Physical, Sensorial, and Physicochemical Characteristics of Arabica Coffee Dried under Two Solar Brightness Conditions
Abstract
1. Introduction
2. Materials and Methods
2.1. Description of the Climatic Zones
2.2. Description of Solar Drying Systems and Recording of Environmental Conditions
- Central processing unit—CPU (Mega 2560, Arduino, Ivrea, Italy);
- SD data storage device (Data Logger Shield, Adafruit, New York, NY, USA) and real-time clock (PCF-8523, Adafruit, New York, NY, USA);
- Temperature sensor (Dallas DS18B20, Maxim integrated, New York, NY, USA) (55 °C to +125 °C with ±0.5 °C accuracy) and relative humidity sensor (HIH-4030SF, Honeywell, Charlotte, NC, USA) (from 0% RH to 100% RH with an accuracy of ± 3.5%), with operating temperatures between −40 °C and 85 °C;
- Reference S-type load cell (YZ101N, Vector Controls, Houston, TX, USA) (125 kg);
- Humid air extractor (RQA120, Cheka, Bogotá, Colombia) from 21 W to 110 VAC;
- End-of-drying indicator system with audible alarm and 10 W LED reflector (LD/1603, Watt, Ningbo, China); and
- LCD display screen (20 × 4) (Vishay, Malvern, PA, USA) and real-time configuration buttons.
2.3. Coffee Sampling and Processing
2.4. Physical and Sensorial Analyses
2.5. Physicochemical Analysis
2.6. Statistical Analysis
3. Results and Discussion
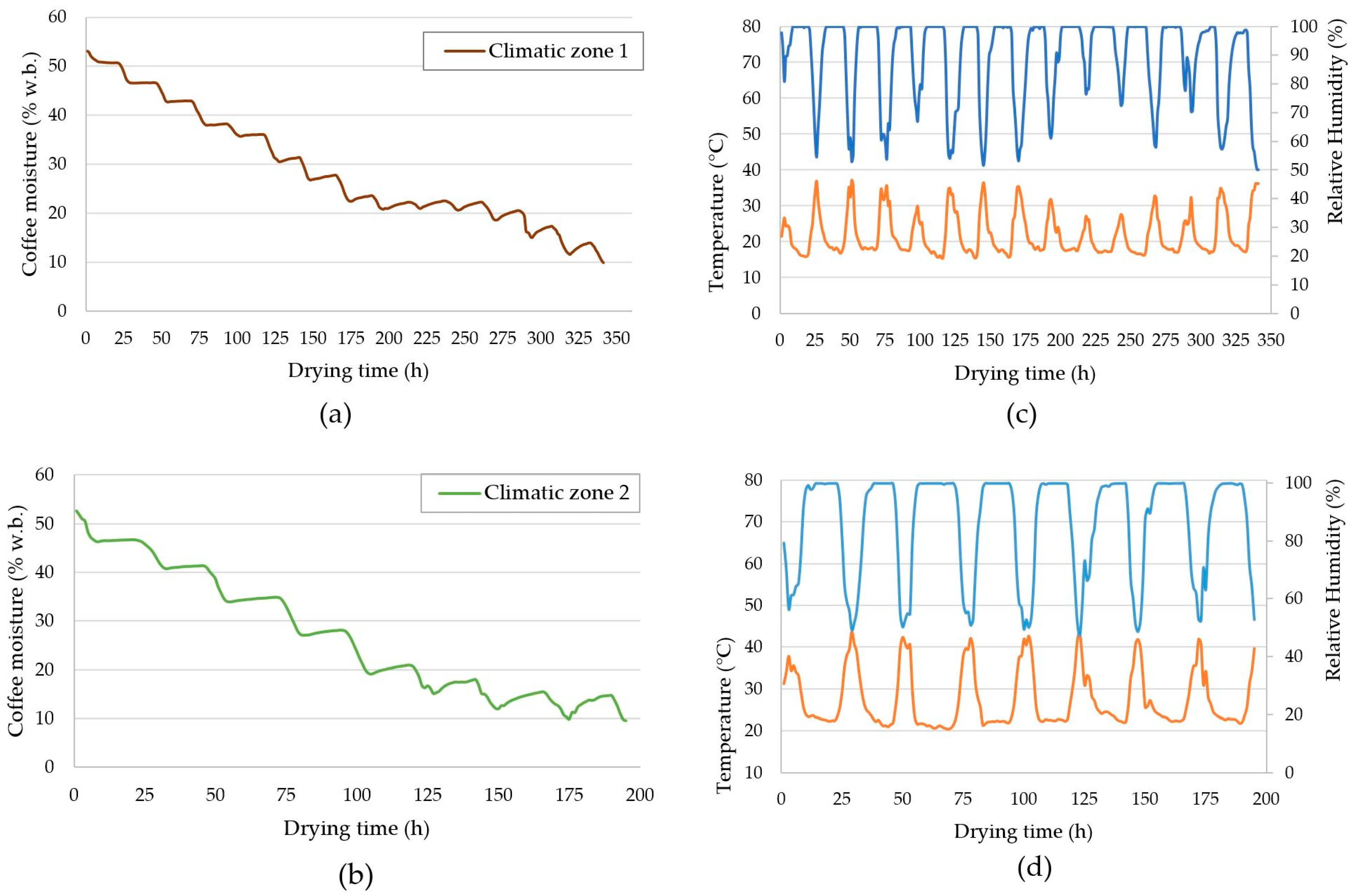
3.1. Description of Environmental Conditions during Solar Drying Processes
3.2. Coffee Drying Time and Moisture Trends
3.3. Physical and Sensorial Analysis
3.4. Physicochemical Analysis
4. Conclusions
Author Contributions
Funding
Data Availability Statement
Acknowledgments
Conflicts of Interest
References
- Duque-Dussán, E.; Sanz-Uribe, J.; Banout, J. Design and Evaluation of a Hybrid Solar Dryer for Postharvest Processing of Parchment Coffee. Renew. Energy 2023, 215, 118961. [Google Scholar] [CrossRef]
- Parra, C.A.; Roa, M.G.; Oliveros, T.C.E.; Sanz, U.J.R. Optimización Operacional de Secadores Mecánicos Para Café Pergamino; Cenicafé: Manizales, Colombia, 2017; pp. 12–13. Available online: https://www.cenicafe.org/es/index.php/nuestras_publicaciones/libros/publicaciones_optimizacion_operacional_de_secadores_mecanicos_para_cafe (accessed on 28 June 2023).
- Dong, W.; Hu, R.; Long, Y.; Li, H.; Zhang, Y.; Zhu, K.; Chu, Z. Comparative Evaluation of the Volatile Profiles and Taste Properties of Roasted Coffee Beans as Affected by Drying Method and Detected by Electronic Nose, Electronic Tongue, and HS-SPME-GC-MS. Food Chem. 2019, 272, 723–731. [Google Scholar] [CrossRef]
- Firdissa, E.; Mohammed, A.; Berecha, G.; Garedew, W. Coffee Drying and Processing Method Influence Quality of Arabica Coffee Varieties (Coffee Arabica L.) at Gomma I and Limmu Kossa, Southwest Ethiopia. J. Food Qual. 2022, 2022, 9184374. [Google Scholar] [CrossRef]
- Bani Hani, E.H.; Alhuyi Nazari, M.; Assad, M.E.H.; Forootan Fard, H.; Maleki, A. Solar Dryers as a Promising Drying Technology: A Comprehensive Review. J. Therm. Anal. Calorim. 2022, 147, 12285–12300. [Google Scholar] [CrossRef]
- Shapiro-Garza, E.; King, D.; Rivera-Aguirre, A.; Wang, S.; Finley-Lezcano, J.A. Participatory Framework for Feasibility Assessments of Climate Change Resilience Strategies for Smallholders: Lessons from Coffee Cooperatives in Latin America. Int. J. Agric. Sustain. 2019, 18, 21–34. [Google Scholar] [CrossRef]
- Ortiz-Rodríguez, N.M.; Condorí, M.; Durán, G.; García-Valladares, O. Solar Drying Technologies: A Review and Future Research Directions with a Focus on Agroindustrial Applications in Medium and Large Scale. Appl. Therm. Eng. 2022, 215, 118993. [Google Scholar] [CrossRef]
- Kamarulzaman, A.; Hasanuzzaman, M.; Rahim, N.A. Global Advancement of Solar Drying Technologies and Its Future Prospects: A Review. Sol. Energy 2021, 221, 559–582. [Google Scholar] [CrossRef]
- Tawfik, M.A.; Oweda, K.M.; Abd El-Wahab, M.K.; Abd Allah, W.E. A New Mode of a Natural Convection Solar Greenhouse Dryer for Domestic Usage: Performance Assessment for Grape Drying. Agriculture 2023, 13, 1046. [Google Scholar] [CrossRef]
- Ramírez-Builes, V.H.; Jaramillo-Robledo, Á.; Arcila-Pulgarín, J. Factores climáticos que intervienen en la producción del café en Colombia. In Federación Nacional de Cafeteros de Colombia, Manual del Cafetero Colombiano: Investigación y Tecnología Para la Sostenibilidad de la Caficultura; Federación Nacional de Cafeteros de Colombia: Manizales, Colombia, 2013; Volume 1, pp. 205–237. [Google Scholar]
- García, L.J.C.; Posada-Suárez, H.; Läderach, P. Recommendations for the Regionalizing of Coffee Cultivation in Colombia: A Methodological Proposal Based on Agro-Climatic Indices. PLoS ONE 2014, 9, e113510. [Google Scholar] [CrossRef]
- Louzada Pereira, L.; Carvalho Guarçoni, R.; Soares Cardoso, W.; Côrrea Taques, R.; Rizzo Moreira, T.; da Silva, S.F.; Schwengber ten Caten, C. Influence of Solar Radiation and Wet Processing on the Final Quality of Arabica Coffee. J. Food Qual. 2018, 2018, 6408571. [Google Scholar] [CrossRef]
- Soares Ferreira, D.; Eduardo da Silva Oliveira, M.; Rodrigues Ribeiro, W.; Altoé Filete, C.; Toledo Castanheira, D.; Cesar Pereira Rocha, B.; Polonini Moreli, A.; Catarina da Silva Oliveira, E.; Carvalho Guarçoni, R.; Partelli, F.L.; et al. Association of Altitude and Solar Radiation to Understand Coffee Quality. Agronomy 2022, 12, 1885. [Google Scholar] [CrossRef]
- Oliveira, P.D.; Borém, F.M.; Isquierdo, E.P.; Giomo, G.d.S.; Lima, R.R.d.; Cardoso, R.A. Aspectos fisiológicos de grãos de café, processados e secados de diferentes métodos, associados à qualidade sensorial. Coffee Sci. 2013, 8, 211–220. Available online: http://www.sbicafe.ufv.br:80/handle/123456789/7972 (accessed on 28 June 2023).
- Taveira, J.H.S.; Borém, F.M.; Rosa, S.D.V.F.D.; Oliveira, P.D.; Giomo, G.d.S.; Isquierdo, E.P.; Fortunato, V.A. Post-Harvest Effects on Beverage Quality and Physiological Performance of Coffee Beans. Afr. J. Agric. Res. 2015, 10, 1457–1466. [Google Scholar] [CrossRef]
- Borém, F.M. Cofffee Drying. In Handbook of Coffee Post-Harvest Technology; Universidade Federal de Lavras: Norcross, Georgia, 2014; pp. 98–118. [Google Scholar]
- Caracterización Agroclimatica—Agroclima. Available online: https://agroclima.cenicafe.org/caracterizacion-agroclimatica (accessed on 9 May 2023).
- Peñuela-Martínez, A.E.; Restrepo-Rivera, M.V.; Tibaduiza, C.A. Secado solar de café usando diferentes tipos de cubiertas plásticas. Rev. Cenicafé 2022, 73, 69–85. [Google Scholar] [CrossRef]
- Oliveros-Tascón, C.E.; Ramírez, C.A.; Tibaduiza-Vianchá, C.A.; Sanz-Uribe, J.R. Construcción de secadores solares tipo túnel con nuevos materiales. Av. Técnicos Cenicafé 2017, 482, 1–8. [Google Scholar] [CrossRef]
- Oliveros Tascón, C.E.; Ramírez, C.A.; Sanz-Uribe, J.R.; Peñuela-Martínez, A.E.; Pabón, J. Secado Solar y Secado Mecánico Del Café. In Manual Del Cafetero Colombiano: Investigación y Tecnología Para la Sostenibilidad de la Caficultura; Federación Nacional de Cafeteros de Colombia: Manizales, Colombia, 2013; Volume 3, pp. 49–80. [Google Scholar] [CrossRef]
- Jurado, C.J.M.; Motoya, R.E.C.; Olivero, T.C.E.; García, A.J. Método Para Medir El Contenido de Humedad Del Café Pergamino En El Secado Solar Del Café. Cenicafé 2009, 60, 135–147. Available online: http://hdl.handle.net/10778/188 (accessed on 28 June 2023).
- Peñuela, A.E.; Sanz-Uribe, J.R. Obtenga café de calidad en el proceso de beneficio. In Guía Más Agronomia, Más Productividad, más Calidad; Cenicafé: Manizales, Colombia, 2021; pp. 189–218. Available online: http://hdl.handle.net/10778/4289 (accessed on 28 June 2023).
- ISO 6673:2003; Green Coffee- Determination of Loss in Mass at 105 °C. International Organization for Standardization, ISO: Geneva, Switzerland, 2003. Available online: https://t1.daumcdn.net/cfile/tistory/233BDA33597FFE9C26?download (accessed on 28 June 2023).
- El Café Arábica Lavado Guía de Defectos Del Café Verde. Available online: https://bootcoffee.com/wp-content/uploads/2019/09/SCA_The-Arabica-Green-Coffee-Defect-Guide_Spanish_updated.pdf (accessed on 5 May 2023).
- ISO 6669:1995; Green and Roasted Coffee—Determination of Free Flow Bulk Density of Whole Beans (Routine Method). International Organization for Standardization, ISO: Geneva, Switzerland, 1995. Available online: https://cdn.standards.iteh.ai/samples/13098/217e86f01f7344d599d06086c8cf9a02/ISO-6669-1995.pdf (accessed on 27 June 2023).
- Coffee Quality Institute. Available online: https://www.coffeeinstitute.org/ (accessed on 15 March 2023).
- SCAA Protocols-Cupping Specialty Coffee. Available online: https://www.scaa.org/PDF/resources/cupping-protocols.pdf (accessed on 5 May 2023).
- Cortés-Macías, E.T.; López, C.F.; Gentile, P.; Girón-Hernández, J.; López, A.F. Impact of Post-Harvest Treatments on Physicochemical and Sensory Characteristics of Coffee Beans in Huila, Colombia. Postharvest Biol. Technol. 2022, 187, 111852. [Google Scholar] [CrossRef]
- Clark, V.; SAS Institute (Eds.) SAS/STAT 9.1: User’s Guide; SAS Pub: Cary, NC, USA, 2004; Available online: https://support.sas.com/documentation/onlinedoc/91pdf/sasdoc_91/stat_ug_7313.pdf (accessed on 28 June 2023).
- Pramono, E.K.; Karim, M.A.; Fudholi, A.; Bulan, R.; Lapcharoensuk, R.; Sitorus, A. Low cost telemonitoring technology of semispherical solar dryer for drying arabica coffee beans. INMATEH Agric. Eng. 2022, 66, 340–350. [Google Scholar] [CrossRef]
- Osorio, H.R.; Guerra, G.L.M.; Tinôco, I.F.F.; Martins, J.H.; Souza, C.d.F.; Osorio, S.J.A. Simulation of the Internal Environment of a Post-Harvest Installation and a Solar Dryer of Coffee. Rev. Bras. Eng. Agríc. E Ambient. 2016, 20, 163–168. [Google Scholar] [CrossRef]
- Dávila-Guamuro, J.; Llanos-Pérez, J.; Cabanillas-Pardo, L. Secador solar tipo túnel con microclima auto controlado para Café (Coffea arabica) Honey de alto valor en taza. Rev. Agrotecnológica Amaz. 2022, 2, e227. [Google Scholar] [CrossRef]
- Bravo, W.A.; Montenegro, D.A.B.; Pito, J.C. Prototipo para el control de temperatura y humedad en el secado mecánico del café. Rev. Científica Ing. Desarro. 2022, 40, 28–46. [Google Scholar] [CrossRef]
- Giraldo, d.L.; Javier, O. Diseño E Implementación de Un Secador Híbrido Para El Control Y Monitoreo Del Proceso de Secado Del Grano de Café. Bachelor’s Thesis; Ingeniería Electronica, Universidad Tecnológica de Pereira: Pereira, Colombia, 2018. Available online: https://hdl.handle.net/11059/9290 (accessed on 28 June 2023).
- Murali, S.; Alfiya, P.V.; Aniesrani Delfiya, D.S.; Harikrishnan, S.; Kunjulakshmi, S.; Samuel, M.P. Performance Evaluation of PV Powered Solar Tunnel Dryer Integrated with a Mobile Alert System for Shrimp Drying. Sol. Energy 2022, 240, 246–257. [Google Scholar] [CrossRef]
- Vengsungnle, P.; Jongpluempiti, J.; Srichat, A.; Wiriyasart, S.; Naphon, P. Thermal Performance of the Photovoltaic–Ventilated Mixed Mode Greenhouse Solar Dryer with Automatic Closed Loop Control for Ganoderma Drying. Case Stud. Therm. Eng. 2020, 21, 100659. [Google Scholar] [CrossRef]
- Tassew, A.A.; Yadessa, G.B.; Bote, A.D.; Obso, T.K. Influence of Location, Elevation Gradients, Processing Methods, and Soil Quality on the Physical and Cup Quality of Coffee in the Kafa Biosphere Reserve of SW Ethiopia. Heliyon 2021, 7, e07790. [Google Scholar] [CrossRef] [PubMed]
- Borém, F.M.; Isquierdo, E.P.; Alves, G.E.; Egídio, R.D.; Cambuy, S.V.; da Silva Taveira, J.H. Quality of Natural Coffee Dried Under Different Temperatures and Drying Rates. Coffee Sci. 2018, 13, 159–167. [Google Scholar] [CrossRef]
- Alves, G.E.; Borém, F.M.; Isquierdo, E.P.; Siqueira, V.C.; Cirillo, M.Â.; Pinto, A.C.F. Physiological and sensorial quality of Arabica coffee subjected to different temperatures and drying air-flows. Acta Scientiarum. Agron. 2017, 39, 225–233. [Google Scholar] [CrossRef][Green Version]
- Ramalakshmi, K.; Kubra, I.R.; Rao, L.J.M. Physicochemical Characteristics of Green Coffee: Comparison of Graded and Defective Beans. J. Food Sci. 2007, 72, S333–S337. [Google Scholar] [CrossRef]
- Peñuela-Martínez, A.E.; Moreno-Riascos, S.; Medina-Rivera, R. Influence of Temperature-Controlled Fermentation on the Quality of Mild Coffee (Coffea Arabica L.) Cultivated at Different Elevations. Agriculture 2023, 13, 1132. [Google Scholar] [CrossRef]
- Duque-Dussán, E.; Sanz-Uribe, J.R.; Dussán-Lubert, C.; Banout, J. Thermophysical Properties of Parchment Coffee: New Colombian Varieties. J. Food Process Eng. 2023, 46, e14300. [Google Scholar] [CrossRef]
- Giraldo-Jaramillo, M.; Garcia, A.G.; Parra, J.R. Biology, Thermal Requirements, and Estimation of the Number of Generations of Hypothenemus Hampei (Ferrari, 1867) (Coleoptera: Curculionidae) in the State of São Paulo, Brazil. J. Econ. Entomol. 2018, 111, 2192–2200. [Google Scholar] [CrossRef]
- Duque-Orrego, H.; Salazar, H.M.; Rojas-Sepúlveda, L.A.; Gaitán, Á. Análisis Económico de Tecnologías Para La Producción de Café En Colombia; Cenicafé: Manizales, Colombia, 2021; pp. 67–73. [Google Scholar]
- Bustillo Pardey, A.E. Una revisión sobre la broca del café, Hypothenemus hampei (Coleoptera: Curculionidae: Scolytinae), en Colombia. Rev. Colomb. Entomol. 2006, 32, 101–116. Available online: http://www.scielo.org.co/scielo.php?script=sci_arttext&pid=S0120-04882006000200001 (accessed on 28 June 2023). [CrossRef]
- Scholz, M.B.; Prudencio, S.; Kitzberger, C.; Silva, R. Physico-Chemical Characteristics and Sensory Attributes of Coffee Beans Submitted to Two Post-Harvest Processes. J. Food Meas. Charact. 2019, 13, 831–839. [Google Scholar] [CrossRef]
- Arenas, A.F.; Hincapie, A.M.V.; Ocampo, G.T. Effects of Post-Harvest Process on Volatile—Sensory Profile for Coffee in Colombia. Coffee Sci. 2022, 17, e172016. [Google Scholar] [CrossRef]
- Kulapichitr, F.; Borompichaichartkul, C.; Suppavorasatit, I.; Cadwallader, K.R. Impact of Drying Process on Chemical Composition and Key Aroma Components of Arabica Coffee. Food Chem. 2019, 291, 49–58. [Google Scholar] [CrossRef]
- Kulapichitr, F.; Borompichaichartkul, C.; Fang, M.; Suppavorasatit, I.; Cadwallader, K.R. Effect of Post-Harvest Drying Process on Chlorogenic Acids, Antioxidant Activities and CIE-Lab Color of Thai Arabica Green Coffee Beans. Food Chem. 2022, 366, 130504. [Google Scholar] [CrossRef] [PubMed]
- Estrada-Bahena, E.B.; Salazar, R.; Ramírez, M.; Moreno-Godínez, M.E.; Jiménez-Hernández, J.; Romero-Ramírez, Y.; González-Cortázar, M.; Alvarez-Fitz, P. Influence of Water Activity on Physical Properties, Fungal Growth, and Ochratoxin A Production in Dry Cherries and Green-Coffee Beans. J. Food Process. Preserv. 2022, 46, e16226. [Google Scholar] [CrossRef]
- Barbosa, M.d.S.G.; Scholz, M.B.d.S.; Kitzberger, C.S.G.; de Toledo Benassi, M. Correlation between the Composition of Green Arabica Coffee Beans and the Sensory Quality of Coffee Brews. Food Chem. 2019, 292, 275–280. [Google Scholar] [CrossRef]
- Caporaso, N.; Whitworth, M.B.; Grebby, S.; Fisk, I.D. Rapid Prediction of Single Green Coffee Bean Moisture and Lipid Content by Hyperspectral Imaging. J. Food Eng. 2018, 227, 18–29. [Google Scholar] [CrossRef]







| Climatic Zone | Farm | Batches (N°) | Elevation (m) | Solar Brightness (h) | Rainfall (mm) | Relative Humidity (%) | Temperature (°C) | ||
|---|---|---|---|---|---|---|---|---|---|
| Median | Max | Min | |||||||
| 1 | 1 | 2 | 1816 | 1226 | 2571 | 83 | 18.1 | 23.1 | 14.0 |
| 2 | 5 | 1820 | 1235 | 2356 | 83 | 18.2 | 23.1 | 14.0 | |
| 3 | 2 | 1781 | 1250 | 3299 | 82 | 18.0 | 23.3 | 14.1 | |
| 4 | 3 | 1716 | 1283 | 2285 | 82 | 19.0 | 23.9 | 14.5 | |
| 5 | 5 | 1583 | 1322 | 2671 | 80 | 19.6 | 24.8 | 15.2 | |
| 6 | 4 | 1580 | 1373 | 3107 | 80 | 19.6 | 24.8 | 15.2 | |
| 2 | 1 | 5 | 1489 | 1441 | 2924 | 79 | 20.2 | 25.6 | 15.7 |
| 2 | 5 | 1414 | 1509 | 2755 | 78 | 20.7 | 26.2 | 16.1 | |
| 3 | 5 | 1322 | 1581 | 2488 | 77 | 21.2 | 27.0 | 16.5 | |
| 4 | 5 | 1311 | 1654 | 2502 | 77 | 21.3 | 27.2 | 16.8 | |
| 5 | 7 | 1210 | 1746 | 2210 | 77 | 21.9 | 28.0 | 17.3 | |
| Climatic Zone | Variable | Average | Standard Deviation | Minimum | Maximum | Relative Standard Deviation (%) |
|---|---|---|---|---|---|---|
| 1 | Coffee moisture (% w.b.) | 10.77 | 0.63 | 9.90 | 11.70 | 5.8 |
| Drying time (h) | 371.4 | 189.5 | 125.2 | 865.7 | 51.0 | |
| 2 | Coffee moisture (% w.b.) | 11.03 | 0.58 | 10.00 | 12.00 | 5.3 |
| Drying time (h) | 253.3 | 71.6 | 148.1 | 457.3 | 28.3 |
| Variable | Climatic Zone | Minimum | Maximum | Median | Average | Lower Bound | Upper Bound | Standard Deviation |
|---|---|---|---|---|---|---|---|---|
| Bulk density (g/L) | 1 | 719.5 | 766.4 | 747.7 | 744.3 | 738.1 | 750.6 | 12.7 |
| 2 | 730.1 | 767.1 | 742.7 | 743.4 | 740.4 | 746.4 | 7.9 | |
| 18 mesh (%) | 1 | 26.7 | 63.1 | 46.7 | 47.5 | 42.0 | 51.3 | 8.3 |
| 2 | 42.5 | 69.6 | 52.9 | 53.9 | 48.3 | 57.4 | 9.2 | |
| 17 mesh (%) | 1 | 21.0 | 37.0 | 28.3 | 27.6 | 26.1 | 30.6 | 4.1 |
| 2 | 15.5 | 34.5 | 25.3 | 24.8 | 22.7 | 27.8 | 5.3 | |
| 16 mesh (%) | 1 | 2.8 | 22.0 | 14.0 | 14.0 | 11.5 | 16.4 | 4.2 |
| 2 | 6.8 | 18.7 | 12.1 | 11.9 | 10.6 | 13.6 | 2.7 | |
| 15 mesh (%) | 1 | 4.1 | 20.4 | 6.3 | 7.5 | 5.9 | 9.2 | 3.8 |
| 2 | 3.1 | 10.2 | 6.2 | 6.4 | 5.4 | 7.4 | 2.4 | |
| 14 mesh (%) | 1 | 0.6 | 9.0 | 2.2 | 2.4 | 1.6 | 3.2 | 1.8 |
| 2 | 0.6 | 4.0 | 2.0 | 2.1 | 1.7 | 2.6 | 1.0 | |
| Brocade grain stage 1 (%) | 1 | 0.0 | 3.8 | 0.6 | 1.1 | 0.4 | 0.8 | 1.1 |
| 2 | 0.0 | 9.1 | 1.4 | 2.1 | 1.3 | 2.9 | 2.1 | |
| Brocade grain stage 2 (%) | 1 | 0.0 | 3.7 | 0.6 | 0.9 | 0.4 | 0.5 | 1.0 |
| 2 | 0.0 | 5.0 | 0.8 | 1.3 | 0.8 | 1.9 | 1.4 |
| Variable | Climatic Zone | Minimum | Maximum | Median | Average | Lower Bound | Upper Bound | Standard Deviation |
|---|---|---|---|---|---|---|---|---|
| Total score | 1 | 78.75 | 85.25 | 81.20 | 81.37 | 80.69 | 82.06 | 1.51 |
| 2 | 79.00 | 84.00 | 80.75 | 80.93 | 80.26 | 81.60 | 1.35 | |
| Frag/aroma | 1 | 6.81 | 8.00 | 7.50 | 7.50 | 7.39 | 7.61 | 0.27 |
| 2 | 6.75 | 7.75 | 7.38 | 7.31 | 7.23 | 7.40 | 0.21 | |
| Flavor | 1 | 6.00 | 8.00 | 7.23 | 7.09 | 6.87 | 7.31 | 0.55 |
| 2 | 6.00 | 7.75 | 7.13 | 6.71 | 6.45 | 6.97 | 0.65 | |
| Aftertaste | 1 | 6.00 | 8.00 | 7.10 | 7.01 | 6.80 | 7.22 | 0.53 |
| 2 | 6.00 | 7.50 | 7.00 | 6.63 | 6.40 | 6.87 | 0.58 | |
| Acidity | 1 | 6.00 | 7.75 | 7.28 | 7.13 | 6.91 | 7.36 | 0.55 |
| 2 | 6.00 | 7.75 | 7.19 | 6.74 | 6.47 | 7.02 | 0.67 | |
| Body | 1 | 7.00 | 7.75 | 7.35 | 7.32 | 7.24 | 7.40 | 0.20 |
| 2 | 7.00 | 7.50 | 7.25 | 7.21 | 7.13 | 7.29 | 0.20 | |
| Balance | 1 | 6.00 | 7.75 | 7.19 | 7.07 | 6.86 | 7.28 | 0.52 |
| 2 | 6.00 | 7.50 | 7.13 | 6.70 | 6.45 | 6.96 | 0.62 |
| Variable | Climatic Zone | Minimum | Maximum | Median | Average | Lower Bound | Upper Bound | Standard Deviation |
|---|---|---|---|---|---|---|---|---|
| L* | 1 | 34.2000 | 74.3000 | 55.8000 | 56.0295 | 46.3128 | 65.7462 | 9.7167 |
| 2 | 34.1000 | 76.4000 | 57.9000 | 56.9325 | 48.4275 | 65.4375 | 8.5050 | |
| a* | 1 | 1.2000 | 7.7000 | 4.0000 | 4.2564 | 2.9068 | 5.6060 | 1.3496 |
| 2 | 0.9000 | 10.5000 | 3.7000 | 3.9024 | 2.4774 | 5.3274 | 1.4250 | |
| b* | 1 | 11.8000 | 26.6000 | 20.1500 | 19.4141 | 16.0790 | 22.7492 | 3.3351 |
| 2 | 13.5000 | 33.9000 | 19.0500 | 19.4714 | 15.9565 | 22.9863 | 3.5149 | |
| aw | 1 | 0.5335 | 0.6867 | 0.6143 | 0.6065 | 0.57609 | 0.6370 | 0.0304 |
| 2 | 0.5361 | 0.7282 | 0.62085 | 0.6209 | 0.5853 | 0.6565 | 0.0356 | |
| pH | 1 | 4.5600 | 6.6900 | 5.9100 | 5.7160 | 5.0566 | 6.3755 | 0.6595 |
| 2 | 4.5600 | 6.7300 | 5.7900 | 5.6099 | 4.8641 | 6.3556 | 0.7457 | |
| Ashes (%) | 1 | 2.69 | 11.86 | 3.94 | 5.17 | 2.52 | 7.82 | 2.65 |
| 2 | 2.94 | 17.67 | 4.07 | 5.80 | 2.47 | 9.12 | 3.32 | |
| Total fat (g/100 g coffee) | 1 | 5.92 | 11.31 | 8.99 | 8.92 | 7.59 | 10.26 | 1.34 |
| 2 | 6.46 | 10.98 | 9.51 | 9.31 | 8.32 | 10.30 | 0.99 |
Disclaimer/Publisher’s Note: The statements, opinions and data contained in all publications are solely those of the individual author(s) and contributor(s) and not of MDPI and/or the editor(s). MDPI and/or the editor(s) disclaim responsibility for any injury to people or property resulting from any ideas, methods, instructions or products referred to in the content. |
© 2023 by the authors. Licensee MDPI, Basel, Switzerland. This article is an open access article distributed under the terms and conditions of the Creative Commons Attribution (CC BY) license (https://creativecommons.org/licenses/by/4.0/).
Share and Cite
Peñuela-Martínez, A.E.; Hower-García, I.P.; Guerrero, A.; Agudelo-Laverde, L.M.; Betancourt-Rodríguez, H.; Martínez-Giraldo, J. Physical, Sensorial, and Physicochemical Characteristics of Arabica Coffee Dried under Two Solar Brightness Conditions. Processes 2023, 11, 3016. https://doi.org/10.3390/pr11103016
Peñuela-Martínez AE, Hower-García IP, Guerrero A, Agudelo-Laverde LM, Betancourt-Rodríguez H, Martínez-Giraldo J. Physical, Sensorial, and Physicochemical Characteristics of Arabica Coffee Dried under Two Solar Brightness Conditions. Processes. 2023; 11(10):3016. https://doi.org/10.3390/pr11103016
Chicago/Turabian StylePeñuela-Martínez, Aida Esther, Ingrid Paola Hower-García, Alvaro Guerrero, Lina Marcela Agudelo-Laverde, Henry Betancourt-Rodríguez, and Jhully Martínez-Giraldo. 2023. "Physical, Sensorial, and Physicochemical Characteristics of Arabica Coffee Dried under Two Solar Brightness Conditions" Processes 11, no. 10: 3016. https://doi.org/10.3390/pr11103016
APA StylePeñuela-Martínez, A. E., Hower-García, I. P., Guerrero, A., Agudelo-Laverde, L. M., Betancourt-Rodríguez, H., & Martínez-Giraldo, J. (2023). Physical, Sensorial, and Physicochemical Characteristics of Arabica Coffee Dried under Two Solar Brightness Conditions. Processes, 11(10), 3016. https://doi.org/10.3390/pr11103016

