Life Cycle Environmental and Economic Assessment of Different Biogas and Biogas Residue Operation Models
Abstract
:1. Introduction
2. Methodology and Data
2.1. Goal and Scope Definition
2.2. Data Source and Life Cycle Inventory (LCI)
2.3. Environmental Assessment
2.4. Economical Assessment
2.5. Environmental Impact Monetization Methodology
3. Result and Discussion
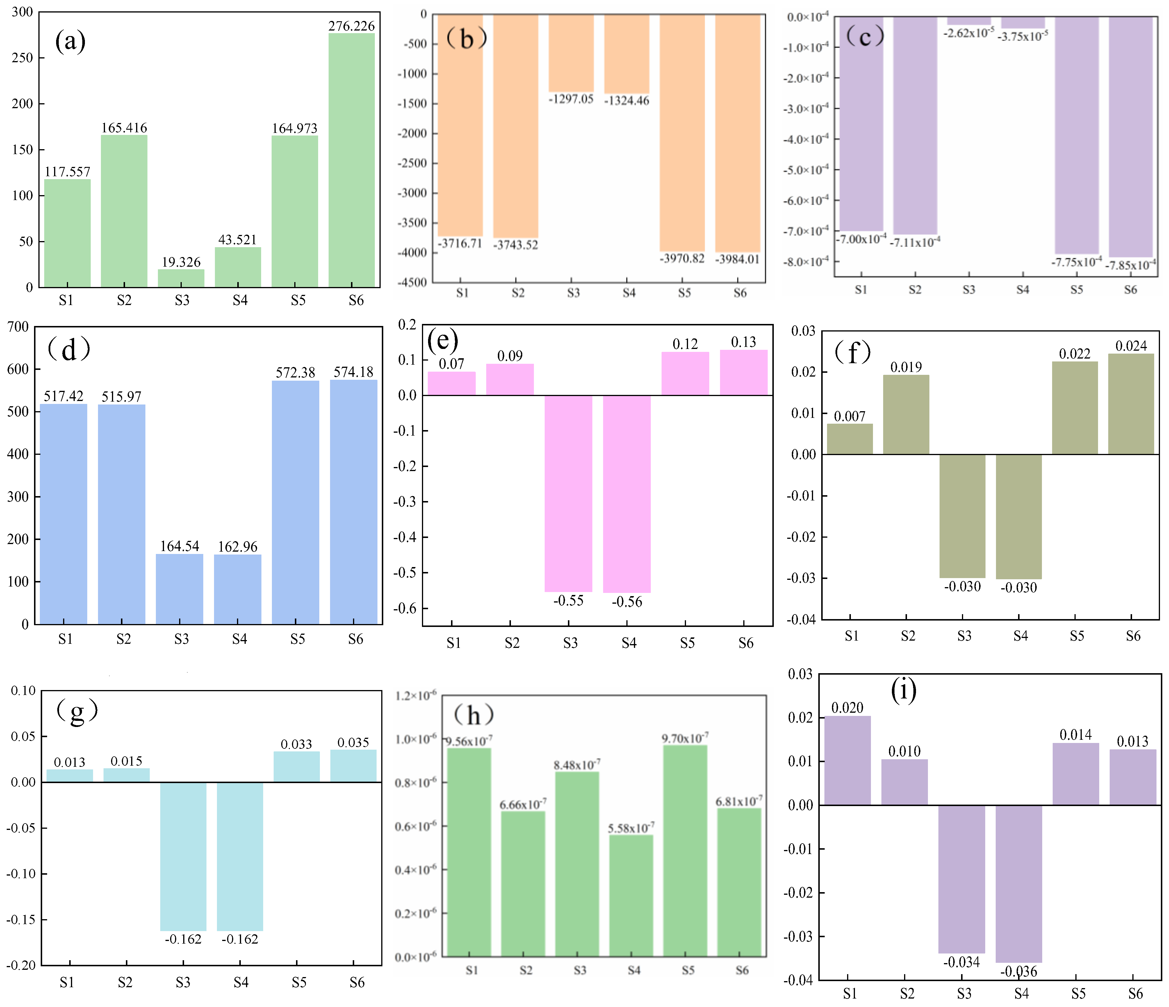
3.1. Characterization Analysis
3.2. Normalized Analysis
3.3. Economic Analysis
3.4. Coupled Environmental–Economic Analysis
4. Conclusions
Author Contributions
Funding
Data Availability Statement
Conflicts of Interest
References
- National Bureau of Statistics. Available online: http://www.stats.gov.cn (accessed on 5 August 2023).
- Battini, F.; Agostini, A.; Boulamanti, A.; Giuntoli, J.; Amaducci, S. Mitigating the environmental impacts of milk production via anaerobic digestion of manure: Case study of a dairy farm in the Po Valley. Sci. Total Environ. 2014, 481, 196–208. [Google Scholar] [CrossRef] [PubMed]
- Qi, J.; Yang, H.; Wang, X.; Zhu, H.; Wang, Z.; Zhao, C.; Li, B.; Liu, Z. State-of-the-art on animal manure pollution control and resource utilization. J. Environ. Chem. Eng. 2023, 11, 110462. [Google Scholar] [CrossRef]
- Gutiérrez, A.S.; Eras, J.J.C.; Billen, P.; Vandecasteele, C. Environmental assessment of pig production in Cienfuegos, Cuba: Alternatives for manure management. J. Clean. Prod. 2016, 112, 2518–2528. [Google Scholar] [CrossRef]
- Martínez-Valdez, F.; Komilis, D.; Saucedo-Castañeda, G.; Barrena, R.; Sanchez, A. The Effect of a Short Term Aerobic Pretreatment Step on the Anaerobic Co-digestion of the Organic Fraction of Municipal Solid Wastes: Liquid Extract Addition Versus Solid Phase Addition. Waste Biomass Valorization 2017, 8, 1793–1801. [Google Scholar] [CrossRef]
- Morero, B.; Groppelli, E.; Campanella, E.A. Life cycle assessment of biomethane use in Argentina. Bioresour. Technol. 2015, 182, 208–216. [Google Scholar] [CrossRef] [PubMed]
- Mertins, A.; Wawer, T. How to use biogas? A systematic review of biogas utilization pathways and business models. Bioresour. Bioprocess. 2022, 9, 59. [Google Scholar] [CrossRef]
- Li, J.; Gan, C.; Zhou, J.; Novakovic, V. Performance analysis of biomass direct combustion heating and centralized biogas supply system for rural districts in China. Energy Convers. Manag. 2023, 278, 116730. [Google Scholar] [CrossRef]
- Alonso-Vicario, A.; Ochoa-Gómez, J.R.; Gil-Río, S.; Gómez-Jiménez-Aberasturi, O.; Ramírez-López, C.; Torrecilla-Soria, J.; Domínguez, A. Purification and upgrading of biogas by pressure swing adsorption on synthetic and natural zeolites. Microporous Mesoporous Mater. 2010, 134, 100–107. [Google Scholar] [CrossRef]
- Minciuc, E.; Bitir-Istrate, I.; Patrascu, R.; Rada, E.C. Efficiency of Biogas Utilization for Cogeneration. Sci. Bull.-"Politeh." Univ. Buchar. Ser. C Electr. Eng. Comput. Sci. 2016, 78, 259–266. [Google Scholar]
- Sun, Y.; Yang, B.; Wang, Y.; Zheng, Z.; Wang, J.; Yue, Y.; Mu, W.; Xu, G.; Ying, J. Emergy evaluation of biogas production system in China from perspective of collection radius. Energy 2023, 265, 126377. [Google Scholar] [CrossRef]
- Arshad, F.; Lin, J.; Manurkar, N.; Fan, E.; Ahmad, A.; Tariq, M.-U.; Wu, F.; Chen, R.; Li, L. Life Cycle Assessment of Lithium-ion Batteries: A Critical Review. Resour. Conserv. Recycl. 2022, 180, 106164. [Google Scholar] [CrossRef]
- Blengini, G.; Brizio, E.; Cibrario, M.; Genon, G. LCA of bioenergy chains in Piedmont (Italy): A case study to support public decision makers towards sustainability. Resour. Conserv. Recycl. 2011, 57, 36–47. [Google Scholar] [CrossRef]
- Chen, B.; Chen, S. Life cycle assessment of coupling household biogas production to agricultural industry: A case study of biogas-linked persimmon cultivation and processing system. Energy Policy 2013, 62, 707–716. [Google Scholar] [CrossRef]
- Lijó, L.; Lorenzo-Toja, Y.; González-García, S.; Bacenetti, J.; Negri, M.; Moreira, M.T. Eco-efficiency assessment of farm-scaled biogas plants. Bioresour. Technol. 2017, 237, 146–155. [Google Scholar] [CrossRef] [PubMed]
- Krexner, T.; Bauer, A.; Zollitsch, W.; Weiland, K.; Bismarck, A.; Mautner, A.; Medel-Jiménez, F.; Gronauer, A.; Kral, I. Environmental life cycle assessment of nano-cellulose and biogas production from manure. J. Environ. Manag. 2022, 314, 115093. [Google Scholar] [CrossRef]
- Alengebawy, A.; Mohamed, B.; Ghimire, N.; Jin, K.; Liu, T.; Samer, M.; Ai, P. Understanding the environmental impacts of biogas utilization for energy production through life cycle assessment: An action towards reducing emissions. Environ. Res. 2022, 213, 113632. [Google Scholar] [CrossRef]
- Zhang, L.; Wang, J.; Li, S. Regional suitability analysis of the rural biogas power generation industry: A case of China. Renew. Energy 2022, 194, 293–306. [Google Scholar] [CrossRef]
- Purwanta; Bayu, A.I.; Mellyanawaty, M.; Budiman, A.; Budhijanto, W. Techno-economic analysis of reactor types and biogas utilization schemes in thermophilic anaerobic digestion of sugarcane vinasse. Renew. Energy 2022, 201, 864–875. [Google Scholar] [CrossRef]
- Kusmiyati, K.; Wijaya, D.K.; Hartono, B.R.; Shidik, G.F.; Fudholi, A. Harnessing the power of cow dung: Exploring the environmental, energy, and economic potential of biogas production in Indonesia. Results Eng. 2023, 20, 101431. [Google Scholar] [CrossRef]
- Zhao, H.; Liu, H.; Wei, G.; Wang, H.; Zhu, Y.; Zhang, R.; Yang, Y. Comparative life cycle assessment of emergency disposal scenarios for medical waste during the COVID-19 pandemic in China. Waste Manag. 2021, 126, 388–399. [Google Scholar] [CrossRef]
- Ding, J.; Hu, X.; Feng, Z.; Dong, L. Environmental life cycle assessment of monosodium glutamate production in China: Based on the progress of cleaner production in recent ten years. Sci. Total Environ. 2022, 818, 151706. [Google Scholar] [CrossRef] [PubMed]
- Lyu, Y.; Raugei, M.; Zhang, X.; Mellino, S.; Ulgiati, S. Environmental cost and impacts of chemicals used in agriculture: An integration of emergy and Life Cycle Assessment. Renew. Sustain. Energy Rev. 2021, 151, 111604. [Google Scholar] [CrossRef]
- Zhao, H.-L.; Liu, F.; Liu, H.-Q.; Wang, L.; Zhang, R.; Hao, Y. Comparative life cycle assessment of two ceramsite production technologies for reusing municipal solid waste incinerator fly ash in China. Waste Manag. 2020, 113, 447–455. [Google Scholar] [CrossRef] [PubMed]
- National Bureau of Statistics. China Statistical Yearbook. 2022. Available online: http://www.stats.gov.cn/sj/ndsj/2022/indexch.htm (accessed on 13 July 2004).
- Schloter, L. Empirical analysis of the depreciation of electric vehicles compared to gasoline vehicles. Transp. Policy 2022, 126, 268–279. [Google Scholar] [CrossRef]
- Guo, S.; Li, X.; Zhao, R.; Gong, Y. Comparison of life cycle assessment between lyocell fiber and viscose fiber in China. Int. J. Life Cycle Assess. 2021, 26, 1545–1555. [Google Scholar] [CrossRef]
- Liu, F.; Liu, H.; Yang, N.; Wang, L. Comparative study of municipal solid waste incinerator fly ash reutilization in China: Environmental and economic performances. Resour. Conserv. Recycl. 2021, 169, 105541. [Google Scholar] [CrossRef]
- Liu, H.; Qiao, H.; Liu, S.; Wei, G.; Zhao, H.; Li, K.; Weng, F. Energy, environment and economy assessment of sewage sludge incineration technologies in China. Energy 2023, 264, 126294. [Google Scholar] [CrossRef]
- Zhao, H.-L.; Wang, L.; Liu, F.; Liu, H.-Q.; Zhang, N.; Zhu, Y.-W. Energy, environment and economy assessment of medical waste disposal technologies in China. Sci. Total Environ. 2021, 796, 148964. [Google Scholar] [CrossRef]
- Abdelhady, S. Performance and cost evaluation of solar dish power plant: Sensitivity analysis of levelized cost of electricity (LCOE) and net present value (NPV). Renew. Energ. 2021, 168, 332–342. [Google Scholar] [CrossRef]
- Zheng, W.; Shi, H.; Chen, S.; Zhu, M. Benefit and cost analysis of mariculture based on ecosystem services. Ecol. Econ. 2009, 68, 1626–1632. [Google Scholar] [CrossRef]
- Huysegoms, L.; Rousseau, S.; Cappuyns, V. Friends or foes? Monetized Life Cycle Assessment and Cost-Benefit Analysis of the site remediation of a former gas plant. Sci. Total Environ. 2018, 619–620, 258–271. [Google Scholar] [CrossRef] [PubMed]
- Da Silva, C.; Barbosa-Póvoa, A.P.; Carvalho, A. Sustainable Supply Chain: Monetization of Environmental Impacts. Comput. Aided Chem. Eng. 2018, 43, 773–778. [Google Scholar]
- Huang, B.; Wang, Y.; Huang, Y.; Xu, X.; Chen, X.; Duan, L.; Yu, G.; Li, Z.; Liu, H.; Kua, H.W.; et al. Life cycle cost analysis of solar energy via environmental externality monetization. Sci. Total Environ. 2023, 856, 158910. [Google Scholar] [CrossRef]
- Chen, S.; Chen, B.; Song, D. Life-cycle energy production and emissions mitigation by comprehensive biogas–digestate utilization. Bioresour. Technol. 2012, 114, 357–364. [Google Scholar] [CrossRef] [PubMed]
- Zhang, C.; Xu, Y. Economic analysis of large-scale farm biogas power generation system considering environmental benefits based on LCA: A case study in China. J. Clean. Prod. 2020, 258, 120985. [Google Scholar] [CrossRef]










| Item | Raw Material | Unit | S1 | S2 | S3 | S4 | S5 | S6 |
|---|---|---|---|---|---|---|---|---|
| Input | Animal waste | kg | 1000 | 1000 | 1000 | 1000 | 1000 | 1000 |
| Electricity | kWh | 5.84 | 6.22 | 8.02 | 8.36 | 18.33 | 19.62 | |
| Diesel | kg | 2.26 | 1.57 | 2.26 | 1.57 | 2.26 | 1.57 | |
| Water | kg | 479.51 | 479.51 | 481.11 | 481.11 | 489.9 | 489.9 | |
| Stainless steel | g | - | - | - | - | 0.02 | 0.02 | |
| Lube | g | - | - | 0.39 | 0.39 | 1.93 | 1.93 | |
| Sodium hydroxide | g | 140.02 | 140.02 | 140.02 | 140.02 | 123.25 | 123.25 | |
| Iron oxide | g | - | - | - | - | 105.01 | 105.01 | |
| Activated carbon | g | - | - | - | - | 2.63 | 2.63 | |
| Output | Electricity | kWh | - | - | 101.90 | 101.90 | - | - |
| Biogas | MJ | 1549.29 | 1549.29 | - | - | - | - | |
| Natural gas | Nm3 | - | - | - | - | 46.59 | 46.59 | |
| Emission | CO2 | kg | 108.09 | 142.85 | 119.21 | 143.55 | 135.51 | 223.47 |
| CH4 | kg | 0.11 | 0.57 | 0.31 | 0.31 | 0.31 | 1.11 | |
| NOx | g | 10.44 | 27.94 | 7.97 | 39.92 | 71.89 | 71.17 | |
| N2O | g | 0.15 | 1.33 | 1.77 | 0.97 | 1.45 | 1.61 | |
| SO2 | g | 14.99 | 45.43 | 3.08 | 1.45 | 1.50 | 2.36 | |
| VOC | g | 9.33 | 12.06 | 11.44 | 11.93 | 59.47 | 139.62 | |
| CO | g | 15.52 | 114.03 | 16.99 | 24.18 | 40.58 | 48.17 | |
| CO2 | kg | 108.09 | 142.85 | 15.68 | 31.66 | 143.55 | 223.47 | |
| COD | kg | 0.11 | 0.57 | 0.31 | 0.31 | 0.63 | 0.71 |
| Environmental Impact | Unit | Reference Value |
|---|---|---|
| GWP | CNY/kg CO2 eq | 0.152 |
| AP | CNY/kg SO2 eq | 3.67 |
| EP | CNY/kg PO43− eq | 1.75 |
| RI | CNY/kg PM 2.5 eq | 193 |
Disclaimer/Publisher’s Note: The statements, opinions and data contained in all publications are solely those of the individual author(s) and contributor(s) and not of MDPI and/or the editor(s). MDPI and/or the editor(s) disclaim responsibility for any injury to people or property resulting from any ideas, methods, instructions or products referred to in the content. |
© 2023 by the authors. Licensee MDPI, Basel, Switzerland. This article is an open access article distributed under the terms and conditions of the Creative Commons Attribution (CC BY) license (https://creativecommons.org/licenses/by/4.0/).
Share and Cite
Guan, J.; Li, N.; Li, H.; Yao, X.; Long, Y.; Wang, S.; Ji, A.; Xue, Y. Life Cycle Environmental and Economic Assessment of Different Biogas and Biogas Residue Operation Models. Processes 2023, 11, 3005. https://doi.org/10.3390/pr11103005
Guan J, Li N, Li H, Yao X, Long Y, Wang S, Ji A, Xue Y. Life Cycle Environmental and Economic Assessment of Different Biogas and Biogas Residue Operation Models. Processes. 2023; 11(10):3005. https://doi.org/10.3390/pr11103005
Chicago/Turabian StyleGuan, Jinghua, Ningzhou Li, Haiying Li, Xin Yao, Yue Long, Shaolong Wang, Aimin Ji, and Yuekai Xue. 2023. "Life Cycle Environmental and Economic Assessment of Different Biogas and Biogas Residue Operation Models" Processes 11, no. 10: 3005. https://doi.org/10.3390/pr11103005
APA StyleGuan, J., Li, N., Li, H., Yao, X., Long, Y., Wang, S., Ji, A., & Xue, Y. (2023). Life Cycle Environmental and Economic Assessment of Different Biogas and Biogas Residue Operation Models. Processes, 11(10), 3005. https://doi.org/10.3390/pr11103005
