixing, the paste was poured into the prepared volumetric cylinder. The surface of the cylinder was scraped, and the mass of the paste was weighed.
- (6)
- The above steps were repeated under different W/B ratios, and then the following expressions were applied to calculate the solid concentration and voids ratio of the system based on the measured mass of paste, until the maximum solid concentration and minimum voids ratio were found.
3. Results and Discussion
3.1. Common Pastes
3.1.1. Initial Static Yield Stress
3.1.2. The Evolution of Static Yield Stress
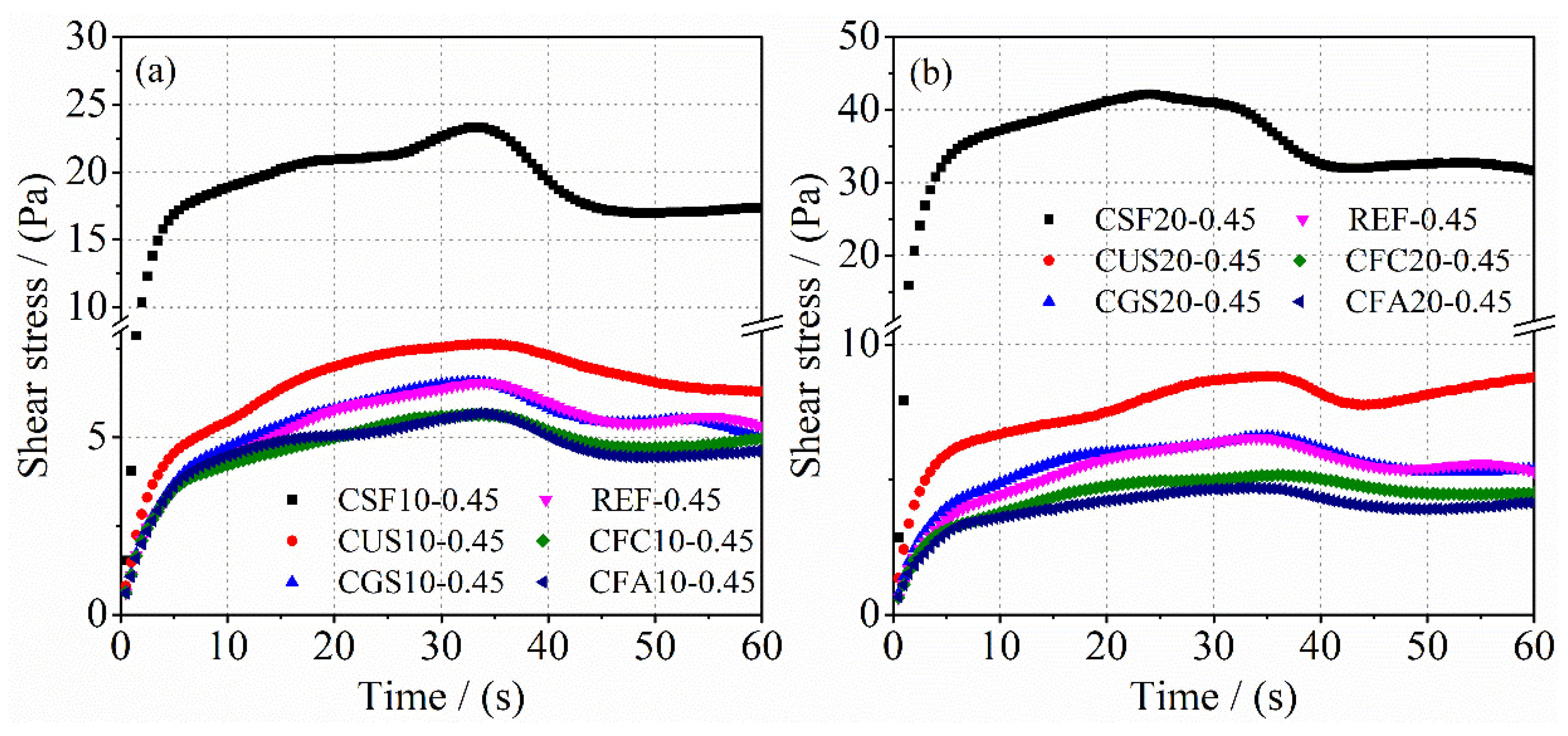
3.2. UHPC-Based System
3.2.1. Initial Static Yield Stress
3.2.2. The Evolution of Static Yield Stress
3.3. Discussion
3.3.1. Influence Mechanism of Mineral Admixture on Initial Static Yield Stress of Paste
3.3.2. Influence Mechanism of Mineral Admixture on the Evolution of Static Yield Stress of Paste
4. Conclusions
- (1)
- The initial static yield stress of pastes is the combination of the force that pushes the particles to move and the force that destroys the structural network that rapidly forms during the test (within tens of seconds). For the common pastes, the strong Brownian motion of small particles and its effect of promoting the dissolution of cement particles can increase the initial static yield stress of pastes. The addition of ultrafine slag or silica fume increases the initial static yield stress of pastes in turn, while the addition of fly ash or fly ash microbeads successively reduces the initial static yield stress of the paste. Adding slag has no effect on the initial static yield stress of the paste.
- (2)
- For UHPC-based pastes with similar fluidity, the addition of small particles can promote the relative movement among particles under the shear force, thus reducing the initial static yield stress of pastes. The initial static yield stress of pastes can be effectively decreased by adding 10% of silica fume. With the increase of the silica fume content, the initial static yield stress of paste increases greatly. Addition of fly ash also increases the static yield stress of paste, which is higher than that of other systems. When slag, fly ash microbeads or ultrafine slag are added, the static yield stress of pastes gradually decreases.
- (3)
- The main factors affecting the evolution of static yield stress of pastes are the particle distance and the formation and growth rate of hydration products. For common pastes, at any test moment, silica fume has the strongest ability to increase the static yield stress of pastes, followed by ultrafine slag. The static yield stress of the paste containing slag or fly ash is successively lower than that of the blank group. The static yield stress of the paste with small dosage of fly ash microbeads is slightly higher than that of the blank group at the early stage. At the later stage, the static yield stress of the paste containing fly ash microbeads is the lowest.
- (4)
- The high solid content and the addition of PCE change the particle packing distribution and hydration reaction rate of UHPC-based pastes, thereby affecting their evolution of static yield stress. At the later stage of the test, the static yield stress of the paste containing fly ash microbeads, slag, ultrafine slag and fly ash increases sequentially compared with that of the blank group. The static yield stress of the paste with 10% of silica fume is higher than that of the blank group, while it is lower when the content of silica fume is 20%.
Author Contributions
Funding
Institutional Review Board Statement
Informed Consent Statement
Data Availability Statement
Acknowledgments
Conflicts of Interest
References
- Costanzi, C.B.; Ahmed, Z.Y.; Schipper, H.R.; Bos, F.P.; Knaack, U.; Wolfs, R.J.M. 3D Printing Concrete on temporary surfaces: The design and fabrication of a concrete shell structure. Autom. Constr. 2018, 94, 395–404. [Google Scholar] [CrossRef]
- Lim, J.H.; Weng, Y.; Pham, Q.-C. 3D printing of curved concrete surfaces using Adaptable Membrane Formwork. Constr. Build. Mater. 2020, 232, 117075. [Google Scholar] [CrossRef]
- Weng, Y.; Li, M.; Ruan, S.; Wong, T.N.; Tan, M.J.; Yeong, K.L.O.; Qian, S. Comparative economic, environmental and productivity assessment of a concrete bathroom unit fabricated through 3D printing and a precast approach. J. Clean. Prod. 2020, 261, 121245. [Google Scholar] [CrossRef]
- Lim, S.; Buswell, R.A.; Le, T.T.; Austin, S.A.; Gibb, A.G.F.; Thorpe, T. Developments in construction-scale additive manufacturing processes. Autom. Constr. 2012, 21, 262–268. [Google Scholar] [CrossRef]
- Zhang, J.; Wang, J.; Dong, S.; Yu, X.; Han, B. A review of the current progress and application of 3D printed concrete. Compos. Part A Appl. Sci. Manuf. 2019, 125, 105533. [Google Scholar] [CrossRef]
- Buswell, R.A.; De Silva, W.R.L.; Jones, S.Z.; Dirrenberger, J. 3D printing using concrete extrusion: A roadmap for research. Cem. Concr. Res. 2018, 112, 37–49. [Google Scholar] [CrossRef]
- Marchment, T.; Sanjayan, J. Mesh reinforcing method for 3D Concrete Printing. Autom. Constr. 2020, 109, 102992. [Google Scholar] [CrossRef]
- Marchment, T.; Sanjayan, J.; Xia, M. Method of enhancing interlayer bond strength in construction scale 3D printing with mortar by effective bond area amplification. Mater. Des. 2019, 169, 107684. [Google Scholar] [CrossRef]
- Lapasin, R.; Longo, V.; Rajgelj, S. Thixotropic Behavior of Cement Pastes. Cem. Concr. Res. 1979, 9, 309–318. [Google Scholar] [CrossRef]
- Khayat, K.H.; Saric-Coric, M.; Liotta, F. Influence of thixotropy on stability characteristics of cement grout and concrete. Aci Mater. J. 2002, 99, 234–241. [Google Scholar]
- Mewis, J.; Wagner, N.J. Thixotropy. Adv. Colloid Interface Sci. 2009, 147–148, 214–227. [Google Scholar] [CrossRef]
- Ferron, R.D.; Shah, S.; Fuente, E.; Negro, C. Aggregation and breakage kinetics of fresh cement paste. Cem. Concr. Res. 2013, 50, 1–10. [Google Scholar] [CrossRef]
- Yim, H.J.; Kim, J.H.; Shah, S.P. Cement particle flocculation and breakage monitoring under Couette flow. Cem. Concr. Res. 2013, 53, 36–43. [Google Scholar] [CrossRef]
- Roussel, N. Understanding the Rheology of Concrete; Elsevier: Amsterdam, The Netherlands, 2012. [Google Scholar]
- Omran, A.F.; Khayat, K.H. Choice of thixotropic index to evaluate formwork pressure characteristics of self-consolidating concrete. Cem. Concr. Res. 2014, 63, 89–97. [Google Scholar] [CrossRef]
- Omran, A.F.; Naji, S.; Khayat, K.H. Portable Vane Test to Assess Structural Buildup at Rest of Self-Consolidating Concrete. Aci Mater. J. 2011, 108, 628–637. [Google Scholar]
- Roussel, N. Rheological requirements for printable concretes. Cem. Concr. Res. 2018, 112, 76–85. [Google Scholar] [CrossRef]
- Mahaut, F.; Mokéddem, S.; Chateau, X.; Roussel, N.; Ovarlez, G. Effect of coarse particle volume fraction on the yield stress and thixotropy of cementitious materials. Cem. Concr. Res. 2008, 38, 1276–1285. [Google Scholar] [CrossRef]
- Perrot, A.; Lecompte, T.; Khelifi, H.; Brumaud, C.; Hot, J.; Roussel, N. Yield stress and bleeding of fresh cement pastes. Cem. Concr. Res. 2012, 42, 937–944. [Google Scholar] [CrossRef]
- Mahaut, F.; Chateau, X.; Coussot, P.; Ovarlez, G. Yield stress and elastic modulus of suspensions of noncolloidal particles in yield stress fluids. J. Rheol. 2008, 52, 287–313. [Google Scholar] [CrossRef]
- Yuan, Q.; Zhou, D.; Khayat, K.H.; Feys, D.; Shi, C. On the measurement of evolution of structural build-up of cement paste with time by static yield stress test vs. small amplitude oscillatory shear test. Cem. Concr. Res. 2017, 99, 183–189. [Google Scholar] [CrossRef]
- Cheng, D.C.-H.; Evans, F. Phenomenological characterization of the rheological behaviour of inelastic reversible thixotropic and antithixotropic fluids. Br. J. Appl. Phys. 1965, 16, 1599–1617. [Google Scholar] [CrossRef]
- Papo, A. The thixotropic behavior of white Portland cement pastes. Cem. Concr. Res. 1988, 18, 595–603. [Google Scholar] [CrossRef]
- Coussot, P.; Nguyen, Q.D.; Huynh, H.T.; Bonn, D. Viscosity bifurcation in thixotropic, yielding fluids. J. Rheol. 2002, 46, 573–589. [Google Scholar] [CrossRef]
- Roussel, N. A thixotropy model for fresh fluid concretes: Theory, validation and applications. Cem. Concr. Res. 2006, 36, 1797–1806. [Google Scholar] [CrossRef]
- Perrot, A.; Rangeard, D.; Pierre, A. Structural built-up of cement-based materials used for 3D-printing extrusion techniques. Mater. Struct. 2016, 49, 1213–1220. [Google Scholar] [CrossRef]
- Schneider, M.; Romer, M.; Tschudin, M.; Bolio, H. Sustainable cement production—Present and future. Cem. Concr. Res. 2011, 41, 642–650. [Google Scholar] [CrossRef]
- Lothenbach, B.; Scrivener, K.; Hooton, R.D. Supplementary cementitious materials. Cem. Concr. Res. 2011, 41, 1244–1256. [Google Scholar] [CrossRef]
- Juenger, M.C.G.; Siddique, R. Recent advances in understanding the role of supplementary cementitious materials in concrete. Cem. Concr. Res. 2015, 78, 71–80. [Google Scholar] [CrossRef]
- Ahari, R.S.; Erdem, T.K.; Ramyar, K. Thixotropy and structural breakdown properties of self consolidating concrete containing various supplementary cementitious materials. Cem. Concr. Compos. 2015, 59, 26–37. [Google Scholar] [CrossRef]
- Assaad, J.; Khayat, K.H. Assessment of thixotropy of self-consolidating concrete and concrete-equivalent-mortar-effect of binder composition and content. Aci Mater. J. 2004, 101, 400–408. [Google Scholar]
- Yuan, Q.; Zhou, D.; Li, B.; Huang, H.; Shi, C. Effect of mineral admixtures on the structural build-up of cement paste. Constr. Build. Mater. 2018, 160, 117–126. [Google Scholar] [CrossRef]
- Liu, Z.; Li, M.; Weng, Y.; Wong, T.N.; Tan, M.J. Mixture Design Approach to optimize the rheological properties of the material used in 3D cementitious material printing. Constr. Build. Mater. 2019, 198, 245–255. [Google Scholar] [CrossRef]
- Chen, M.; Li, L.; Zheng, Y.; Zhao, P.; Lu, L.; Cheng, X. Rheological and mechanical properties of admixtures modified 3D printing sulphoaluminate cementitious materials. Constr. Build. Mater. 2018, 189, 601–611. [Google Scholar] [CrossRef]
- Chen, M.; Liu, B.; Li, L.; Cao, L.; Huang, Y.; Wang, S.; Zhao, P.; Lu, L.; Cheng, X. Rheological parameters, thixotropy and creep of 3D-printed calcium sulfoaluminate cement composites modified by bentonite. Compos. Part B Eng. 2020, 186, 107821. [Google Scholar] [CrossRef]
- Kawashima, S.; Chaouche, M.; Corr, D.J.; Shah, S.P. Rate of thixotropic rebuilding of cement pastes modified with highly purified attapulgite clays. Cem. Concr. Res. 2013, 53, 112–118. [Google Scholar] [CrossRef]
- Quanji, Z.; Lomboy, G.R.; Wang, K. Influence of nano-sized highly purified magnesium alumino silicate clay on thixotropic behavior of fresh cement pastes. Constr. Build. Mater. 2014, 69, 295–300. [Google Scholar] [CrossRef]
- Panda, B.; Singh, G.V.P.B.; Unluer, C.; Tan, M.J. Synthesis and characterization of one-part geopolymers for extrusion based 3D concrete printing. J. Clean. Prod. 2019, 220, 610–619. [Google Scholar] [CrossRef]
- CEN. Cement. Part 1: Composition, Specifications and Conformity Criteria for Common Cements; European Committee for Standardization: Brussels, Belgium, 2011. [Google Scholar]
- Ghasemi, Y.; Emborg, M.; Cwirzen, A. Estimation of specific surface area of particles based on size distribution curve. Mag. Concr. Res. 2018, 70, 533–540. [Google Scholar] [CrossRef]
- Ghasemi, Y.; Emborg, M.; Cwirzen, A. Quantification of the Shape of Particles for Calculating Specific Surface Area of Powders. In Proceedings of the International RILEM Conference on Materials, Systems and Structures in Civil Engineering Conference Segment on Simulation Tools Used in the Execution Phase of Concrete Structures, Lyngby, Denmark, 22–24 August 2016. [Google Scholar]
- Mostafa, A.M.; Yahia, A. Performance evaluation of different rheometric shearing techniques to disperse concentrated cement suspension. Appl. Rheol. 2015, 25, 23–31. [Google Scholar]
- Kwan, A.K.H.; Fung, W.W.S.; Wong, H.H.C. Water film thickness, flowability and rheology of cement-sand mortar. Adv. Cem. Res. 2010, 22, 3–14. [Google Scholar] [CrossRef]
- Kwan, A.K.H.; Li, L.G. Combined effects of water film thickness and paste film thickness on rheology of mortar. Mater. Struct. 2012, 45, 1359–1374. [Google Scholar] [CrossRef]
- Wong, H.H.C.; Kwan, A.K.H. Packing density of cementitious materials: Part 1—Measurement using a wet packing method. Mater. Struct. 2008, 41, 689–701. [Google Scholar] [CrossRef]
- Kwan, A.K.H.; Wong, H.H.C. Packing density of cementitious materials: Part 2—Packing and flow of OPC plus PFA plus CSF. Mater. Struct. 2008, 41, 773–784. [Google Scholar] [CrossRef]
- Jakob, C.; Jansen, D.; Ukrainczyk, N.; Koenders, E.; Pott, U.; Stephan, D.; Neubauer, J. Relating Ettringite Formation and Rheological Changes during the Initial Cement Hydration: A Comparative Study Applying XRD Analysis, Rheological Measurements and Modeling. Materials 2019, 12, 2957. [Google Scholar] [CrossRef]
- Thomas, J.J.; Biernacki, J.J.; Bullard, J.W.; Bishnoi, S.; Dolado, J.S.; Scherer, G.W.; Luttge, A. Modeling and simulation of cement hydration kinetics and microstructure development. Cem. Concr. Res. 2011, 41, 1257–1278. [Google Scholar] [CrossRef]














| Material | SiO2 | Al2O3 | Fe2O3 | CaO | MgO | SO3 | Na2Oeq | LOI |
|---|---|---|---|---|---|---|---|---|
| Cement | 22.11 | 4.43 | 3.13 | 62.38 | 2.28 | 2.62 | 0.53 | 2.04 |
| SF | 96.36 | 0.33 | 0.05 | 0.58 | 0.34 | 1.05 | 0.86 | 2.11 |
| GS | 26.76 | 15.26 | 0.77 | 45.92 | 6.30 | 1.16 | 0.79 | 1.30 |
| US | 24.11 | 13.92 | 0.90 | 51.16 | 5.40 | 1.89 | 0.54 | 1.66 |
| FA | 45.52 | 34.39 | 7.34 | 6.45 | 0.70 | 0.60 | 1.22 | 5.08 |
| FC | 47.62 | 30.92 | 8.61 | 5.27 | 0.73 | 0.88 | 1.59 | 2.32 |
| Material | Cement | SF | GS | US | FA | FC |
|---|---|---|---|---|---|---|
| Density | 3.15 | 2.24 | 2.89 | 2.89 | 2.34 | 2.47 |
| Material | Cement | SF | GS | US | FA | FC |
|---|---|---|---|---|---|---|
| Specific surface | 367 | 17,195 | 446 | 1162 | 369 | 904 |
| Samples | Cement (v/%) | SF (v/%) | GS (v/%) | US (v/%) | FA (v/%) | FC (v/%) | PCE (w/%) | W/B Ratio |
|---|---|---|---|---|---|---|---|---|
| REF-0.45 | 100 | - | - | - | - | - | - | 0.45 |
| CSF10/20-0.45 | 90/80 | 10/20 | - | - | - | - | - | 0.45 |
| CGS10/20-0.45 | 90/80 | - | 10/20 | - | - | - | - | 0.45 |
| CUS10/20-0.45 | 90/80 | - | - | 10/20 | - | - | - | 0.45 |
| CFA10/20-0.45 | 90/80 | - | - | - | 10/20 | - | - | 0.45 |
| CFC10/20-0.45 | 90/80 | - | - | - | - | 10/20 | - | 0.45 |
| REF-0.18 | 100 | - | - | - | - | - | 0.8 | 0.18 |
| CSF10/20-0.18 | 90/80 | 10/20 | - | - | - | - | 0.74/1.1 | 0.18 |
| CGS10/20-0.18 | 90/80 | - | 10/20 | - | - | - | 0.62/0.53 | 0.18 |
| CUS10/20-0.18 | 90/80 | - | - | 10/20 | - | - | 0.55/0.45 | 0.18 |
| CFA10/20-0.18 | 90/80 | - | - | - | 10/20 | - | 0.85/0.95 | 0.18 |
| CFC10/20-0.18 | 90/80 | - | - | - | - | 10/20 | 0.6/0.49 | 0.18 |
Disclaimer/Publisher’s Note: The statements, opinions and data contained in all publications are solely those of the individual author(s) and contributor(s) and not of MDPI and/or the editor(s). MDPI and/or the editor(s) disclaim responsibility for any injury to people or property resulting from any ideas, methods, instructions or products referred to in the content. |
© 2023 by the authors. Licensee MDPI, Basel, Switzerland. This article is an open access article distributed under the terms and conditions of the Creative Commons Attribution (CC BY) license (https://creativecommons.org/licenses/by/4.0/).
Share and Cite
Liu, Y.; Jing, R.; Yan, P. Effects of Mineral Admixtures on the Evolution of Static Yield Stress of Different Composite Pastes. Processes 2023, 11, 614. https://doi.org/10.3390/pr11020614
Liu Y, Jing R, Yan P. Effects of Mineral Admixtures on the Evolution of Static Yield Stress of Different Composite Pastes. Processes. 2023; 11(2):614. https://doi.org/10.3390/pr11020614
Chicago/Turabian StyleLiu, Yu, Rui Jing, and Peiyu Yan. 2023. "Effects of Mineral Admixtures on the Evolution of Static Yield Stress of Different Composite Pastes" Processes 11, no. 2: 614. https://doi.org/10.3390/pr11020614
APA StyleLiu, Y., Jing, R., & Yan, P. (2023). Effects of Mineral Admixtures on the Evolution of Static Yield Stress of Different Composite Pastes. Processes, 11(2), 614. https://doi.org/10.3390/pr11020614

