Experimental Research and Analysis of Soil Disturbance Behavior during the Hole Drilling Process of a Hanging-Cup Transplanter by DEM
Abstract
1. Introduction
2. Materials and Methods
2.1. Hanging-Cup Transplanter Structure and Working Principle
2.1.1. Hanging-Cup Transplanter Structure
2.1.2. Analysis of the Movement Process of the Hanging-Cup Transplanter
2.2. Indoor Soil Bin and High-Speed Photography Tests
2.2.1. Test Materials
2.2.2. Test Method
2.3. Establishment of the Planter–Soil Simulation Model
2.3.1. Establishment of the Soil Model
2.3.2. Establishment of the Simulation Model
3. Results
3.1. Analysis of Soil Disturbance Behavior at the Contact Interface
3.1.1. High-Speed Photography Analysis of Soil Disturbance Behavior at the Contact Interface
3.1.2. Comparative Analysis of Soil Disturbance Behavior
3.2. Analysis of Soil Disturbance Velocity in Different Sections
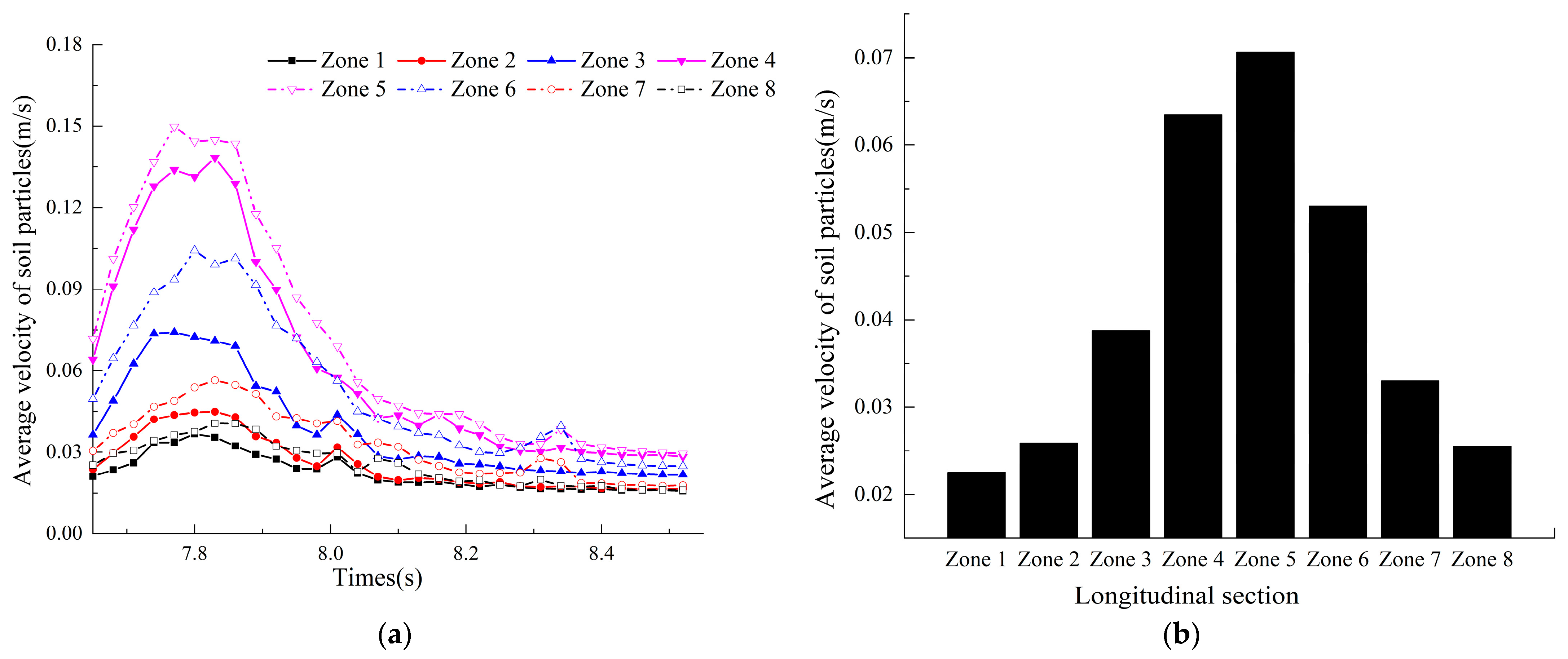
3.2.1. Analysis of Soil Disturbance Velocity in the Longitudinal Section
3.2.2. Analysis of Soil Disturbance Velocity in the Horizontal Section
3.3. Effect of Soil Disturbance Behavior on the Hole-Size Parameters
3.3.1. Effect of Planting Depth on Soil Disturbance
3.3.2. Effect of Forward Speed on Soil Disturbance
3.4. Parameter Optimization of Hole Drilling Test
3.4.1. Box–Behnken Test Design
3.4.2. Establishment and Significance Analysis of Regression Model
3.4.3. Parameter Optimization
4. Discussion
5. Conclusions
Author Contributions
Funding
Institutional Review Board Statement
Informed Consent Statement
Data Availability Statement
Acknowledgments
Conflicts of Interest
References
- Jin, X.; Yuan, Y.W.; Ji, J.T.; Zhao, K.X.; Li, M.Y.; Chen, K.K. Design and implementation of anti-leakage planting system for transplanting machine based on fuzzy information. Comput. Electron. Agric. 2020, 169, 105–204. [Google Scholar] [CrossRef]
- Sharma, A.; Khar, S. Current developments in vegetable transplanters in developing countries: A comprehensive review. Int. J. Veg. Sci. 2022, 28, 417–440. [Google Scholar] [CrossRef]
- Wen, Y.S.; Zhang, L.A.; Huang, X.M.; Yuan, T.; Zhang, J.; Tan, Y.; Feng, Z. Design of and experiment with seedling selection system for automatic transplanter for vegetable plug seedlings. Agronomy 2021, 11, 2031. [Google Scholar] [CrossRef]
- Jin, X.; Pang, J.; Ji, J.T.; He, Z.T.; Wang, S.G. Experiment and simulation analysis on high-speed up-film transplanting mechanism. Int. Agric. Eng. J. 2017, 26, 95–102. [Google Scholar]
- Tong, J.H.; Wu, C.Y.; Jiang, H.Y.; Yu, Y.X.; Rao, X.Q. Optimizing the path of seedling low-density transplanting by using greedy genetic algorithm. Comput. Electron. Agric. 2017, 142, 356–368. [Google Scholar] [CrossRef]
- Javidan, S.M.; Mohammadzamani, D. Design, construction and evaluation of semi-automatic vegetable transplanter with conical distributor cup. SN Appl. Sci. 2019, 1, 1–8. [Google Scholar] [CrossRef]
- Dihingia, P.C.; Prasanna Kumar, G.V.; Sarma, P.K. Development of a hopper-type planting device for a walk-behind hand-tractor-powered vegetable transplanter. J. Biosyst. Eng. 2016, 41, 21–33. [Google Scholar] [CrossRef]
- Xiang, W.; Wu, M.L.; Guan, C.Y.; He, Y.M.; Luo, H.F.; Yan, B. Design and test of transplanting hole-forming machine for rapeseed potted seedlings. Trans. Chin. Soc. Agric. Mach. 2017, 48, 40–48+58. [Google Scholar]
- Li, P.B.; Yan, H.; Wang, P.L.; Li, N.; Wu, H.H.; Han, L.H. Optimization and test of small pant spacing planting mechanism rod for transplanter. Trans. Chin. Soc. Agric. Mach. 2020, 51, 72–78. [Google Scholar]
- Li, X.Y.; Wang, Y.W.; Lu, G.C.; Zhang, B.; Zhang, H.J. Optimization design and test of Dibble-type transplanting device. Trans. Chin. Soc. Agric. Eng. 2015, 31, 58–64. [Google Scholar]
- Liu, Y.; Wang, S.G.; Mao, H.P.; Li, B.; Wang, T.; Li, Y.X.; Han, L.H. Trajectory optimization and test of basket-type planting devices. Agric. Res. Arid Areas 2019, 37, 291–298. [Google Scholar]
- Hang, C.G.; Yao, Y.X.; Huang, Y.X.; Li, W.; Zhu, R.X. High-speed photographic analysis of the soil disturbance affected by subsoiler rake angle. Agric. Eng. Int. CIGR J. 2017, 19, 42–50. [Google Scholar]
- Qiu, Y.Q.; Guo, Z.J.; Jin, X.; Zhang, P.G.; Si, S.J.; Guo, F.G. Calibration and Verification Test of Cinnamon Soil Simulation Parameters Based on Discrete Element Method. Agriculture 2022, 12, 1082. [Google Scholar] [CrossRef]
- Tian, Z.W.; Ma, W.; Yang, Q.C.; Yao, S.; Guo, X.Y.; Duan, F.M. Design and experiment of gripper for greenhouse plug seedling transplanting based on EDM. Agronomy 2022, 12, 1487. [Google Scholar] [CrossRef]
- Wang, J.W.; Xu, C.S.; Xu, W.L.; Fu, Z.D.; Wang, Q.; Tang, H. Discrete element method simulation of rice grain motion during discharge with an auger operated at various inclinations. Biosyst. Eng. 2022, 223, 97–115. [Google Scholar] [CrossRef]
- Yan, D.X.; Yu, J.Q.; Wang, Y.; Zhou, L.; Tian, Y.; Zhang, N. Soil Particle Modeling and Parameter Calibration Based on Discrete Element Method. Agriculture 2022, 12, 1421. [Google Scholar] [CrossRef]
- Han, C.J.; Xu, Y.; You, J.; Zhang, J.; Yuan, P.P. Parameter optimization of opener of semi-automatic transplanter for watermelon seedlings raised on compression substrate. Trans. Chin. Soc. Agric. Eng. 2019, 35, 48–56. [Google Scholar]
- Gao, F. Design and Experimental Study on Key Components of Sugarcane Seedling Transplanter. Master’s Thesis, JiangSu University, Zhenjiang, China, 2020. [Google Scholar]
- Yang, Q.Z.; Zhang, R.Y.; Jia, C.P.; Li, Z.Y.; Zhu, M.L.; Addy, M. Study of dynamic hole-forming performance of a cup-hanging planter on a high-speed seedling transplanter. Front. Mech. Eng. 2022, 8, 896881. [Google Scholar] [CrossRef]
- Chen, C.P.; Quan, W.; Wu, M.L.; Zhang, W.T. Parameter optimization of vertical soil-filling hole-forming parts for rapeseed transplantation based on discrete element method. J. Hunan Agric. Univ. (Nat. Sci.) 2019, 45, 433–439. [Google Scholar] [CrossRef]
- Quan, W.; Wu, M.L.; Dai, Z.W.; Luo, H.F.; Shi, F.G. Design and testing of reverse-rotating soil-taking-type hole-forming device of pot seedling transplanting machine for rapeseed. Agriculture 2022, 12, 319. [Google Scholar] [CrossRef]
- Quan, W.; Wu, M.L.; Luo, H.F.; Chen, C.P.; Xie, W. Soil hole opening methods and parameters optimization of pot seedling transplanting machine for rapeseed. Trans. Chin. Soc. Agric. Eng. 2020, 36, 13–21+327. [Google Scholar]
- Zhang, X.Z. Design Analysis and Experimental Research on Transplanting Device of Dibble-Type Transplanter. Master’s Thesis, Inner Mongolia Agricultural University, Hohhot, China, 2014. [Google Scholar]
- Zhao, Z.W. Design and Research of the Planting Depth Control System of the Hanging-Cup Transplanter. Master’s Thesis, Inner Mongolia Agricultural University, Hohhot, China, 2021. [Google Scholar]
- Du, S.; Wang, W.B. Kinematic analysis of the planting part under the soil contact condition. Mach. Des. Manuf. 2016, 299, 246–249. [Google Scholar] [CrossRef]
- Pei, X.K. Optimal Design and Experiment of Transplanting Mechanism for Apple Seedlings. Master’s Thesis, Heibei Agricultural Univeraity, Baoding, China, 2021. [Google Scholar]
- Feng, J.; Qin, G.; Song, W.T.; Liu, Y.J. The Kinematic Analysis and Design Criteriaof the Dibble-type Transplanters. Trans. Chin. Soc. Agric. Mach. 2002, 33, 48–50. [Google Scholar]
- Hang, C.G.; Zhang, P.P.; Li, W.; Huang, Y.X.; Zhu, R.X. Experiment research on influence of rake angle on soil hardness variation under sub-soiling. J. Chin. Agric. Mech. 2016, 37, 36–40. [Google Scholar] [CrossRef]
- Huang, Y.X.; Hang, C.G.; Yuan, M.C.; Tao, W.B.; Zhu, R.X. Discrete element simulation and experiment on disturbance behavior of subsoiling. Trans. Chin. Soc. Agric. Mach. 2016, 47, 80–88. [Google Scholar]
- Zeng, Z.W.; Ma, X.; Cao, X.L.; Li, Z.H.; Wang, X.C. Critical review of applications of discrete element method in agricultural engineering. Trans. Chin. Soc. Agric. Eng. 2021, 52, 1–20. [Google Scholar]
- Zhao, S.H.; Gao, L.L.; Yuan, Y.W.; Hou, L.T.; Zhang, X.; Yang, Y.Q. Maize straw motion law in subsoiling operation using discrete element method. Trans. Chin. Soc. Agric. Eng. 2021, 37, 53–62. [Google Scholar]
- Hang, C.G.; Gao, X.J.; Yuan, M.C.; Huang, Y.X.; Zhu, R.X. Discrete element simulations and experiments of soil disturbance as affected by the tine spacing of subsoiler. Biosyst. Eng. 2018, 168, 73–82. [Google Scholar] [CrossRef]
- Zeng, F.D.; Li, X.Y.; Zhang, Y.Z.; Zhao, Z.W.; Cheng, C. Using the discrete element method to analyze and calibrate a model for the interaction between a planting device and soil particles. INMATEH-Agric. Eng. 2021, 63, 413–424. [Google Scholar] [CrossRef]














| Test Point | Test Depth (mm) | ||
|---|---|---|---|
| 60 | 80 | 100 | |
| 1 | 67 | 85 | 102 |
| 2 | 62 | 72 | 86 |
| 3 | 69 | 90 | 101 |
| 4 | 65 | 81 | 95 |
| 5 | 67 | 76 | 106 |
| Average compactness (N/cm2) | 66 | 80.8 | 98.0 |
| Parameters | Value |
|---|---|
| Normal stiffness coefficient (N/m3) | 24000000 |
| Tangential stiffness coefficient (N/m3) | 17000000 |
| Critical normal stress (Pa) | 870000 |
| Tangential critical stress (Pa) | 782000 |
| Particle bonding radius (mm) | 3.5 |
| Type | Test Depth (mm) | ||
|---|---|---|---|
| 60 | 80 | 100 | |
| Actual soil | 66 | 80.8 | 98 |
| Simulation of soil | 73.23 | 90.39 | 105.97 |
| Relative error (%) | 10.95 | 11.87 | 8.13 |
| Variable | Factors | Low Level (−1) | Middle Level (0) | High Level (+1) |
|---|---|---|---|---|
| X1 | Forward speed (km/h) | 1.25 | 1.5 | 1.75 |
| X2 | Planting depth (mm) | 60 | 80 | 100 |
| X3 | Soil compaction (N/cm2) | 40~50 | 90~100 | 140~150 |
| No. | Test Factors and Levels | Target Value | |||
|---|---|---|---|---|---|
| Forward Speed (km/h) | Planting Depth (mm) | Soil Compactness (N/cm2) | Hole Longitudinal Length (mm) | Hole Depth (mm) | |
| 1 | 1 | 1 | 0 | 113.5 | 91.2 |
| 2 | 1 | 0 | −1 | 107.6 | 68.9 |
| 3 | −1 | 0 | −1 | 78.8 | 74.2 |
| 4 | 1 | −1 | 0 | 88.6 | 50.1 |
| 5 | −1 | 1 | 0 | 100.3 | 93.3 |
| 6 | 0 | 0 | 0 | 91.9 | 72.3 |
| 7 | 0 | −1 | −1 | 95.3 | 52.9 |
| 8 | 0 | −1 | 1 | 70.6 | 55.3 |
| 9 | 0 | 0 | 0 | 96.9 | 73.3 |
| 10 | 0 | 0 | 0 | 86.9 | 75.3 |
| 11 | 0 | 0 | 0 | 98.9 | 71.3 |
| 12 | 0 | 1 | 1 | 102.8 | 95.6 |
| 13 | −1 | 0 | 1 | 69.3 | 77.6 |
| 14 | 0 | 0 | 0 | 91.5 | 73.2 |
| 15 | 0 | 1 | −1 | 116.6 | 89.2 |
| 16 | 1 | 0 | 1 | 82.6 | 76.6 |
| 17 | −1 | -1 | 0 | 68.6 | 52.3 |
| Source | Freedom | Hole Longitudinal Length (mm) | Hole Depth (mm) | ||||||
|---|---|---|---|---|---|---|---|---|---|
| Sum of Square | Mean Square | F | P | Sum of Square | Mean Square | F | P | ||
| Model | 9 | 3295.86 | 366.21 | 24.76 | 0.0002 ** | 3234.04 | 359.34 | 183.46 | <0.0001 ** |
| X1 | 1 | 708.76 | 708.76 | 47.91 | 0.0002 ** | 14.05 | 14.05 | 7.17 | 0.0316 * |
| X2 | 1 | 1515.25 | 1515.25 | 102.43 | <0.0001 ** | 3148.21 | 3148.21 | 1607.34 | <0.0001 ** |
| X3 | 1 | 666.13 | 666.13 | 45.03 | 0.0003 ** | 49.5 | 49.5 | 25.27 | 0.0015 ** |
| X1X2 | 1 | 11.56 | 11.56 | 0.78 | 0.406 | 2.50 × 10−3 | 2.50 × 10−3 | 1.28 × 10−3 | 0.9725 |
| X1X3 | 1 | 60.06 | 60.06 | 4.06 | 0.0837 | 4.62 | 4.62 | 2.36 | 0.1684 |
| X2X3 | 1 | 29.7 | 29.7 | 2.01 | 0.1994 | 4 | 4 | 2.04 | 0.1961 |
| X12 | 1 | 157.19 | 157.19 | 10.63 | 0.0139 * | 0.083 | 0.083 | 0.042 | 0.8432 |
| X22 | 1 | 133.94 | 133.94 | 9.05 | 0.0197 * | 6.22 | 6.22 | 3.17 | 0.118 |
| X32 | 1 | 27.06 | 27.06 | 1.83 | 0.2183 | 8.08 | 8.08 | 4.12 | 0.0818 |
| Residual | 7 | 103.55 | 14.79 | 13.71 | 1.96 | ||||
| Lack of fit | 3 | 13.1 | 4.37 | 0.19 | 0.896 | 4.94 | 1.65 | 0.75 | 0.5759 |
| Pure error | 4 | 90.45 | 22.61 | 8.77 | 2.19 | ||||
| Cor total | 16 | 3399.41 | 3247.75 | ||||||
Disclaimer/Publisher’s Note: The statements, opinions and data contained in all publications are solely those of the individual author(s) and contributor(s) and not of MDPI and/or the editor(s). MDPI and/or the editor(s) disclaim responsibility for any injury to people or property resulting from any ideas, methods, instructions or products referred to in the content. |
© 2023 by the authors. Licensee MDPI, Basel, Switzerland. This article is an open access article distributed under the terms and conditions of the Creative Commons Attribution (CC BY) license (https://creativecommons.org/licenses/by/4.0/).
Share and Cite
Zeng, F.; Li, X.; Bai, H.; Cui, J.; Liu, X.; Zhang, Y. Experimental Research and Analysis of Soil Disturbance Behavior during the Hole Drilling Process of a Hanging-Cup Transplanter by DEM. Processes 2023, 11, 600. https://doi.org/10.3390/pr11020600
Zeng F, Li X, Bai H, Cui J, Liu X, Zhang Y. Experimental Research and Analysis of Soil Disturbance Behavior during the Hole Drilling Process of a Hanging-Cup Transplanter by DEM. Processes. 2023; 11(2):600. https://doi.org/10.3390/pr11020600
Chicago/Turabian StyleZeng, Fandi, Xuying Li, Hongbin Bai, Ji Cui, Xuening Liu, and Yongzhi Zhang. 2023. "Experimental Research and Analysis of Soil Disturbance Behavior during the Hole Drilling Process of a Hanging-Cup Transplanter by DEM" Processes 11, no. 2: 600. https://doi.org/10.3390/pr11020600
APA StyleZeng, F., Li, X., Bai, H., Cui, J., Liu, X., & Zhang, Y. (2023). Experimental Research and Analysis of Soil Disturbance Behavior during the Hole Drilling Process of a Hanging-Cup Transplanter by DEM. Processes, 11(2), 600. https://doi.org/10.3390/pr11020600

