Parametric Sensitivity Analysis and Performance Evaluation of High-Temperature Macro-Encapsulated Packed-Bed Latent Heat Storage System Operating with Transient Inlet Boundary Conditions
Abstract
:1. Introduction
2. Model Description
2.1. Model Assumptions
- The inlet temperature varies with respect to time using a piecewise function based on the given data in the reference experimental study [20].
- The air flows uniformly into the tank, and the flow is classified as laminar and incompressible. The air temperature variation with respect to time results in changes in the air density and inlet mass flow rate.
- To evenly supply the bed with air, air distributors are used with an equivalent porous medium with a porosity of 0.53, determined based on the structure of the experimental setup [20].
- The thickness of the encapsulation shell is ignored since it is small relative to the diameter of the capsule.
- The outer surface of the PBLHS model is insulated with an equivalent layer to the one presented in the experimental setup to reduce the computational effort. Using the concept of thermal resistance for cylindrical systems, reducing the outer radius of the insulation layer from 0.41 to 0.18 m is accompanied by a reduction in thermal conductivity from 0.09 to 0.01 W/mK.
- Radiative heat transfer is not considered.
2.2. Governing Equations
2.3. Boundary and Initial Conditions
2.4. Material Properties
2.5. Solution Method
3. Key Performance Indicators
4. Results and Discussion
4.1. Fluid Flow and Heat Transfer Characteristics
4.2. Model Validation and Grid Independence Analyses
4.3. Performance Analysis
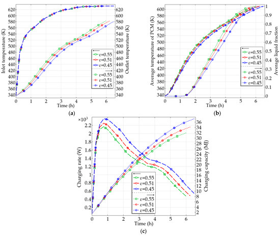
4.3.1. Effect of Porosity
4.3.2. Effect of PCM Capsule Diameter
4.3.3. Effect of Inlet Velocity
4.3.4. Effect of Bed Height-to-Diameter Aspect Ratio
5. Conclusions
- The charging rate, charging capacity, charging time, and charging efficiency increase for the bed with low porosity since there is more PCM to store the heat.
- Decreasing the capsule diameter has both negative and positive effects on the bed performance. The lower the capsule diameter, the higher the surface-to-volume ratio and the lower the Re. This results in only a slight change in the charging efficiency.
- The energy storage rate increases with increasing the inlet velocity, while the energy capacity remains rather constant and unaffected.
- Faster heat transfer and higher peak energy are achieved by increasing the flow rate. Consequently, maximum energy storage is possible in a shorter period, resulting in higher charging efficiency.
- Heat exchange becomes more effective with increasing the height-to-diameter aspect ratios due to greater dispersion of the air layers throughout the tank.
- In general, the charging efficiencies of all the tested PBLHS systems decrease as the charging time increases.
- Charging time is shorter for a bed with high porosity, low capsule diameter, high inlet velocity, and high height-to-diameter aspect ratio.
Author Contributions
Funding
Conflicts of Interest
Nomenclature
| C | inertial coefficient(1/m) |
| cp | specific heat (J/kgK) |
| D | tank diameter (m) |
| dp | capsule diameter (m) |
| H | tank height (m) |
| h | heat transfer coefficient (W/m2K) |
| hfs | latent heat of fusion (J/kg) |
| k | thermal conductivity (W/mK) |
| K | permeability (m2) |
| m | mass (kg) |
| mass flow rate (kg/s) | |
| Nu | Nusselt number |
| P | pressure (Pa) |
| P | power (W) |
| Pr | Prandtl number |
| Q | energy (J) |
| r | radius (m) |
| Ra | Rayleigh number |
| Re | Reynolds number |
| t | time (s) |
| T | temperature (K) |
| u | velocity (m/s) |
| V | volume (m3) |
| Subscripts | |
| amb | ambient |
| dist | distributor |
| eff | effective |
| f | fluid |
| in | inlet |
| liq | liquid phase |
| m | melting |
| p | particle |
| r | radial direction |
| s | solid |
| sol | solid phase |
| st | steel |
| vol | volumetric |
| w | wall |
| z | axial direction |
| Superscripts max Greek symbols | maximum |
| porosity | |
| phase change function | |
| thermal diffusivity (m2/s) | |
| thermal expansion (1/K) | |
| kinematic viscosity (m2/s) | |
| density (kg/m3) | |
| efficiency | |
| dynamic viscosity (kg/ms) | |
| melt fraction | |
| Abbreviations | |
| PBLHS | packed-bed latent heat storage |
| PCM | phase change material |
| HTF | heat transfer fluid |
| TES | thermal energy storage |
References
- Crespo, A.; Barreneche, C.; Ibarra, M.; Platzer, W. Latent Thermal Energy Storage for Solar Process Heat Applications at Medium-High Temperatures—A Review. Sol. Energy 2019, 192, 3–34. [Google Scholar] [CrossRef]
- Koçak, B.; Fernandez, A.I.; Paksoy, H. Review on Sensible Thermal Energy Storage for Industrial Solar Applications and Sustainability Aspects. Sol. Energy 2020, 209, 135–169. [Google Scholar] [CrossRef]
- Javadi, F.S.; Metselaar, H.S.C.; Ganesan, P. Performance Improvement of Solar Thermal Systems Integrated with Phase Change Materials (PCM), a Review. Sol. Energy 2020, 206, 330–352. [Google Scholar] [CrossRef]
- Sunku Prasad, J.; Muthukumar, P.; Desai, F.; Basu, D.N.; Rahman, M.M. A Critical Review of High-Temperature Reversible Thermochemical Energy Storage Systems. Appl. Energy 2019, 254, 113733. [Google Scholar] [CrossRef]
- Chen, X.; Zhang, Z.; Qi, C.; Ling, X.; Peng, H. State of the Art on the High-Temperature Thermochemical Energy Storage Systems. Energy Convers. Manag. 2018, 177, 792–815. [Google Scholar] [CrossRef]
- Du, K.; Calautit, J.; Wang, Z.; Wu, Y.; Liu, H. A Review of the Applications of Phase Change Materials in Cooling, Heating and Power Generation in Different Temperature Ranges. Appl. Energy 2018, 220, 242–273. [Google Scholar] [CrossRef]
- Shi, J.; Qin, M.; Aftab, W.; Zou, R. Flexible Phase Change Materials for Thermal Energy Storage. Energy Storage Mater. 2021, 41, 321–342. [Google Scholar] [CrossRef]
- Mohamed, S.A.; Al-Sulaiman, F.A.; Ibrahim, N.I.; Zahir, M.H.; Al-Ahmed, A.; Saidur, R.; Yılbaş, B.S.; Sahin, A.Z. A Review on Current Status and Challenges of Inorganic Phase Change Materials for Thermal Energy Storage Systems. Renew. Sustain. Energy Rev. 2017, 70, 1072–1089. [Google Scholar] [CrossRef]
- Al-Maghalseh, M.; Mahkamov, K. Methods of Heat Transfer Intensification in PCM Thermal Storage Systems: Review Paper. Renew. Sustain. Energy Rev. 2018, 92, 62–94. [Google Scholar] [CrossRef]
- Gautam, A.; Saini, R.P. A Review on Sensible Heat Based Packed Bed Solar Thermal Energy Storage System for Low Temperature Applications. Sol. Energy 2020, 207, 937–956. [Google Scholar] [CrossRef]
- De Gracia, A.; Cabeza, L.F. Numerical Simulation of a PCM Packed Bed System: A Review. Renew. Sustain. Energy Rev. 2017, 69, 1055–1063. [Google Scholar] [CrossRef] [Green Version]
- Guo, W.; He, Z.; Meng, Z.; Zhang, P. A Comprehensive Investigation of the Mathematical Models for a Packed Bed Latent Heat Thermal Energy Storage System. Int. J. Energy Res. 2021, 45, 15005–15021. [Google Scholar] [CrossRef]
- Felix Regin, A.; Solanki, S.C.; Saini, J.S. An Analysis of a Packed Bed Latent Heat Thermal Energy Storage System Using PCM Capsules: Numerical Investigation. Renew. Energy 2009, 34, 1765–1773. [Google Scholar] [CrossRef]
- Bhagat, K.; Saha, S.K. Numerical Analysis of Latent Heat Thermal Energy Storage Using Encapsulated Phase Change Material for Solar Thermal Power Plant. Renew. Energy 2016, 95, 323–336. [Google Scholar] [CrossRef] [Green Version]
- Mao, Q.; Zhang, Y. Thermal Energy Storage Performance of a Three-PCM Cascade Tank in a High-Temperature Packed Bed System. Renew. Energy 2020, 152, 110–119. [Google Scholar] [CrossRef]
- Peng, H.; Dong, H.; Ling, X. Thermal Investigation of PCM-Based High Temperature Thermal Energy Storage in Packed Bed. Energy Convers. Manag. 2014, 81, 420–427. [Google Scholar] [CrossRef]
- Nallusamy, N.; Sampath, S.; Velraj, R. Study on Performance of a Packed Bed Latent Heat Thermal Energy Storage Unit Integrated with Solar Water Heating System. J. Zhejiang Univ. Sci. 2006, 7, 1422–1430. [Google Scholar] [CrossRef]
- Bellan, S.; Alam, T.E.; González-Aguilar, J.; Romero, M.; Rahman, M.M.; Goswami, D.Y.; Stefanakos, E.K. Numerical and Experimental Studies on Heat Transfer Characteristics of Thermal Energy Storage System Packed with Molten Salt PCM Capsules. Appl. Therm. Eng. 2015, 90, 970–979. [Google Scholar] [CrossRef]
- Li, M.J.; Jin, B.; Ma, Z.; Yuan, F. Experimental and Numerical Study on the Performance of a New High-Temperature Packed-Bed Thermal Energy Storage System with Macroencapsulation of Molten Salt Phase Change Material. Appl. Energy 2018, 221, 1–15. [Google Scholar] [CrossRef]
- Wang, W.; He, X.; Shuai, Y.; Qiu, J.; Hou, Y.; Pan, Q. Experimental Study on Thermal Performance of a Novel Medium-High Temperature Packed-Bed Latent Heat Storage System Containing Binary Nitrate. Appl. Energy 2022, 309, 118433. [Google Scholar] [CrossRef]
- Wakao, N.; Kaguei, S.; Funazkri, T. Effect of Fluid Dispersion Coefficients on Particle-to-Fluid Heat Transfer Coefficients in Packed Beds: Correlation of Nusselt Numbers. Chem. Eng. Sci. 1979, 34, 325–336. [Google Scholar] [CrossRef]
- Churchill, S.W.; Chu, H.H.S. Correlating Equations for Laminar and Turbulent Free Convection from a Vertical Plate. Int. J. Heat Mass Transf. 1975, 18, 1323–1329. [Google Scholar] [CrossRef]









| Properties | Value | Unit |
|---|---|---|
| Height of the tank | 0.67 | m |
| Height of the packed bed | 0.58 | m |
| The inner diameter of the tank | 0.305 | m |
| The thickness of the tank | 0.01 | m |
| Diameter of the capsule | 0.051 | m |
| The porosity of the bed | 0.51 | - |
| Melting temperature | 224.58 | °C |
| Latent heat of fusion | 111.88 | kJ/kg |
| Density of solid PCM | 2200 | kg/m3 |
| Density of liquid PCM | 1900 | kg/m3 |
| Specific heat capacity of solid PCM | 1.81 | kJ/kgK |
| Specific heat capacity of liquid PCM | 2.24 | kJ/kgK |
| Thermal conductivity of solid PCM | 0.55 | W/mK |
| Thermal conductivity of liquid PCM | 0.5 | W/mK |
| Specific heat capacity of steel | 0.5 | kJ/kgK |
| Thermal conductivity of steel | 45 | W/mK |
| Effect | Parameter | Charging Time (h) | Peak Charging Rate (W) | Charging Capacity (MJ) | Average Charging Rate (W) | Max. Stored Energy (MJ) | Charging Efficiency (%) |
|---|---|---|---|---|---|---|---|
| Porosity | = 0.55 | 5.72 | 2016 | 31.475 | 1528.51 | 26.657 | 83.37 |
| = 0.5 | 6.21 | 2252 | 34.567 | 1546.21 | 28.64 | 83.82 | |
| = 0.45 | 6.62 | 2420 | 37.274 | 1564.03 | 31.556 | 84.66 |
| Effect | Parameter | Charging Time (h) | Peak Charging Rate (W) | Charging Capacity (MJ) | Average Charging Rate (MJ) | Max. Stored Energy (MJ) | Charging Efficiency (%) |
|---|---|---|---|---|---|---|---|
| Diameter | = 60 mm | 6.29 | 2134 | 33.592 | 1483.48 | 28.577 | 85.07 |
| = 51 mm | 6.2 | 2252 | 34.167 | 1530.78 | 28.577 | 83.64 | |
| = 40 mm | 6.08 | 2397 | 34.364 | 1570 | 28.577 | 83.15 |
| Effect | Parameter | Charging Time (h) | Peak Charging Rate (W) | Charging Capacity (MJ) | Average Charging Rate (W) | Max. Stored Energy (MJ) | Charging Efficiency (%) |
|---|---|---|---|---|---|---|---|
| Inlet velocity | u = 7.5 m/s | 6.22 | 2252 | 34.167 | 1525.86 | 28.577 | 83.64 |
| u = 5.5 m/s | 7.74 | 1767 | 34.818 | 1249.57 | 28.577 | 82.07 | |
| u = 3.5 m/s | 10.77 | 1278 | 35.176 | 907.25 | 28.577 | 81.24 |
| Effect | Parameter | Charging Time (h) | Peak Charging Rate (W) | Charging Capacity (MJ) | Average Charging Rate (W) | Max. Stored Energy (MJ) | Charging Efficiency (%) |
|---|---|---|---|---|---|---|---|
| Bed height-to-diameter aspect ratio | H/D = 3.5 | 5.6 | 2522 | 30.505 | 1513.14 | 29.791 | 97.66 |
| H/D = 1.9 | 6.21 | 2252 | 34.267 | 1532.79 | 28.577 | 83.64 | |
| H/D = 1 | 6.49 | 2100 | 37.75 | 1615.73 | 27.456 | 72.73 |
Publisher’s Note: MDPI stays neutral with regard to jurisdictional claims in published maps and institutional affiliations. |
© 2022 by the authors. Licensee MDPI, Basel, Switzerland. This article is an open access article distributed under the terms and conditions of the Creative Commons Attribution (CC BY) license (https://creativecommons.org/licenses/by/4.0/).
Share and Cite
Mehrtash, M.; Tari, I. Parametric Sensitivity Analysis and Performance Evaluation of High-Temperature Macro-Encapsulated Packed-Bed Latent Heat Storage System Operating with Transient Inlet Boundary Conditions. Processes 2022, 10, 1382. https://doi.org/10.3390/pr10071382
Mehrtash M, Tari I. Parametric Sensitivity Analysis and Performance Evaluation of High-Temperature Macro-Encapsulated Packed-Bed Latent Heat Storage System Operating with Transient Inlet Boundary Conditions. Processes. 2022; 10(7):1382. https://doi.org/10.3390/pr10071382
Chicago/Turabian StyleMehrtash, Mehdi, and Ilker Tari. 2022. "Parametric Sensitivity Analysis and Performance Evaluation of High-Temperature Macro-Encapsulated Packed-Bed Latent Heat Storage System Operating with Transient Inlet Boundary Conditions" Processes 10, no. 7: 1382. https://doi.org/10.3390/pr10071382
APA StyleMehrtash, M., & Tari, I. (2022). Parametric Sensitivity Analysis and Performance Evaluation of High-Temperature Macro-Encapsulated Packed-Bed Latent Heat Storage System Operating with Transient Inlet Boundary Conditions. Processes, 10(7), 1382. https://doi.org/10.3390/pr10071382

