A Comprehensive Review Regarding Condensation of Low-GWP Refrigerants for Some Major Alternatives of R-134a
Abstract
:1. Introduction
2. Condensation Heat Transfer Characteristics of Low-GWP Refrigerants
2.1. Condensation Outside the Smooth and Enhanced Tube
2.2. Condensation HTC and Pressure Drop Characteristics Inside the Smooth Tube, Microfin Tube, and Minichannel
2.2.1. Condensation Inside the Smooth Tube
2.2.2. Condensation Inside the Microfin Tube
2.2.3. Condensation Inside the Minichannel Tube
2.3. Condensation HTCs and Pressure Drop Characteristics Inside Plate Heat Exchanger
3. Discussion
4. Conclusions
- The condensing HTC of R-1234ze(E) was approximately 8~11% lower than that of R-134a.
- It was found that R-134a was more efficient than other refrigerants and gave the highest heat transfer performance outside the two tubes.
- The condensing HTC of R-1234ze(Z) was approximately 10% higher than R-245fa.
- The condensing HTC of R-1233zd(E) was comparable to that of R-245fa.
- The condensing HTC of R-134a was approximately 2 times higher than R-1233zd(E).
- The condensation HTCs of R-134a and R-1234yf were almost identical.
- On smooth/enhanced inside tubes, the average condensation HTCs of the R-513A and R-1234ze(E) refrigerants were similar to R-134a at a lower mass flux (100~150 kg/m2s), while they were up to 10% higher than R-134a as the mass flux increased.
- On smooth/enhanced inside tubes, the pressure drop of R-513A was similar to R-1234yf and 10% lower than that of R-134a at a higher mass flux. The R-1234ze(E) pressure drops were 20% higher compared to those of R-134a at a higher mass flux.
- On a smooth tube, the film condensation HTCs of R-1234ze(E) and R-1233zd(E) were approximately 10.97% and 10.04% lower than those of R-134a.
- In a minichannel, R-513A’s condensation HTCs were 2.6–25.6% lower than R-134a and the pressure drops were 4.5–14.0% lower than R-134a.
- In a minichannel, R-450A’s HTCs were 2.4% higher than R-134a at higher mass fluxes and higher qualities but 11.7% lower than R-134a’s HTCs at lower mass fluxes. R450A’s pressure drop was comparable to R-134a’s pressure drop and it was 5.0% higher to 9.5% lower.
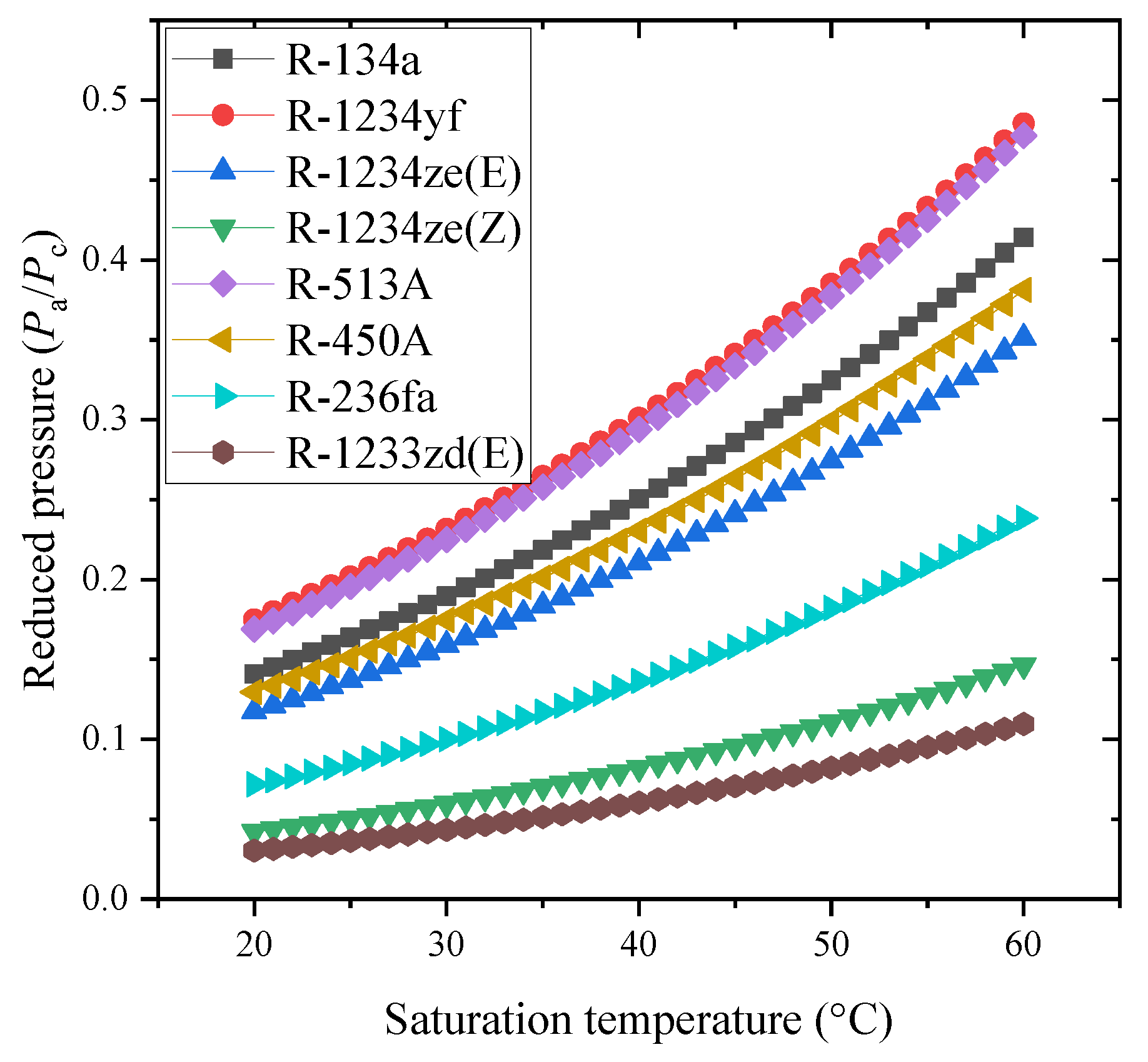
- The saturation temperature has a negligible effect on condensation HTCs compared to refrigerant mass flux and vapor quality in the plate heat exchanger and outside the tube.
- In plate heat exchanger, R-1234ze(E) exhibited lower (4% to 6%) HTCs and a 10% higher frictional pressure drop than those of R-134a.
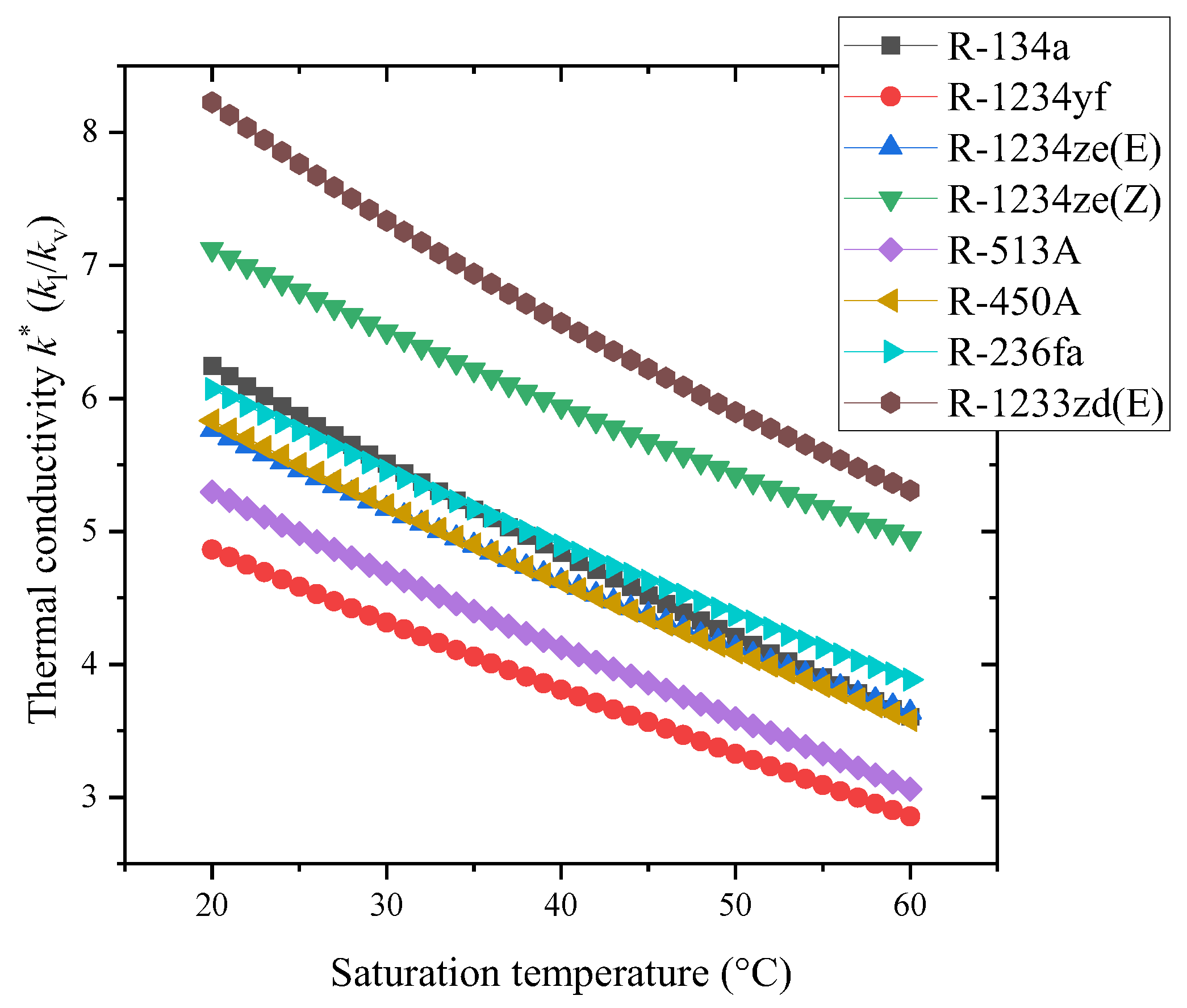
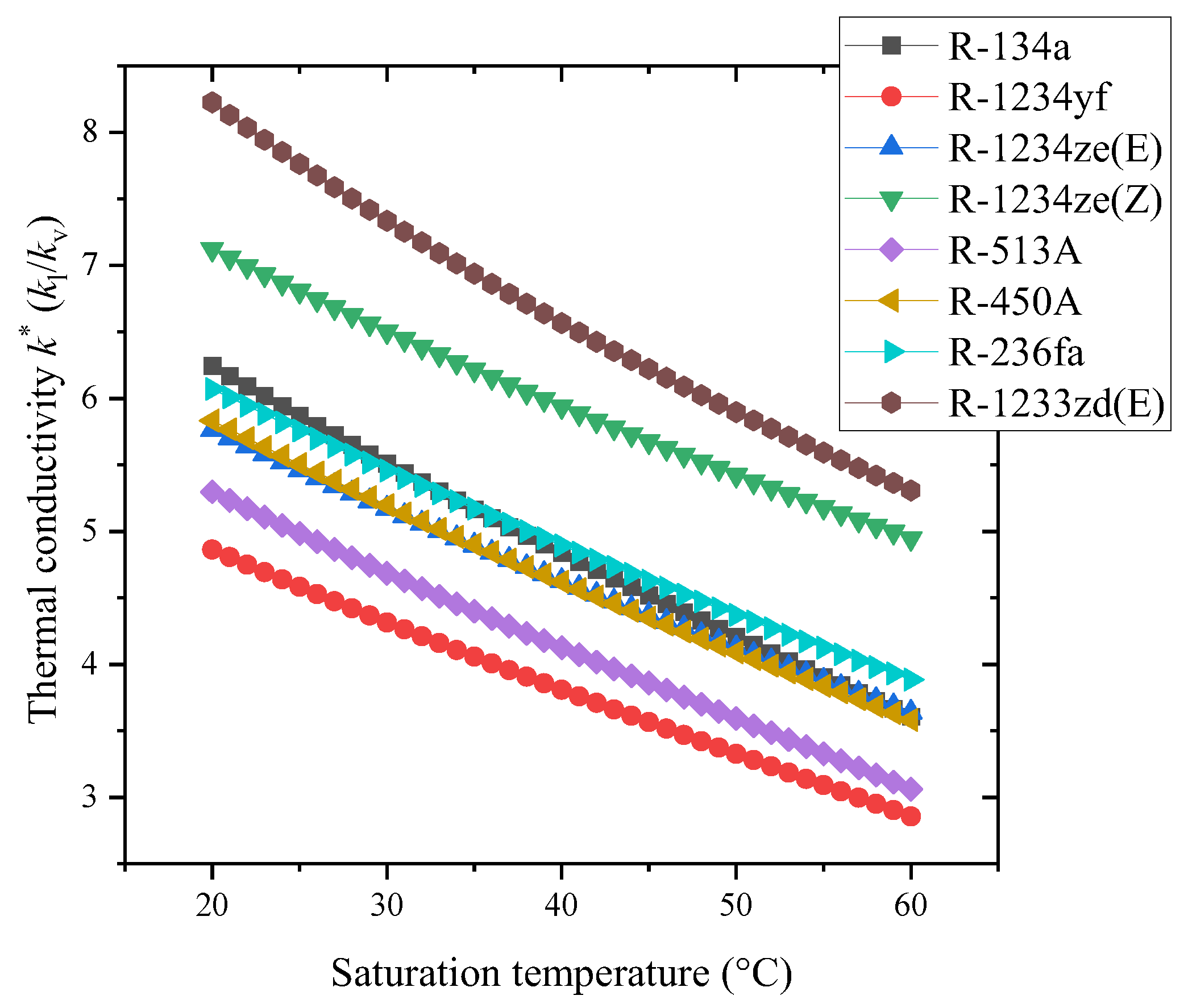
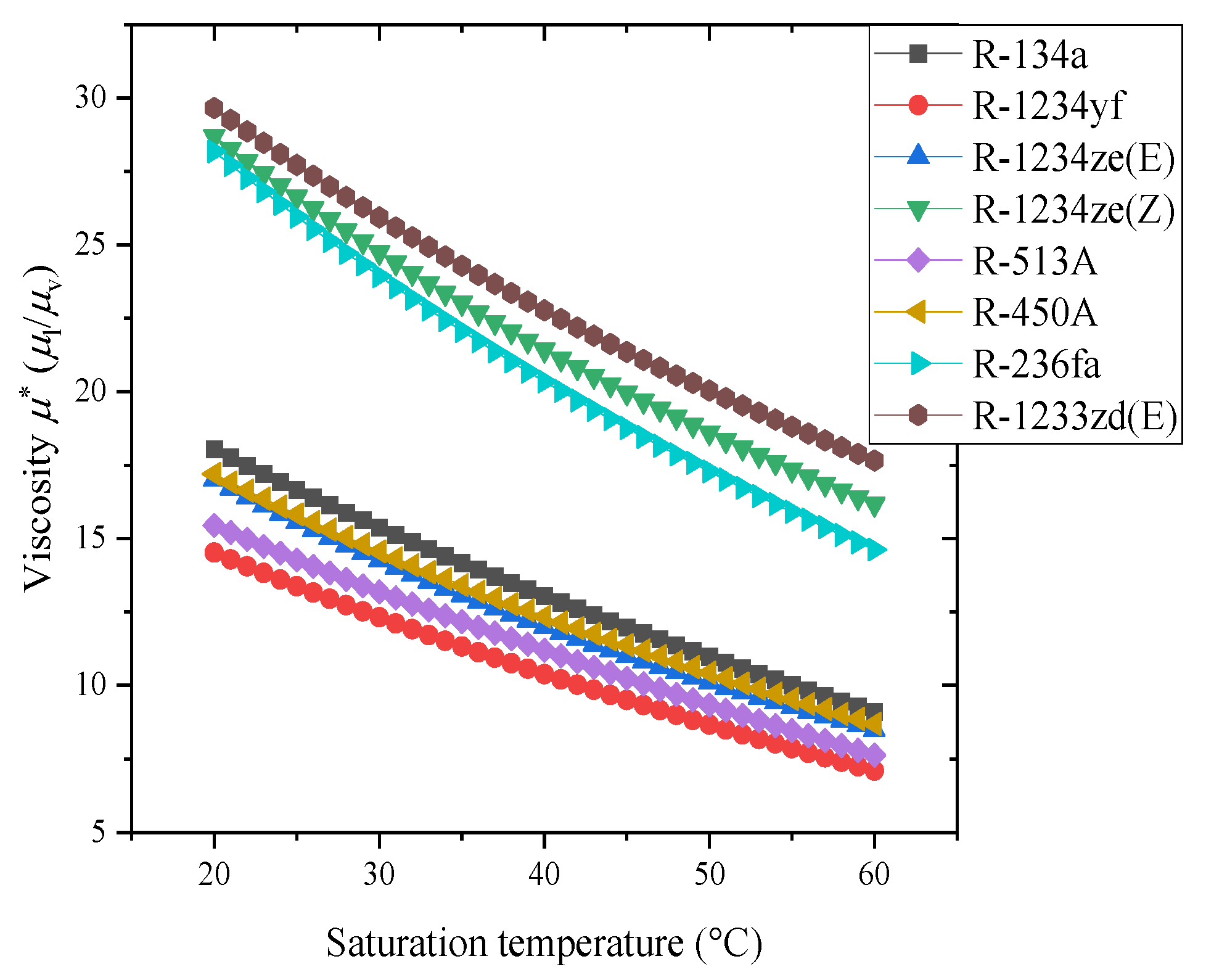
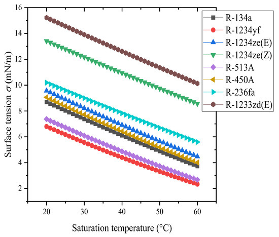
- The range of the film Reynolds numbers for R-1233zd(E) was smaller than that of R-1234ze(E) under similar surface-subcooling temperature conditions because the viscosity was approximately 70% larger, and the liquid film flow rate was about 20% lower for R-1233zd(E) than R-1234ze(E).
Author Contributions
Funding
Conflicts of Interest
References
- Lemmon, E.; Huber, M.; McLinden, M. REFPROP, NIST Standard Reference Database 23, v. 10.0; National Institute of Standards: Gaithersburg, MD, USA, 2018. [Google Scholar]
- El Kadi, K.; Alnaimat, F.; Sherif, S.A. Recent advances in condensation heat transfer in mini and micro channels: A comprehensive review. Appl. Therm. Eng. 2021, 197, 117412. [Google Scholar] [CrossRef]
- Fronk, B.M.; Garimella, S. In-tube condensation of zeotropic fluid mixtures: A review. Int. J. Refrig. 2013, 36, 534–561. [Google Scholar] [CrossRef]
- Ho, J.Y.; Leong, K.C. A critical review of filmwise natural and forced convection condensation on enhanced surfaces. Appl. Therm. Eng. 2021, 186, 116437. [Google Scholar] [CrossRef]
- Mauro, A.W.; Napoli, G.; Pelella, F.; Viscito, L. Flow pattern, condensation and boiling inside and outside smooth and enhanced surfaces of propane (R290). State of the art review. Int. J. Heat Mass Transf. 2021, 174, 121316. [Google Scholar] [CrossRef]
- Shon, B.H.; Jeon, S.W.; Kim, Y.; Kang, Y.T. Review: Condensation and Evaporation Characteristics of Low GWP Refrigerants in Plate Heat Exchangers. Int. J. Air-Cond. Refrig. 2016, 24, 1630004. [Google Scholar] [CrossRef]
- Tao, X.; Infante Ferreira, C.A. Heat transfer and frictional pressure drop during condensation in plate heat exchangers: Assessment of correlations and a new method. Int. J. Heat Mass Transf. 2019, 135, 996–1012. [Google Scholar] [CrossRef]
- Ko, J.-W.; Jeon, D.-S.; Kim, Y.-L.; Kim, S.-C. Experimental study on film condensation heat transfer characteristics of R1234ze(E) and R1233zd(E) over horizontal plain tubes. J. Mech. Sci. Technol. 2018, 32, 527–534. [Google Scholar] [CrossRef]
- Ko, J.-W.; Jeon, D.-S. Experimental study on film condensation heat transfer characteristics of R134a, R1234ze(E) and R1233zd(E) over condensation tube with enhanced surfaces. Heat Mass Transf. 2020, 56, 3001–3010. [Google Scholar] [CrossRef]
- Ji, W.-T.; Lu, X.-D.; Yu, Q.-N.; Zhao, C.-Y.; Zhang, H.; Tao, W.-Q. Film-wise condensation of R-134a, R-1234ze(E) and R-1233zd(E) outside the finned tubes with different fin thickness. Int. J. Heat Mass Transf. 2020, 146, 118829. [Google Scholar] [CrossRef]
- Park, K.-J.; Kang, D.G.; Jung, D. Condensation heat transfer coefficients of R1234yf on plain, low fin, and Turbo-C tubes. Int. J. Refrig. 2011, 34, 317–321. [Google Scholar] [CrossRef]
- Nagata, R.; Kondou, C.; Koyama, S. Comparative assessment of condensation and pool boiling heat transfer on horizontal plain single tubes for R1234ze(E), R1234ze(Z), and R1233zd(E). Int. J. Refrig. 2016, 63, 157–170. [Google Scholar] [CrossRef]
- Ji, W.-T.; Chong, G.-H.; Zhao, C.-Y.; Zhang, H.; Tao, W.-Q. Condensation heat transfer of R134a, R1234ze(E) and R290 on horizontal plain and enhanced titanium tubes. Int. J. Refrig. 2018, 93, 259–268. [Google Scholar] [CrossRef]
- Chen, T.; Wu, D. Enhancement in heat transfer during condensation of an HFO refrigerant on a horizontal tube with 3D fins. Int. J. Therm. Sci. 2018, 124, 318–326. [Google Scholar] [CrossRef]
- Jung, D.; Kim, C.-B.; Hwang, S.-M.; Kim, K.-K. Condensation heat transfer coefficients of R22, R407C, and R410A on a horizontal plain, low fin, and turbo-C tubes. Int. J. Refrig. 2003, 26, 485–491. [Google Scholar] [CrossRef]
- Reif, A.; Büchner, A.; Rehfeldt, S.; Klein, H. Outer heat transfer coefficient for condensation of pure components on single horizontal low-finned tubes. Heat Mass Transf. 2019, 55, 3–16. [Google Scholar] [CrossRef]
- Sajjan, S.K.; Dewangan, A.K.; Kumar, R.; Gupta, A. Experimental investigation and non-dimensional regression analysis of condensation heat transfer of R-600a over finned tubes. Int. J. Therm. Sci. 2021, 170, 107174. [Google Scholar] [CrossRef]
- Guo, Q.; Li, M.; Gu, H. Condensation heat transfer characteristics of low-GWP refrigerants in a smooth horizontal mini tube. Int. J. Heat Mass Transf. 2018, 126, 26–38. [Google Scholar] [CrossRef]
- Jacob, T.A.; Matty, E.P.; Fronk, B.M. Experimental investigation of in-tube condensation of low GWP refrigerant R450A using a fiber optic distributed temperature sensor. Int. J. Refrig. 2019, 103, 274–286. [Google Scholar] [CrossRef]
- Yang, C.-Y.; Nalbandian, H. Condensation heat transfer and pressure drop of refrigerants HFO-1234yf and HFC-134a in small circular tube. Int. J. Heat Mass Transf. 2018, 127, 218–227. [Google Scholar] [CrossRef]
- Hossain, M.A.; Onaka, Y.; Miyara, A. Experimental study on condensation heat transfer and pressure drop in horizontal smooth tube for R1234ze(E), R32 and R410A. Int. J. Refrig. 2012, 35, 927–938. [Google Scholar] [CrossRef]
- Wang, L.; Dang, C.; Hihara, E. Experimental study on condensation heat transfer and pressure drop of low GWP refrigerant HFO1234yf in a horizontal tube. Int. J. Refrig. 2012, 35, 1418–1429. [Google Scholar] [CrossRef]
- Wang, L.; Jiao, P.; Dang, C.; Hihara, E. Condensation heat transfer characteristics of R1234yf and other Refrigerants inside small-scale tube: An experimental study and heat transfer correlation development. Heat Mass Transf. 2022, 58, 1059–1074. [Google Scholar] [CrossRef]
- Longo, G.A.; Mancin, S.; Righetti, G.; Zilio, C. Saturated vapour condensation of HFC404A inside a 4mm ID horizontal smooth tube: Comparison with the long-term low GWP substitutes HC290 (Propane) and HC1270 (Propylene). Int. J. Heat Mass Transf. 2017, 108, 2088–2099. [Google Scholar] [CrossRef]
- Lips, S.; Meyer, J.P. Experimental study of convective condensation in an inclined smooth tube. Part I: Inclination effect on flow pattern and heat transfer coefficient. Int. J. Heat Mass Transf. 2012, 55, 395–404. [Google Scholar] [CrossRef]
- Lips, S.; Meyer, J.P. Experimental study of convective condensation in an inclined smooth tube. Part II: Inclination effect on pressure drops and void fractions. Int. J. Heat Mass Transf. 2012, 55, 405–412. [Google Scholar] [CrossRef]
- Agarwal, R.; Hrnjak, P. Condensation in two phase and desuperheating zone for R1234ze(E), R134a and R32 in horizontal smooth tubes. Int. J. Refrig. 2015, 50, 172–183. [Google Scholar] [CrossRef]
- Macdonald, M.; Garimella, S. Hydrocarbon condensation in horizontal smooth tubes: Part I—Measurements. Int. J. Heat Mass Transf. 2016, 93, 75–85. [Google Scholar] [CrossRef]
- Macdonald, M.; Garimella, S. Effect of Temperature Difference on In-Tube Condensation Heat Transfer Coefficients. J. Heat Transf. 2017, 139, 011502. [Google Scholar] [CrossRef]
- Jajja, S.A.; Nawaz, K.; Fricke, B.A. In Tube Condensation Heat Transfer and Pressure Drop for R454B and R32—Potential Replacements for R410A. Int. J. Refrig. 2022. [Google Scholar] [CrossRef]
- Lee, B.-M.; Gook, H.-H.; Lee, S.-B.; Lee, Y.-W.; Park, D.-H.; Kim, N.-H. Condensation heat transfer and pressure drop of low GWP R-404A alternative refrigerants (R-448A, R-449A, R-455A, R-454C) in a 5.6 mm inner diameter horizontal smooth tube. Int. J. Refrig. 2021, 128, 71–82. [Google Scholar] [CrossRef]
- Karageorgis, A.; Hinopoulos, G.; Kim, M.-H. A Comparative Study on the Condensation Heat Transfer of R-513A as an Alternative to R-134a. Machines 2021, 9, 114. [Google Scholar] [CrossRef]
- Diani, A.; Cavallini, A.; Rossetto, L. R1234yf condensation inside a 3.4 mm ID horizontal microfin tube. Int. J. Refrig. 2017, 75, 178–189. [Google Scholar] [CrossRef]
- Diani, A.; Brunello, P.; Rossetto, L. R513A condensation heat transfer inside tubes: Microfin tube vs. smooth tube. Int. J. Heat Mass Transf. 2020, 152, 119472. [Google Scholar] [CrossRef]
- Diani, A.; Campanale, M.; Rossetto, L. Experimental study on heat transfer condensation of R1234ze(E) and R134a inside a 4.0 mm OD horizontal microfin tube. Int. J. Heat Mass Transf. 2018, 126, 1316–1325. [Google Scholar] [CrossRef]
- Diani, A.; Campanale, M.; Cavallini, A.; Rossetto, L. Low GWP refrigerants condensation inside a 2.4 mm ID microfin tube. Int. J. Refrig. 2018, 86, 312–321. [Google Scholar] [CrossRef]
- Diani, A.; Rossetto, L. Condensation of an Azeotropic Mixture inside 2.5 mm ID Minitubes. Fluids 2020, 5, 171. [Google Scholar] [CrossRef]
- Hirose, M.; Jige, D.; Inoue, N. Optimum fin geometries on condensation heat transfer and pressure drop of R1234ze(E) in 4-mm outside diameter horizontal microfin tubes. Sci. Technol. Built Environ. 2019, 25, 1271–1280. [Google Scholar] [CrossRef]
- Lambrechts, A.; Liebenberg, L.; Bergles, A.E.; Meyer, J.P. Heat Transfer Performance During Condensation Inside Horizontal Smooth, Micro-Fin and Herringbone Tubes. J. Heat Transf. 2006, 128, 691–700. [Google Scholar] [CrossRef]
- Bashar, M.K.; Nakamura, K.; Kariya, K.; Miyara, A. Experimental Study of Condensation Heat Transfer and Pressure Drop inside a Small Diameter Microfin and Smooth Tube at Low Mass Flux Condition. Appl. Sci. 2018, 8, 2146. [Google Scholar] [CrossRef]
- Wen, J.; Gu, X.; Wang, S.; Li, Y.; Tu, J. The comparison of condensation heat transfer and frictional pressure drop of R1234ze(E), propane and R134a in a horizontal mini-channel. Int. J. Refrig. 2018, 92, 208–224. [Google Scholar] [CrossRef]
- Jige, D.; Mikajiri, N.; Nobunaga, M.; Inoue, N. Condensation heat transfer of pure refrigerants R1234yf and R32 inside multiple circular minichannels. Int. J. Heat Mass Transf. 2022, 195, 123146. [Google Scholar] [CrossRef]
- Jige, D.; Inoue, N.; Koyama, S. Condensation of refrigerants in a multiport tube with rectangular minichannels. Int. J. Refrig. 2016, 67, 202–213. [Google Scholar] [CrossRef]
- Goss, G.; Passos, J.C. Heat transfer during the condensation of R134a inside eight parallel microchannels. Int. J. Heat Mass Transf. 2013, 59, 9–19. [Google Scholar] [CrossRef]
- Morrow, J.A.; Derby, M.M. Flow condensation heat transfer and pressure drop of R134a alternative refrigerants R513A and R450A in 0.95-mm diameter minichannels. Int. J. Heat Mass Transf. 2022, 192, 122894. [Google Scholar] [CrossRef]
- Matkovic, M.; Cavallini, A.; Del Col, D.; Rossetto, L. Experimental study on condensation heat transfer inside a single circular minichannel. Int. J. Heat Mass Transf. 2009, 52, 2311–2323. [Google Scholar] [CrossRef]
- Del Col, D.; Azzolin, M.; Bortolin, S.; Zilio, C. Two-phase pressure drop and condensation heat transfer of R32/R1234ze(E) non-azeotropic mixtures inside a single microchannel. Sci. Technol. Built Environ. 2015, 21, 595–606. [Google Scholar] [CrossRef]
- Del Col, D.; Bortolato, M.; Azzolin, M.; Bortolin, S. Effect of inclination during condensation inside a square cross section minichannel. Int. J. Heat Mass Transf. 2014, 78, 760–777. [Google Scholar] [CrossRef]
- Azzolin, M.; Bortolin, S. Condensation and flow boiling heat transfer of a HFO/HFC binary mixture inside a minichannel. Int. J. Therm. Sci. 2021, 159, 106638. [Google Scholar] [CrossRef]
- Azzolin, M.; Berto, A.; Bortolin, S.; Moro, L.; Del Col, D. Condensation of ternary low GWP zeotropic mixtures inside channels. Int. J. Refrig. 2019, 103, 77–90. [Google Scholar] [CrossRef]
- Illán-Gómez, F.; López-Belchí, A.; García-Cascales, J.R.; Vera-García, F. Experimental two-phase heat transfer coefficient and frictional pressure drop inside mini-channels during condensation with R1234yf and R134a. Int. J. Refrig. 2015, 51, 12–23. [Google Scholar] [CrossRef]
- Gu, X.; Wen, J.; Wang, C.; Zhang, X.; Wang, S.; Tu, J. Condensation flow patterns and model assessment for R1234ze(E) in horizontal mini/macro-channels. Int. J. Therm. Sci. 2018, 134, 140–159. [Google Scholar] [CrossRef]
- Park, J.E.; Vakili-Farahani, F.; Consolini, L.; Thome, J.R. Experimental study on condensation heat transfer in vertical minichannels for new refrigerant R1234ze(E) versus R134a and R236fa. Exp. Therm. Fluid Sci. 2011, 35, 442–454. [Google Scholar] [CrossRef]
- Murphy, D.L.; Macdonald, M.P.; Mahvi, A.J.; Garimella, S. Condensation of propane in vertical minichannels. Int. J. Heat Mass Transf. 2019, 137, 1154–1166. [Google Scholar] [CrossRef]
- López-Belchí, A. Assessment of a mini-channel condenser at high ambient temperatures based on experimental measurements working with R134a, R513A and R1234yf. Appl. Therm. Eng. 2019, 155, 341–353. [Google Scholar] [CrossRef]
- López-Belchí, A.; Illán-Gómez, F.; Vera-García, F.; García-Cascales, J.R. Experimental condensing two-phase frictional pressure drop inside mini-channels. Comparisons and new model development. Int. J. Heat Mass Transf. 2014, 75, 581–591. [Google Scholar] [CrossRef]
- Liu, N.; Li, J. Experimental study on condensation heat transfer of R32, R152a and R22 in horizontal minichannels. Appl. Therm. Eng. 2015, 90, 763–773. [Google Scholar] [CrossRef]
- Liu, N.; Xiao, H.; Li, J. Experimental investigation of condensation heat transfer and pressure drop of propane, R1234ze(E) and R22 in minichannels. Appl. Therm. Eng. 2016, 102, 63–72. [Google Scholar] [CrossRef]
- Kruzel, M.; Bohdal, T.; Sikora, M. Heat transfer and pressure drop during refrigerants condensation in compact heat exchangers. Int. J. Heat Mass Transf. 2020, 161, 120283. [Google Scholar] [CrossRef]
- Liu, Y.; Wen, J.; Xu, P.; Khan, M.; Wang, S.; Tu, J. Numerical investigation on the condensation of R134a, R1234ze(E) and R450A in mini-channels. Int. J. Refrig. 2021, 130, 305–316. [Google Scholar] [CrossRef]
- Kuczyński, W.; Charun, H.; Piątkowski, P.; Bałasz, B.; Chliszcz, K. A regressive model for dynamic impulsive instabilities during the condensation of R134a, R1234ze(E) and R1234yf refrigerants. Int. J. Heat Mass Transf. 2021, 169, 120963. [Google Scholar] [CrossRef]
- Wang, H.S.; Rose, J.W. Theory of heat transfer during condensation in microchannels. Int. J. Heat Mass Transf. 2011, 54, 2525–2534. [Google Scholar] [CrossRef]
- Wang, H.S.; Rose, J.W. Film condensation in horizontal microchannels: Effect of channel shape. Int. J. Therm. Sci. 2006, 45, 1205–1212. [Google Scholar] [CrossRef]
- Wang, H.S.; Rose, J.W.; Honda, H. A Theoretical Model of Film Condensation in Square Section Horizontal Microchannels. Chem. Eng. Res. Des. 2004, 82, 430–434. [Google Scholar] [CrossRef]
- Awad, M.M.; Dalkiliç, A.S.; Wongwises, S. A Critical Review on Condensation Heat Transfer in Microchannels and Minichannels. J. Nanotechnol. Eng. Med. 2014, 5, 010904. [Google Scholar] [CrossRef]
- Kwon, O.J.; Shon, B.; Kang, Y.T. Experimental investigation on condensation heat transfer and pressure drop of a low GWP refrigerant R-1233zd(E) in a plate heat exchanger. Int. J. Heat Mass Transf. 2019, 131, 1009–1021. [Google Scholar] [CrossRef]
- Shon, B.H.; Jung, C.W.; Kwon, O.J.; Choi, C.K.; Tae Kang, Y. Characteristics on condensation heat transfer and pressure drop for a low GWP refrigerant in brazed plate heat exchanger. Int. J. Heat Mass Transf. 2018, 122, 1272–1282. [Google Scholar] [CrossRef]
- Jung, J.H.; Ko, Y.M.; Kang, Y.T. Condensation heat transfer characteristics and energy conversion performance analysis for low GWP refrigerants in plate heat exchangers. Int. J. Heat Mass Transf. 2021, 166, 120727. [Google Scholar] [CrossRef]
- Ko, Y.M.; Jung, J.H.; Sohn, S.; Song, C.H.; Kang, Y.T. Condensation heat transfer performance and integrated correlations of low GWP refrigerants in plate heat exchangers. Int. J. Heat Mass Transf. 2021, 177, 121519. [Google Scholar] [CrossRef]
- Zhang, J.; Kærn, M.R.; Ommen, T.; Elmegaard, B.; Haglind, F. Condensation heat transfer and pressure drop characteristics of R134a, R1234ze(E), R245fa and R1233zd(E) in a plate heat exchanger. Int. J. Heat Mass Transf. 2019, 128, 136–149. [Google Scholar] [CrossRef]
- Cattelan, G.; Diani, A.; Azzolin, M. Condensation heat transfer of R1234ze(E) and R134a inside a brazed plate heat exchanger: Experimental data and model assessment. Int. J. Refrig. 2022. [Google Scholar] [CrossRef]
- Kuo, W.S.; Lie, Y.M.; Hsieh, Y.Y.; Lin, T.F. Condensation heat transfer and pressure drop of refrigerant R-410A flow in a vertical plate heat exchanger. Int. J. Heat Mass Transf. 2005, 48, 5205–5220. [Google Scholar] [CrossRef]
- Yan, Y.-Y.; Lio, H.-C.; Lin, T.-F. Condensation heat transfer and pressure drop of refrigerant R-134a in a plate heat exchanger. Int. J. Heat Mass Transf. 1999, 42, 993–1006. [Google Scholar] [CrossRef]
- Soontarapiromsook, J.; Mahian, O.; Dalkilic, A.S.; Wongwises, S. Effect of surface roughness on the condensation of R-134a in vertical chevron gasketed plate heat exchangers. Exp. Therm. Fluid Sci. 2018, 91, 54–63. [Google Scholar] [CrossRef]
- Longo, G.A. Refrigerant R134a condensation heat transfer and pressure drop inside a small brazed plate heat exchanger. Int. J. Refrig. 2008, 31, 780–789. [Google Scholar] [CrossRef]
- Longo, G.A.; Zilio, C. Condensation of the low GWP refrigerant HFC1234yf inside a brazed plate heat exchanger. Int. J. Refrig. 2013, 36, 612–621. [Google Scholar] [CrossRef]
- Longo, G.A.; Zilio, C.; Righetti, G.; Brown, J.S. Condensation of the low GWP refrigerant HFO1234ze(E) inside a Brazed Plate Heat Exchanger. Int. J. Refrig. 2014, 38, 250–259. [Google Scholar] [CrossRef]
- Longo, G.A. Heat transfer and pressure drop during hydrocarbon refrigerant condensation inside a brazed plate heat exchanger. Int. J. Refrig. 2010, 33, 944–953. [Google Scholar] [CrossRef]
- Longo, G.A. The effect of vapour super-heating on hydrocarbon refrigerant condensation inside a brazed plate heat exchanger. Exp. Therm. Fluid Sci. 2011, 35, 978–985. [Google Scholar] [CrossRef]
- Longo, G.A. Heat transfer and pressure drop during HFC refrigerant saturated vapour condensation inside a brazed plate heat exchanger. Int. J. Heat Mass Transf. 2010, 53, 1079–1087. [Google Scholar] [CrossRef]
- Mancin, S.; Del Col, D.; Rossetto, L. Partial condensation of R407C and R410A refrigerants inside a plate heat exchanger. Exp. Therm. Fluid Sci. 2012, 36, 149–157. [Google Scholar] [CrossRef]
- Wang, R.; Kabelac, S. Condensation quasi-local heat transfer and frictional pressure drop of R1234ze(E) and R134a in a micro-structured plate heat exchanger. Appl. Therm. Eng. 2021, 197, 117404. [Google Scholar] [CrossRef]
- Khan, M.; Wen, J.; Shakoori, M.A.; Tao, W. Homogeneous condensation and thermophysical properties of R450A, R513A and R515A using molecular dynamics simulations. J. Mol. Liq. 2022, 353, 118795. [Google Scholar] [CrossRef]
- Pérez-García, V.; Méndez-Méndez, D.; Belman-Flores, J.M.; Rodríguez-Muñoz, J.L.; Montes-Rodríguez, J.J.; Ramírez-Minguela, J.J. Experimental study of influence of internal heat exchanger in a chest freezer using r-513a as replacement of r-134a. Appl. Therm. Eng. 2022, 204, 117969. [Google Scholar] [CrossRef]
- Devecioğlu, A.G.; Oruç, V. Improvement on the energy performance of a refrigeration system adapting a plate-type heat exchanger and low-GWP refrigerants as alternatives to R134a. Energy 2018, 155, 105–116. [Google Scholar] [CrossRef]
- Dobson, M.K.; Chato, J.C. Condensation in Smooth Horizontal Tubes. J. Heat Transf. 1998, 120, 193–213. [Google Scholar] [CrossRef]

























| Refrigerant | GWP100 Years | ASHRAE Class | (g/mol) | (°C) | (kPa) | (kPa) | (kJ/kg) | (kg/m3) | (kg/m3) | (μPa-s) | (μPa-s) | (W/m.K) | (N/m) |
|---|---|---|---|---|---|---|---|---|---|---|---|---|---|
| R-134a | 1300 * | A1 | 102.3 | 101.08 | 1016.6 | 4059 | 163.02 | 1146.7 | 50.085 | 161.45 | 12.373 | 0.074716 | 0.0061149 |
| R-1234yf | <1 * | A2L | 114.04 | 94.7 | 1018.4 | 3381 | 132.27 | 1033.8 | 57.753 | 127.22 | 12.247 | 0.059045 | 0.0044031 |
| R-513A | 573 * | A1 | 108.4 | 96.5 | 1072.5 | 3766 | 142.2 | 1073.2 | 57.716 | 137.51 | 12.273 | 0.064557 | 0.0048760 |
| R-450A | 547 * | A1 | 108.6 | 104.4 | 901.74 | 3820 | 156.64 | 1121.6 | 45.662 | 156.79 | 12.698 | 0.070976 | 0.0064315 |
| R-1234ze(E) | <1 * | A2L | 114.04 | 109.4 | 766.5 | 3636 | 154.8 | 1111.51 | 40.64 | 167.00 | 12.93 | 0.069187 | 0.006956 |
| R-1234ze(Z) | 6 * | A2L | 114.04 | 150.1 | 289.90 | 3530 | 196.30 | 1183.4 | 14.126 | 211.25 | 9.8580 | 0.081498 | 0.010944 |
| Low-pressure refrigerant alternative to R-123 and R-245fa | |||||||||||||
| R-1233zd(E) | 1 * | A1 | 130.05 | 165.5 | 215.55 | 3570 | 183.06 | 1225.6 | 11.665 | 247.14 | 10.854 | 0.078297 | 0.012618 |
| R-123 | 79 * | B1 | 152.93 | 183.68 | 154.47 | 3668 | 164.94 | 1424.8 | 9.6292 | 352.4 | 11.260 | 0.072421 | 0.013431 |
| R-245fa | 858 * | B1 | 134.05 | 154.01 | 250.65 | 3650 | 182.31 | 1296.7 | 14.012 | 329.13 | 10.942 | 0.083293 | 0.011711 |
| Authors | Condensation Temperature (°C) | Working Fluid | Condensing Surface/Tube Specifications | Heat Flux (kW/m2) | Wall Subcool (°C) |
|---|---|---|---|---|---|
| Ko et al. [8] | 36, 38, and 40 | R-1233zd(E) and R-1234ze(E) | Smooth tube: = 19.05 mm, 15.87 mm, and 12.70 mm | 9 to 31 | 3 to 18 |
| Ko and Jeon [9] | 38 | R-1233zd(E), R-1234ze(E), and R-134a | Smooth tube: = 19.05 mm, = 1000 mm. Enhanced tube: = 18.88 mm, fin height = 0.61 ± 0.05 mm, Knurling number: = 85, = 107, = 117, fin per inch: = 55 ± 1, = 60 ± 1 | 19 to 54 | 3 to 18 |
| Ji et al. [10] | 36 | R-1233zd(E), R-1234ze(E), and R-134a | Smooth tube: = 19.09 mm. Enhanced tube: T-C1 = 18.99 mm, = 0.857 mm, = 0.33 mm, ave. outside fin thickness = 0.131 mm, = 45. T-C2 = 19 mm = 0.790 mm, = 0.338 mm, = 0.240 mm, = 45. | 20 to 90 | 1-28 |
| Park et al. [11] | 39 | R-1234yf and R-134a | Smooth tube: = 19.05 mm. Enhanced tube: low-fin tube ( = 18.90 mm, = 1.214 mm, = 0.252 mm, = 0.576 mm, = 26). Turbo-C tube ( = 18.90 mm, = 0.760 mm, = 0.250 mm, = 0.350 mm, = 42) | 8 to 122 | 3 to 8 |
| Nagata et al. [12] | 20 to 60 | R-1233zd(E), R-1234ze(Z), R-1234ze(E), R-245fa, and R-134a | Smooth tube: = 19.12 mm, = 400 mm, = 0.41 μm | 3 to 41 | 0.8 to 28.8 |
| Ji et al. [13] | 35 and 40 | R-134a, R-1234ze(E), and R-290 | Smooth tube: = 15.99 mm. Enhanced tube: = 16.01 mm, = 14.87 mm, = 0.300 mm, = 33, = 0.362 mm | 8 to 80 | 1.5 to 30 |
| Chen and Wu [14] | 36.1 | R-1233zd(E) | Smooth tube: = 25.4 mm, = 2500 mm. Enhanced 3D tube: = 25.27 mm, = 21.85 mm, wall thickness = 0.635 mm, = 0.35 mm, = 0.95 mm, fin pitch = 0.55 mm | 5 to 135 | 0.1 to 17 |
| Jung et al. [15] | 39 | R22, R407C, and R410A | Smooth tune: = 19.05 mm. Enhanced tube: Low-fin tube ( = 18.90 mm, = 1.214 mm, = 0.252 mm, = 0.576 mm, = 26). Turbo-C tube ( = 18.90 mm, = 0.760 mm, = 0.250 mm, = 0.350 mm, = 42) | 5 to 125 | 3 to 8 |
| Authors | Refrigerant | Channel Geometry | Mass Flow Rate (kg/m2s) | Condensing Temperature (°C) |
|---|---|---|---|---|
| Guo et al. [18] | R-1234ze(E), R-290, R-161 R-41, R-32, and R-134a | Smooth tube: = 2 mm | 200 to 400 | 35 to 40 |
| Jacob et al. [19] | R-134a and R-450A | Smooth tube: = 4.7 mm | 100 to 550 | 45 and 55 |
| Yang and Nalbandian [20] | R-1234yf and R-134a | Smooth tube: = 4.00 mm, = 600 mm, roughness = 0.16 μm | 200 to 1200 | 15 |
| Hossain et al. [21] | R-1234ze(E), R-32, and R-410A | Smooth tube: = 4.35 mm, = 3.6 m | 150 to 400 | 35 and 40 |
| Wang et al. [22,23] | R-1234yf, R-134a, and R-32 | Smooth tube: = 4 mm and 2 mm, = 450 mm and 230 mm | 100 to 400 | 40, 45, and 50 |
| Longo et al. [24] | R-404A, R-290, and R-1270 | Smooth tube: = 4 mm, = 800 mm, = 0.7 μm | 75 to 800 | 30, 35, and 40 |
| Lips and Meyer [25,26] | R-134a | Smooth tube: = 8.38 mm | 200 to 600 | 40 |
| Agarwal and Hrnjak [27] | R-134a, R-1234ze(E), and R-32 | Smooth tube: = 8.38 mm | 100 to 300 | 30 to 50 |
| Macdonald and Garimella [28,29] | R-290 | Smooth tube: = 7.75 and 14.45 mm | 150 to 450 | 30 to 94 |
| Jajja et al. [30] | R-454B, R-32, and R-410A | Smooth copper tube: = 7.90 mm | 100 to 200 | 35 to 50 |
| Lee et al. [31] | R-448A, R-449A, R-455A, R-454C, and R-404A | Smooth tube: = 5.6 mm | 80 to 400 | 45 |
| Karageorgis et al. [32] | R-513A, R-1234yf, R-1234ze(E), and R-134a | Microfin tube: = 8.52 mm, = 9.52 mm, = 0.25 mm, number of fins = 60, = 2 m, apex angle = 30°, helix angle = 15~30° | 100 to 440 | 35 |
| Diani et al. [33,34,35] | R-1234yf, R-513A, R-1234ze(E), and R-134a | Smooth tube: = 3.5 mm. Microfin tube: = 3.4 mm, number of fins = 40, = 0.12 mm, = 43°, = 18°. | 100 to 1000 | 30 and 40 |
| Diani et al. [36] | R-1234yf and R-1234ze(E) | Microfin tube: = 2.4 mm, number of fins = 40, = 0.12 mm, = 43°, = 7° | 300 to 1000 | 30 and 40 |
| Diani and Rossetto [37] | R-513A | Smooth tube: = 2.5 mm. Microfin tube = 2.4 mm, number of fins = 40, = 0.12 mm, = 43°, = 7° | 200 to 1000 | 30 and 40 |
| Hirose et al. [38] | R-1234ze(E) | Smooth tube: = 3.48 mm. Microfin tube1: = 3.61 mm, number of fins = 40, = 0.18 mm, = 13.7°, = 17°. Microfin tube2: = 3.56 mm, number of fins = 50, = 0.13 mm, = 12.2°, = 25°. Microfin tube3: = 3.56 mm, number of fins = 50, = 0.15 mm, = 12°, = 12° | 50 to 400 | 35 |
| Lambrechts et al. [39] | R-22, R-134a, and R-407C | Smooth tube: = 8.11 mm, = 1.5 m. Microfin tube: = 8.936 mm, = 0.9 m, = 0.198–0.219 mm, number of fins = 60, = 55°, = 18°. Herringbone tube: = 8.52 mm, = 563 mm, = 0.2 mm, number of fins = 70, apex angle = 25°, helix angle = 16° | 300 to 800 | 40 |
| Bashar et al. [40] | R-134a | Smooth tube: = 2.14 mm. Microfin tube = 2.17 mm, number of fins = 25, = 0.10 mm, = 31°, = 10° | 50 to 300 | 20 to 30 |
| Wen et al. [41] | R-1234ze(E) and R-134a | Smooth tube = 1 mm | 400 to 800 | 40 |
| Jige et al. [42] | R-1234yf and R-32 | Minichannels: = 0.49 mm, number of channels = 16, and = 0.81 mm, number of channels = 12 | 50 to 400 | 40 |
| Jige et al. [43] | R-134a, R-32, R-1234ze(E), and R-410A | Rectangular minichannels: = 0.76, 0.85, and 1.06 mm, = 600 mm, number of channels = 17 | 100 to 400 | 40 and 60 |
| Goss et al. [44] | R-134a | Minichannel: = 0.77 mm | 230 to 445 | 30 to 40 |
| Morrow and Derby [45] | R-134a, R-513A, and R-450A | Minichannel: = 0.95 mm | 200 to 500 | 40 |
| Matkovic et al. [46] | R-134a and R-32 | Minichannel: = 0.96 mm | 100 to 1200 | 40 |
| Col et al. [47] | R32/R1234ze(E) non-azeotropic mixtures | Minichannel: = 0.96 mm, = 1.3 μm | 150 to 800 | 40 |
| Col et al. [48] | R-134a and R-32 | Square channel = 1.23 mm | 100 to 390 | 40 |
| Azzolin and Bortolin [49] | R-32 and R-1234ze(E) (0.75/0.25) | Minichannel: = 0.96 mm, = 1.3 μm | 150 to 800 | 41.5 |
| Azzolin et al. [50] | R-455A and R-452B | Minichannel: = 0.96 mm. Conventional tube: = 8 mm | 200 to 800 | 40 |
| Gomez et al. [51] | R-1234yf and R-134a | Minichannel: = 1.16 mm, = 0.226 μm | 350 to 940 | 25 to 55 |
| Gu et al. [52] | R-1234ze(E) and R-134a | Mini-/macrochannels: = 0.493 to 4.57 mm | 400 to 800 | 40 |
| Park et al. [53] | R-1234ze(E), R-134a, and R-236fa | Vertical multiport rectangular minichannel: = 1.45 mm | 50 to 260 | 25 to 70 |
| Murphy et al. [54] | R-290 | Vertical minichannel: = 1.93 mm | 75 to 150 | 47 and 74 |
| Belchí [55] | R-134a, R-513A, and R1234yf | Minichannel: square = 1.16 mm, = 0.226, triangular = 0.71 mm, = 0.262 | 200 to 1000 | 40 to 60 |
| Belchí et al. [56] | R-1234yf, R-134a, and R-32 | Minichannel: square = 1.16 mm, = 0.226 | 350 to 940 | 20 to 55 |
| Liu and Li [57] | R-32, R-152a, and R-22 | Circular minichannel: = 1.152 mm. Square minichannel: = 0.952 and 1.304 mm | 200 to 800 | 30 to 50 |
| Liu et al. [58] | R-1234ze(E), R-290, and R-22 | Circular minichannel: = 1.085 mm. Square minichannel: = 0.952 | 200 to 800 | 40 and 50 |
| Kruzel et al. [59] | R-134a, R-404A, R-407C, and R-410A | Microchannel/minichannel: = 0.5, 0.64, 0.7, 1.2, 1.6, 2.0, and 2.5 mm | 100 to 2000 | 35 to 50 |
| Liu et al. [60] | R134a, R-1234ze(E), and R-450A | Minichannel: = 1 mm and 2 mm | 400 to 800 | 40 |
| Kuczynski et al. [61] | R-1234yf, R-1234ze(E), and R-134a | Smooth tube: = 3.30, 2.30, 1.92, 1.44, and 1.40 mm, = 1000 mm | 60 to 361 | 20 to 55 |
| Authors | Working Fluid | Condensing Temperature (°C) | Mass Flux (kg/m2s) | Heat Flux (kW/m2) | Plate Heat Exchanger Geometry |
|---|---|---|---|---|---|
| Known et al. [66] | R-1233zd(E) | 37.7 to 50.8 | 13 to 23.8 | 2.5 to 4.5 | Port-to-port length: = 234 mm, plate length: = 287 mm, plate width: = 117 mm, area of the plate: = 0.0274 m2, enlargement factor: = 1.15, corrugation/chevron angle: = 60°, average spacing between two plates: = 1.94 mm, corrugation pitch: = 7.5 mm, refrigerant side channel: = 2, water side channel: = 3, port diameter: = 19.05 mm, plate material: stainless steel, plate thickness: = 0.4 mm |
| Shon et al. [67] | R-1233zd(E) | 37.7 to 50.8 | 13.0 to 23.8 | 2.5 to 4.5 | Same geometry as mentioned in reference [66] |
| Jung et al. [68] | R-1234ze(E) and R-1233zd(E) | 37.7 to 50.7 | 13 to 23.8 | 1.5 to 4.5 | Same geometry as mentioned in reference [66], = 60° and 30° |
| Ko et al. [69] | R-124 | 30 to 50 | 16 to 26 | 2.5 to 4.5 | Same geometry as mentioned in reference [66] |
| Zhang et al. [70] | R-1234ze(E), R134a, R-245fa, and R-1233zd(E) | 29.7 to 71.0 | 16 to 90 | 4 to 57.4 | = 278 mm, = 317 mm, = 76 mm, = 65°, = 1 mm, = 7 mm, = 2, = 3, = 18 mm, = 3.4 mm |
| Cattelan et al. [71] | R-1234ze(E) and R-134a | 34.6 and 42.3 | 9 to 49 | - | = 464.2 mm, = 117 mm, = 1.22, = 60°, = 1.46 mm, = 7.5 mm, = 2, = 3, = 19.05 mm, plate material: stainless steel, = 0.4 mm |
| Kuo et al. [72] | R-410A | 20 | 50 to 150 | 5 to 20 | = 450 mm, = 500 mm, = 120 mm, = 60°, = 70 mm = 3.3 mm, = 10 mm, = 25 mm, plate material: SS-316, plate thickness: = 0.4 mm |
| Yan et al. [73] | R-134a | 26.7 to 35.5 | 60 to 120 | 10 to 16 | Same geometry as mentioned in reference [72] |
| Soontarapiromsook et al. [74] | R-134a | 40 to 50 | 61 to 89 | 5 to 15 | = 360 mm, = 70 mm, = 65°, = 2.5 mm, = 32 mm, plate material: SS-316, = 0.6 mm, plate roughness: = 0.594 to 2.754 μm |
| Longo et al. [75,76,77] | R-134a, R-1234ze(E), and R-1234yf | 24.6 to 40.2 | 11.6 to 41.3 | 6.2 to 28.1 | = 278 mm, = 310 mm, = 72 mm, = 0.02 m2, = 1.24, = 65°, = 2 mm, = 8 mm, = 4, = 5, number of heat transfer plates: = 8, = 0.4 μm |
| Longo et al. [78,79] | R-600a, R-290, and R-1270 | 24.8 to 40.3 | 5.3 to 41.4 | 5.2 to 34.4 | Same geometry as mentioned in reference [75] |
| Longo et al. [80] | R-236fa, R-134a, and R-410A | 24.7 to 40.2 | 11.2 to 41.4 | 6.2 to 34.4 | Same geometry as mentioned in reference [75] |
| Mancin et al. [81] | R-407C and R-410A | 41.8 | 15 to 40 | - | = 526 mm, = 111 mm, number of plates: = 6, = 2, = 3, number of heat transfer plates: = 4, plate material: stainless steel |
| Wang and Kabelac [82] | R1234ze(E) and R134a | 22.51 to 40.84 | 34.08 to 70.64 | 9.95 to 24.3 | = 1090 mm, = 720 mm, = 486 mm, = 1.159, = (27° + 63°)/2, = 3.2 mm, = 12 mm, = 10, = 155 mm, plate material: SS-316, = 0.6 mm |
Publisher’s Note: MDPI stays neutral with regard to jurisdictional claims in published maps and institutional affiliations. |
© 2022 by the authors. Licensee MDPI, Basel, Switzerland. This article is an open access article distributed under the terms and conditions of the Creative Commons Attribution (CC BY) license (https://creativecommons.org/licenses/by/4.0/).
Share and Cite
Kumar, A.; Chen, M.-R.; Hung, K.-S.; Liu, C.-C.; Wang, C.-C. A Comprehensive Review Regarding Condensation of Low-GWP Refrigerants for Some Major Alternatives of R-134a. Processes 2022, 10, 1882. https://doi.org/10.3390/pr10091882
Kumar A, Chen M-R, Hung K-S, Liu C-C, Wang C-C. A Comprehensive Review Regarding Condensation of Low-GWP Refrigerants for Some Major Alternatives of R-134a. Processes. 2022; 10(9):1882. https://doi.org/10.3390/pr10091882
Chicago/Turabian StyleKumar, Abhishek, Miao-Ru Chen, Kuo-Shu Hung, Chung-Che Liu, and Chi-Chuan Wang. 2022. "A Comprehensive Review Regarding Condensation of Low-GWP Refrigerants for Some Major Alternatives of R-134a" Processes 10, no. 9: 1882. https://doi.org/10.3390/pr10091882
APA StyleKumar, A., Chen, M.-R., Hung, K.-S., Liu, C.-C., & Wang, C.-C. (2022). A Comprehensive Review Regarding Condensation of Low-GWP Refrigerants for Some Major Alternatives of R-134a. Processes, 10(9), 1882. https://doi.org/10.3390/pr10091882

