Numerical Study of the Purge Flow’s Effect on the Loss Mechanism of the Blocking and Shear Effects
Abstract
:1. Introduction
2. Numerical Method
2.1. Computational Models
2.2. Numerical Approach and Mesh
2.3. Boundary Conditions
2.4. Validation of Numerical Method
3. Results and Discussion
3.1. Definition of Loss Parameters and Variation of Turbine Loss along Flow Direction
3.2. Blocking Effect
3.3. Viscous Shear Effect
4. Conclusions
- (1)
- The blocking effect of the purge flow on the upstream and the shear effect between the purge flow and the mainstream are responsible for the change of the stator loss. Both are sensitive to the sealing flow rate and sealing structure.
- (2)
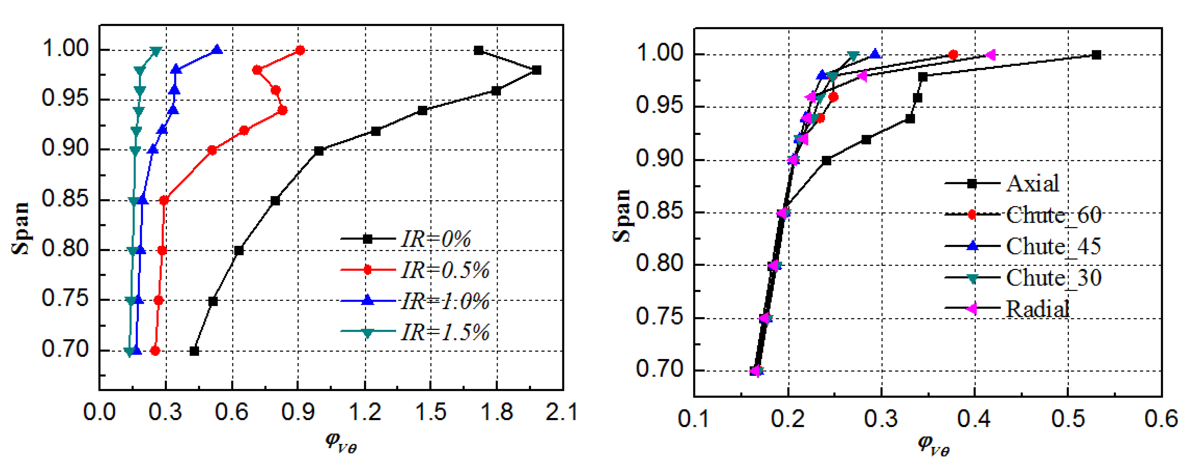
- The blocking effect is mainly affected by the radial and the tangential velocity at the exit of the cavity. The blocking effect is positively correlated with sealing efficiency. Thus, it is most apparent for the Chute_30 structure with a sealing efficiency of 99.9%. The tangential velocity, which is affected by gas ingestion, is the main factor in determining the blocking effect under the same sealing flow rate.
- (3)
- The shear mixing loss is mainly affected by the tangential velocity gradient along the radial and the axial direction, and the axial velocity gradient along the radial. The rim shear vortex formed by the gas intrusion at the rim gap reduces the tangential velocity gradient and increases the axial velocity gradient for the gas transport from the rotor side to the stator side. With the increase in sealing efficiency, the proportion of tangential velocity gradient increases obviously, which accounts for 66.5% of the axial sealing structure with IR = 1.5, and 69.5% for the Chute_30 sealing structure with IR = 1.0%. The tangential velocity gradient becomes the dominant factor of shear loss for the higher sealing efficiency situation. Thus, using the mixing shear model Sharon and Wilcox et al. proposed may be more accurate to evaluate the shear loss for the high sealing efficiency situation. In addition, the influence of the axial velocity gradient on the shear loss needs to be considered when the sealing efficiency is relatively low.
- (4)
- Increasing the tangential velocity is an effective way to reduce the upstream blocking effect and shear loss. Although the blocking effect reduces the upstream stator loss, it is still significant to alleviate the blockage effect from the perspective of the turbine as a whole because the blockage will affect the upstream and downstream flow fields simultaneously.
Author Contributions
Funding
Data Availability Statement
Conflicts of Interest
References
- Schuepbach, P.; Abhari, R.S.; Rose, M.G.; Germain, T.; Raab, I.; Gier, J. Effects of suction and injection purge-flow on the secondary flow structures of a high-work turbine. J. Turbomach 2010, 132, 021021. [Google Scholar] [CrossRef]
- Reid, K.; Denton, J.; Pullan, G.; Curtis, E.; Longley, J. The Effect of Stator-Rotor Hub Sealing Flow on the Mainstream Aerodynamics of a Turbine. In Proceedings of the ASME 51st Turbo Expo, Part A, Barcelona, Spain, 6–11 May 2006; Volume 6, pp. 789–798. [Google Scholar]
- Zlatinov, M.B.; Tan, V.S.; Montgomery, M.; Islam, T.; Harris, M. Turbine Hub and Shroud Sealing Flow Loss Mechanisms. J. Turbomach. 2012, 134, 061027. [Google Scholar] [CrossRef]
- Jia, W.; Liu, H. Numerical investigation of the interaction between upstream purge flow and mainstream in a highly-loaded turbine. In Proceedings of the ASME Turbo Expo 2014: Turbine Technical Conference and Exposition GT2014, Düsseldorf, Germany, 16–20 June 2014. ASME Paper GT2014-25501:1-15. [Google Scholar]
- Gallier, K.D.; Lawless, P.B.; Fletter, S. Development of the unsteady flow on a turbine rotor platform downstream of a rim seal. In Proceedings of the ASME Turbo Expo 2004,Power for Land, Sea, and Air, Vienna, Austria, 14–17 June 2004; ASME Paper GT2004-53899. 2004. [Google Scholar]
- Paniagua, G.; Denos, R.; Almeida, S. Effect of the Hub Endwall Cavity Flow on the Flow Field of a Transonic High-Pressure Turbine. J. Turbomach. 2004, 126, 578–586. [Google Scholar] [CrossRef]
- Rehder, H.J.; Dannhauer, A. Experimental Investigation of Turbine Leakage Flows on the Three-Dimensional Flow Field and Endwall Heat Transfer. J. Turbomach. 2007, 129, 608–618. [Google Scholar] [CrossRef]
- Schuepbach, P.; Abhari, R.S.; Rose, M.G.; Gier, J. Influence of Rim Seal Purge Flow on the Performance of an Endwall-Profiled Axial Turbine. ASME J. Turbomach. 2011, 133, 021011. [Google Scholar] [CrossRef]
- Ong, J.H.P.; Miller, R.J.; Uchida, S. The Effect of Coolant Injection on the Endwall Flow of a High Pressure Turbine. ASME J. Turbomach. 2012, 134, 051003. [Google Scholar] [CrossRef]
- Regina, K.; Kalfas, A.L.; Abhari, R.S. Experiment investigation of purge flow effects on a high pressure turbine stage. J. Turbomach. 2015, 137, 041006. [Google Scholar] [CrossRef]
- McLean, C.; Camci, C.; Glezer, B. Mainstream Aerodynamic Effects Due to Wheelspace Coolant Injection in a High Pressure Turbine Stage: Part I—Aerodynamic Measurements in the Stationary Frame. ASME J. Turbomach. 2001, 123, 697–703. [Google Scholar] [CrossRef]
- McLean, C.; Camci, C.; Glezer, B. Mainstream Aerodynamic Effects Due to Wheelspace Coolant Injection in a High Pressure Turbine Stage: Part II—Aerodynamic Measurements in the Rotational Frame. ASME J. Turbomach. 2001, 123, 687–696. [Google Scholar] [CrossRef]
- Carvalho Figueiredo, A.J.; Schreiner, B.D.J.; Mesny, A.W.; Pountney, O.J.; Scobie, J.A.; Li, Y.S.; Cleaver, D.J.; Sangan, C.M. Volumetric Velocimetry Measurement of Purge-Mainstream Interaction in a one-Stage Turbine. J. Turbomach. 2021, 143, 041011. [Google Scholar] [CrossRef]
- Mesny, A.W.; Glozier, M.A.; Pountney, O.J.; Scobie, J.A.; Li, Y.S.; Cleaver, D.J.; Sangan, C.M. Vortex Tracking of Purge-Mainstream Interactions in a Rotating Turbine Stage. J. Turbomach. 2022, 144, 041011. [Google Scholar] [CrossRef]
- Jenny, P.; Abhari, R.S.; Rose, M.G. Unsteady rotor hub passage vortex behavior in the presence of purge flow in an axial low pressure turbine. J. Turbomach. 2013, 135, 051022. [Google Scholar] [CrossRef]
- Schrewe, S.; Werschnik, H.; Schiffer, H.P. Experimental Analysis of the Interaction Between Rim Seal and Main Annulus Flow in a Low Pressure Two Stage Axial Turbine. J. Turbomach. 2013, 135, 051003. [Google Scholar] [CrossRef]
- Yang, F.; Zhou, L.; Wang, Z. Investigation on Interaction Loss Mechanism Between Rim Seal Flow and Mainstream. J. Propuls. Technol. 2020, 41, 285–293. [Google Scholar]
- Yang, F.; Zhou, L.; Wang, Z. Unsteady numerical investigation on viscous shear loss caused by rim seal purge flow. J. Power Energy 2019, 233. [Google Scholar] [CrossRef]
- Yang, F.; Zhou, L.; Wang, Z. Unsteady numerical investigation on vortex interaction between rim seal flow and mainstream. J. Propuls. Technol. 2019, 40, 315–323. [Google Scholar]
- Barisi, D.; Lengani, D.; Simoni, D.; Venturino, G.; Bertini, F.; Giovannini, M.; Rubechini, F. Analysis of the Loss Production Mechanism Due to Cavity-Main Flow Interaction in a Low-Pressure Turbine Stage. J. Turbomach. 2022, 144, 091004. [Google Scholar] [CrossRef]
- Huang, J.W.; Fu, W.L.; Ma, G.J.; Wang, G.J.; Gao, J. Interaction between 1.5-stage turbine rim seal purge flow and mainstream and flow interface between rim seals affected by rim seal structure. Acta Aeronaut. Astronaut. Sin. 2021, 42, 124549. [Google Scholar]
- Hunter, S.D.; Manwaring, S.R. Endwall Cavity Flow Effects on Gaspath Aerodynamics in an Axial Flow Turbine Part 1—Experimental and Numerical Investigation. In Proceedings of the ASME Turbo Expo 2000, Munich, Germany, 8–11 May 2000; ASME Paper 2000-GT-651. 2000. [Google Scholar]
- Zhang, Z.; Zhang, Y.; Dong, X.; Qu, X.; Lu, X.; Zhang, Y. Flow mechanism between purge flow andmainstream in different turbine rim seal configurations. Chin. J. Aeronaut. 2020, 33, 2162–2175. [Google Scholar] [CrossRef]
- Bai, T.; Yang, Q.; Liu, J.; Shi, Y.; Qiao, S. Numerical study of turbine rim seals performance with different sealing structures. Métodos Numéricos Para Cálculo Diseño Ing. Rev. Int. 2022, 38, 32. [Google Scholar] [CrossRef]
- Behr, T. Control of Rotor Tip Leakage and Secondary Flow by Casing Air Injection in Unshrouded Axial Turbines. Ph.D. Thesis, Dresden University of Technology, Dresden, Germany, 2007. [Google Scholar]
- Cumpsty, N.A.; Horlock, J.H. Averaging Nonuniform Flow for a Purpose. ASME J. Turbomach. 2006, 128, 120–129. [Google Scholar] [CrossRef]
- Chilla, M.; Hodson, H.; Newman, D. Unsteady interaction between annulus and turbine rim seal flows. J. Turbomach. 2013, 135, 051024. [Google Scholar] [CrossRef]
- Young, J.B.; Wilcock, R.C. Modeling the Air-Cooled Gas Turbine: Part 2-Coolant Flows and Losses. ASME J. Turbomach. 2002, 124, 214–221. [Google Scholar] [CrossRef]















| Parameter | S1 | R1 | S2 |
|---|---|---|---|
| Blade numbers | 36 | 54 | 36 |
| Span/mm | 70 | 70 | 70 |
| Chord length/mm | 80.88 | 59.72 | 85.50 |
| Pitch/mm | 63.7 | 42.5 | 63.7 |
| Inlet angle/° | 0.0 | 52.4 | −35.4 |
| Exit angle/° | 72.0 | −66.6 | 66.0 |
| Exit Ma | 0.54 | 0.50 | 0.48 |
| Re/×105 | 7.1 | 3.8 | 5.1 |
| Boundary Condition | Value |
|---|---|
| Total pressure in the mainstream inlet (Kpa) | 140 |
| Total temperature in mainstream inlet (K) | 328 |
| Total temperature in the cavity inlet(K) | 308 |
| Rim seal flow IR in cavity inlet | 0%,0.5%,1.0%,1.5% |
| The concentration of CO2 in mainstream inlet | 0 |
| The concentration of CO2 in cavity inlet | 1 |
| The rotation speed of rotor wall(r/min) | 2700 |
| Axial | Radial | Chute_60 | Chute_45 | Chute_30 | |
|---|---|---|---|---|---|
| 0% | −0.003 | — | — | — | — |
| 0.5% | −0.009 | — | — | — | — |
| 1.0% | −0.018 | −0.020 | −0.021 | −0.026 | −0.028 |
| 1.5% | −0.026 | — | — | — | — |
![]() | Axial | Radial | Chute_60 | Chute_45 | Chute_30 |
|---|---|---|---|---|---|
| 0% | 10.4% | — | — | — | — |
| 0.5% | 42.0% | — | — | — | — |
| 1.0% | 77.3% | 82.3% | 86.4% | 94.1% | 99.9% |
| 1.5% | 95.3% | — | — | — | — |
| Axial | Radial | Chute_60 | Chute_45 | Chute_30 | |
|---|---|---|---|---|---|
| 0% | 0.0467 | — | — | — | — |
| 0.5% | 0.0534 | — | — | — | — |
| 1.0% | 0.0670 | 0.0863 | 0.0734 | 0.0924 | 0.095 |
| 1.5% | 0.0855 | — | — | — | — |
| Mass Average | 0% | 0.5% | 1% | 1.5% |
|---|---|---|---|---|
| 121.0 (32.8%) | 226.7 (36.2%) | 319.7 (39.7%) | 448.4 (39.1%) | |
| 23.14 (6.3%) | 121.2 (19.4%) | 204.2 (25.3%) | 314.82 (27.4%) | |
| 117.0 (31.7%) | 133.5 (21.3%) | 119.7 (14.9%) | 148.62 (13%) | |
| Total proportion | 70.8% | 76.9% | 79.9% | 79.5% |
| Mass Average | Axial | Radial | Chute_60 | Chute_45 | Chute_30 |
|---|---|---|---|---|---|
| 319.66 (39.7%) | 265.95 (33.1%) | 426.4 (46.3%) | 440.9 (48.4%) | 482.0 (51.7%) | |
| 204.214 (25.3%) | 215.362 (26.8%) | 183.2 (19.9%) | 171.76 (18.9%) | 165.4 (17.8%) | |
| 119.74 (14.9%) | 154.05 (19.2%) | 108.417 (11.8%) | 98.65 (10.8%) | 68.82 (7.4%) | |
| Total proportion | 79.9% | 79.1% | 78% | 78.1% | 76.9% |
Disclaimer/Publisher’s Note: The statements, opinions and data contained in all publications are solely those of the individual author(s) and contributor(s) and not of MDPI and/or the editor(s). MDPI and/or the editor(s) disclaim responsibility for any injury to people or property resulting from any ideas, methods, instructions or products referred to in the content. |
© 2022 by the authors. Licensee MDPI, Basel, Switzerland. This article is an open access article distributed under the terms and conditions of the Creative Commons Attribution (CC BY) license (https://creativecommons.org/licenses/by/4.0/).
Share and Cite
Bai, T.; Yang, Q.; Liu, J. Numerical Study of the Purge Flow’s Effect on the Loss Mechanism of the Blocking and Shear Effects. Processes 2023, 11, 50. https://doi.org/10.3390/pr11010050
Bai T, Yang Q, Liu J. Numerical Study of the Purge Flow’s Effect on the Loss Mechanism of the Blocking and Shear Effects. Processes. 2023; 11(1):50. https://doi.org/10.3390/pr11010050
Chicago/Turabian StyleBai, Tao, Qingzhen Yang, and Jian Liu. 2023. "Numerical Study of the Purge Flow’s Effect on the Loss Mechanism of the Blocking and Shear Effects" Processes 11, no. 1: 50. https://doi.org/10.3390/pr11010050
APA StyleBai, T., Yang, Q., & Liu, J. (2023). Numerical Study of the Purge Flow’s Effect on the Loss Mechanism of the Blocking and Shear Effects. Processes, 11(1), 50. https://doi.org/10.3390/pr11010050

