Nitric Oxide Generation in N2-Diluted H2–N2O Flames: A Computational Study
Abstract
:1. Introduction
2. Computational Methodology
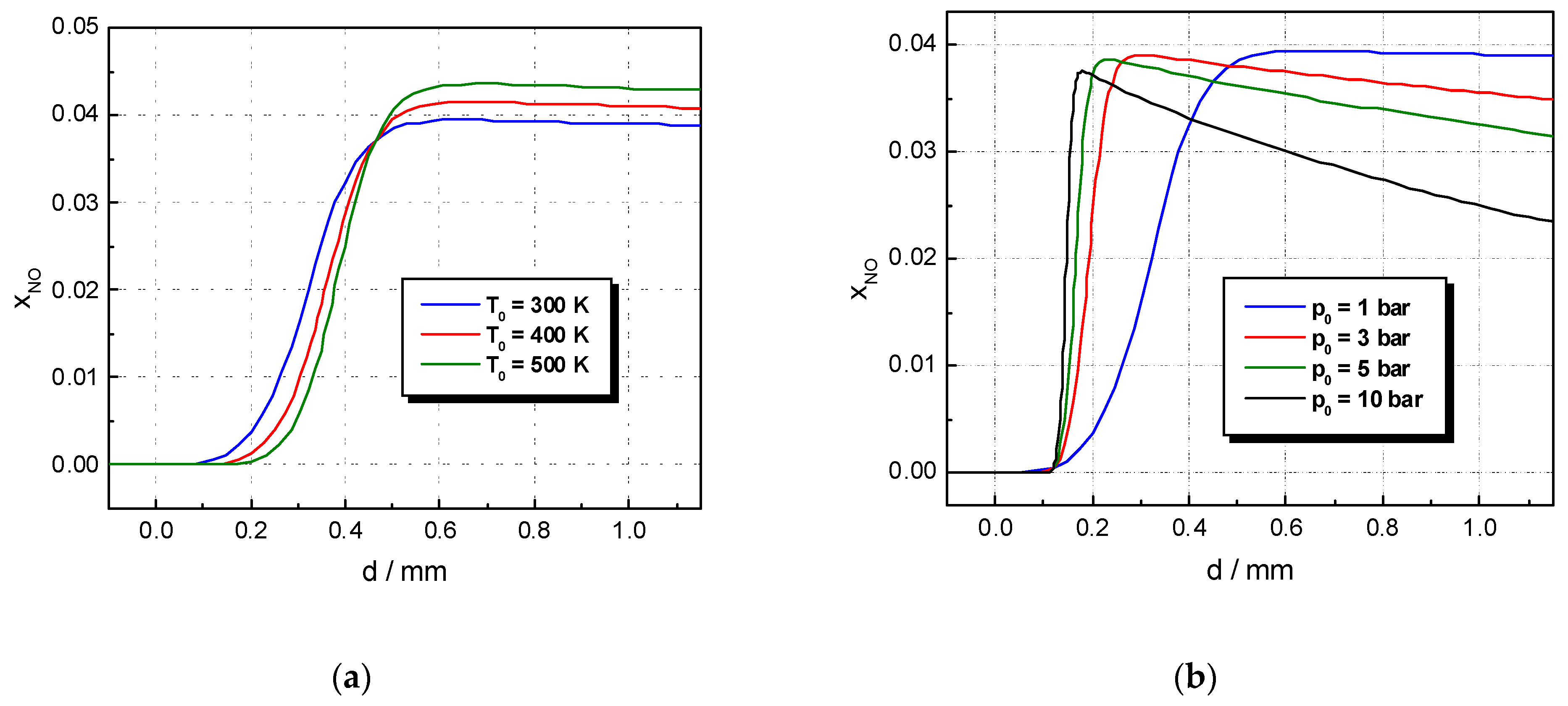
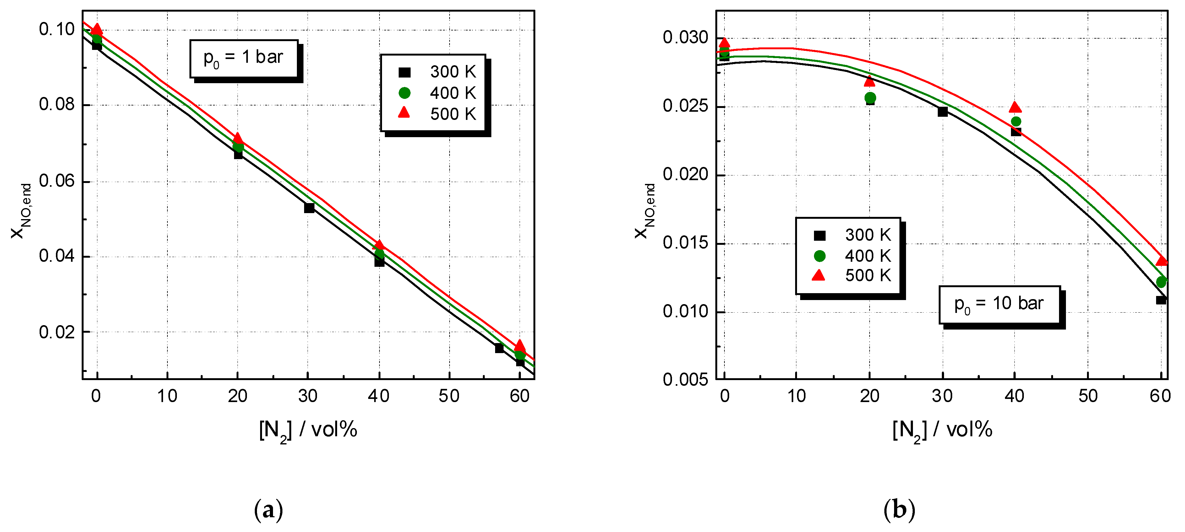
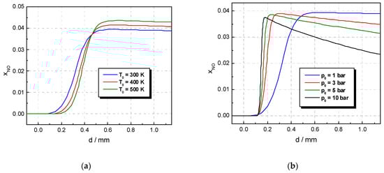
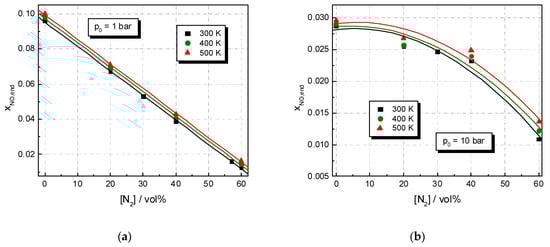
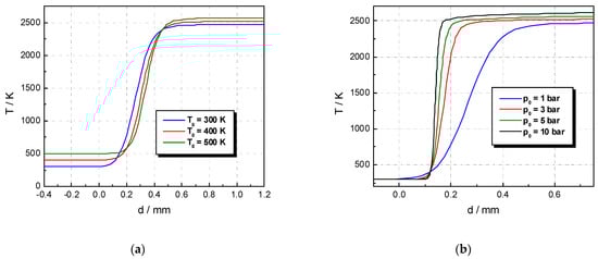
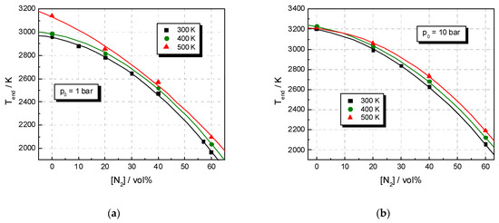
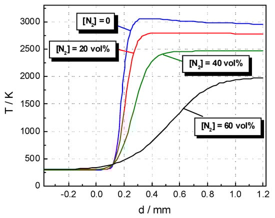
3. Results and Discussion
4. Conclusions
Author Contributions
Funding
Data Availability Statement
Acknowledgments
Conflicts of Interest
References
- Kramlich, J.C.; Linak, W.P. Nitrous oxide behavior in the atmosphere, and in combustion and industrial systems. Prog. Energy Combust. Sci. 1994, 20, 149–202. [Google Scholar] [CrossRef]
- Mathieu, O.; Pemelton, J.M.; Bourque, G.; Petersen, E.L. Shock-induced ignition of methane sensitized by NO2 and N2O. Combust. Flame 2015, 162, 3053–3070. [Google Scholar] [CrossRef] [Green Version]
- Mével, R.; Shepherd, J.E. Ignition delay-time behind reflected shock waves of small hydrocarbons–nitrous oxide (–oxygen) mixtures. Shock Waves 2015, 25, 217–229. [Google Scholar] [CrossRef]
- Air Quality in Europe—2020; Technical Report No. 9/2020; European Environment Agency: Copenhagen, Denmark, 2020.
- Brown, M.J.; Smith, D.B. Aspects of nitrogen flame chemistry revealed by burning velocity modelling. In Proceedings of the Symposium International on Combustion, Irvine, CA, USA, 31 July–5 August 1994; Elsevier: Amsterdam, The Netherlands, 1994; Volume 25, pp. 1011–1018. [Google Scholar]
- Zeldovich, Y.B. The oxidation of nitrogen in combustion and explosions. Acta Physicochim. 1946, 21, 577–628. [Google Scholar]
- Dagaut, P.; Glarborg, P.; Alzueta, M.U. The oxidation of hydrogen cyanide and related chemistry. Prog. Energy Combust. Sci. 2008, 34, 1–46. [Google Scholar] [CrossRef]
- Mével, R.; Javoy, S.; Lafosse, F.; Chaumeix, N.; Dupré, G.; Paillard, C.E. Hydrogen–nitrous oxide delay times: Shock tube experimental study and kinetic modeling. Proc. Combust. Inst. 2009, 32, 359–366. [Google Scholar] [CrossRef]
- Glarborg, P.; Miller, J.A.; Ruscic, B.; Klippenstein, S.J. Modeling nitrogen chemistry in combustion. Prog. Energy Combust. Sci. 2018, 67, 31–68. [Google Scholar] [CrossRef] [Green Version]
- Ahmed, S.F.; Santner, J.; Dryer, F.L.; Padak, B.; Farouk, T.I. Computational study of NOx formation at conditions relevant to gas turbine operation, part 2: NOx in high hydrogen content fuel combustion at elevated pressure. Energy Fuels 2016, 30, 7691–7703. [Google Scholar] [CrossRef]
- Heffel, J.W. NOx emission and performance data for a hydrogen fueled internal combustion engine at 1500 rpm using exhaust gas recirculation. Intern. J. Hydrogen Energy 2003, 28, 901–908. [Google Scholar] [CrossRef]
- Dagaut, P.; Nicolle, A. Experimental study and detailed kinetic modeling of the effect of exhaust gas on fuel combustion: Mutual sensitization of the oxidation of nitric oxide and methane over extended temperature and pressure ranges. Combust. Flame 2005, 140, 161–171. [Google Scholar] [CrossRef]
- Duval, A.; Van Tiggelen, P. Kinetical study of hydrogen–nitrous oxide flames. Bull. Acad. Royale Belge 1967, 53, 366–402. [Google Scholar]
- Balakhnine, V.P.; Vandooren, J.; Van Tiggelen, P.J. Reaction mechanism and rate constants in lean hydrogen-nitrous oxide flames. Combust. Flame 1977, 28, 165–173. [Google Scholar] [CrossRef]
- Cattolica, R.J.; Smooke, M.D.; Dean, A.M. A Hydrogen-Nitrous Oxide Flame Study; Sandia National Laboratories Techical Report SAND 82–8776; Elsevier: Amsterdam, The Netherlands, 1982. [Google Scholar]
- Vanderhoff, J.A.; Bunte, S.W.; Kotlar, A.J.; Beyer, R.A. Temperature and concentration profiles in hydrogen-nitrous oxide flames. Combust. Flame 1986, 65, 45–51. [Google Scholar] [CrossRef]
- Drake, M.C.; Ratcliffe, J.W.; Blint, R.J.; Campbell, M.; Carter, D.; Laurendeau, N.M. Measurements and modeling of flame front no formation and superequilibrium radical concentrations in laminar high-pressure premixed flames. In Proceedings of the 23rd Symposium on Combustion, Orleance, France, 22–27 July 1990; pp. 387–395. [Google Scholar]
- Sausa, R.C.; Anderson, W.R.; Dayton, D.C.; Faust, C.M.; Howard, S.L. Detailed structure study of a low pressure, stoichiometric H2/N2O/Ar flame. Combust. Flame 1993, 94, 407–425. [Google Scholar] [CrossRef]
- Venizelos, D.T.; Sausa, R.C. Laser-induced fluorescence, mass spectrometric, and modeling studies of neat and NH3-doped H2-N2O-Ar flames. Combust. Flame 1998, 115, 313. [Google Scholar] [CrossRef]
- Sausa, R.C.; Venizelos, D.T. Flame structure studies of burner-stabilized N2O-and NO2-containing flames by mass spectrometry, laser-induced fluorescence, and modeling. In Optical Diagnostics for Fluids, Solids, and Combustion; International Society for Optics and Photonics: San Diego, CA, USA, 2001; Volume 4448, pp. 1–7. [Google Scholar]
- Powell, O.A.; Papas, P.; Dreyer, C. Laminar burning velocities for hydrogen-, methane-, acetylene-, and propane-nitrous oxide flames. Combust. Sci. Technol. 2009, 181, 917–936. [Google Scholar] [CrossRef]
- Powell, O.A.; Dreyer, C.; Papas, P. Laser-induced fluorescence studies of nitric oxide formed in hydrogen-nitrous oxide, premixed flames. In Proceedings of the 45th AIAA/ASME/SAE/ASEE Joint Propulsion Conference & Exhibit, Denver, CO, USA, 2–5 August 2009. [Google Scholar]
- Powell, O.A.; Papas, P.; Dreyer, C.B. Hydrogen and C1–C3 hydrocarbon-nitrous oxide kinetics in freely propagating and burner-stabilized flames, shock tubes, and flow reactors. Combust. Sci. Technol. 2010, 182, 252–283. [Google Scholar] [CrossRef]
- Gray, P.; Mackinven, R.; Smith, D.B. Combustion of hydrogen and hydrazine with nitrous oxide and nitric oxide: Flame speeds and flammability limits of ternary mixtures at sub-atmospheric pressures. Combust. Flame 1967, 11, 217–226. [Google Scholar] [CrossRef]
- Gray, P.; Holland, S.; Smith, D.B. The effect of isotopic substitution on the flame speeds of hydrogen/oxygen and hydrogen/nitrous oxide flames. Combust. Flame 1970, 14, 361–374. [Google Scholar] [CrossRef]
- Mével, R.; Lafosse, F.; Chaumeix, N.; Dupre, G.; Paillard, C.E. Spherical expanding flames in H2–N2O–Ar mixtures: Flame speed measurements and kinetic modeling. Intern. J. Hydrogen Energy 2009, 34, 9007–9018. [Google Scholar] [CrossRef]
- Mével, R.; Lafosse, F.; Chaumeix, N.; Dupre, G.; Paillard, C.E. Flame speed measurement in H2-N2O-Ar mixtures. In Proceedings of the 4th European Combustion Meeting, Vienna, Austria, 14–17 April 2009. [Google Scholar]
- Bane, S.P.M.; Mével, R.; Coronel, S.A.; Shepherd, J.E. Flame burning speeds and combustion characteristics of undiluted and nitrogen-diluted hydrogen-nitrous oxide mixtures. Intern. J. Hydrogen Energy 2011, 36, 10107–10117. [Google Scholar] [CrossRef]
- Henrici, H.; Bauer, S.H. Kinetics of the nitrous oxide–hydrogen reaction. J. Chem. Phys. 1969, 50, 1333–1342. [Google Scholar] [CrossRef]
- Soloukhin, R.I. High-temperature oxidation of hydrogen by nitrous oxide in shock waves. In Proceedings of the 14th Symposium on Combustion, Pennsylvania, PA, USA, 20–25 August 1972; Elsevier: Amsterdam, The Netherlands, 1973; pp. 77–82. [Google Scholar]
- Baldwin, R.R.; Gethin, A.; Plaistowe, J.; Walker, R.W. Reaction between hydrogen and nitrous oxide. J. Chem. Soc. Faraday Trans. 1975, 71, 1265–1284. [Google Scholar] [CrossRef]
- Borisov, A.A.; Zamanskii, V.M.; Skachkov, G.I. Kinetics and mechanism of reaction of hydrogen with nitrous oxide. Kinetika i Kataliz 1978, 19, 38–46. [Google Scholar]
- Golovichev, V.I.; Soloukhin, R.I. Combustion kinetics of a mixture of hydrogen and nitrous oxide in shock waves. Combust. Explos. Shock Waves 1975, 11, 675–677. [Google Scholar] [CrossRef]
- Hidaka, Y.; Takuma, H.; Suga, M. Shock-tube studies of N2O decomposition and N2O-H2 reaction. Bull. Chem. Soc. Jpn. 1985, 58, 2911–2916. [Google Scholar] [CrossRef] [Green Version]
- Allen, M.T.; Yetter, R.A.; Dryer, F.L. Hydrogen/nitrous oxide kinetics-Implications of the NxHy species. Combust. Flame 1998, 112, 302–311. [Google Scholar] [CrossRef]
- Kosarev, I.N.; Starikovskaia, S.M.; Starikovskii, A.Y. The kinetics of autoignition of rich N2O–H2–O2–Ar mixtures at high temperatures. Combust. Flame 2007, 151, 61–73. [Google Scholar] [CrossRef]
- Mével, R.; Lafosse, F.; Catoire, L.; Chaumeix, N.; Dupré, G.; Paillard, C.E. Induction delay times and detonation cell size prediction of hydrogen-nitrous oxide-diluent mixtures. Combust. Sci. Technol. 2008, 180, 1858–1875. [Google Scholar] [CrossRef]
- Mathieu, O.; Levacque, A.; Petersen, E.L. Effects of N2O addition on the ignition of H2–O2 mixtures: Experimental and detailed kinetic modeling study. Intern. J. Hydrogen Energy 2012, 37, 15393–15405. [Google Scholar] [CrossRef]
- Mével, R.; Davidenko, D.; Lafosse, F.; Chaumeix, N.; Dupré, G.; Paillard, C.É.; Shepherd, J.E. Detonation in hydrogen–nitrous oxide–diluent mixtures: An experimental and numerical study. Combust. Flame 2015, 162, 1638–1649. [Google Scholar] [CrossRef] [Green Version]
- Coffee, T.P. Kinetic mechanisms for premixed, laminar, steady state hydrogen/nitrous oxide flame. Combust. Flame 1986, 65, 53–60. [Google Scholar] [CrossRef]
- Glarborg, P.; Kubel, D.; Kristensen, P.G.; Hansen, J.; Dam-Johansen, K. Interactions of CO, NOx and H2O under post-flame conditions. Combust. Sci. Technol. 1995, 110, 461–485. [Google Scholar] [CrossRef]
- Mueller, M.; Yetter, R.; Dryer, F. Flow reactor studies and kinetic modeling of the H2/O2/NOx and CO/H2O/O2/NOx reactions. Intern. J. Chem. Kinet. 1999, 31, 705–724. [Google Scholar] [CrossRef]
- Smith, G.P.; Golden, D.M.; Frenklach, M.; Moriary, N.W.; Eiteneer, B.; Goldenberg, M.; Bowman, C.T.; Hanson, R.K.; Song, S.; Gardiner, W.C.; et al. GRI-Mech 3.0. Available online: http://combustion.berkeley.edu/gri-mech/version30/text30.html (accessed on 10 January 2022).
- Dayma, G.; Dagaut, P. Effects of air contamination on the combustion of hydrogen effect of NO and NO2 addition on hydrogen ignition and oxidation kinetics. Combust. Sci. Technol. 2006, 178, 1999–2024. [Google Scholar] [CrossRef]
- Kovacs, M.; Papp, M.; Zsely, I.G.; Turanyi, T. Determination of rate parameters of key N/H/O elementary reactions based on H2/O2/NOx combustion experiments. Fuel 2020, 264, 116720. [Google Scholar] [CrossRef]
- Zhang, Y.; Mathieu, O.; Petersen, E.L.; Bourque, G.; Curran, H. Assessing the predictions of a NOx kinetic mechanism on recent hydrogen and syngas experimental data. Combust. Flame 2017, 182, 122–141. [Google Scholar] [CrossRef] [Green Version]
- Razus, D.; Mitu, M.; Giurcan, V.; Movileanu, C. Laminar flame propagation in nitrogen-diluted stoichiometric H2-N2O mixtures—A numerical study. Revue Roumaine de Chimie 2021, 66, 255–265. [Google Scholar] [CrossRef]
- Razus, D.; Mitu, M.; Giurcan, V.; Movileanu, C.; Oancea, D. Methane-unconventional oxidant flames. Laminar burning velocities of nitrogen-diluted methane-N2O mixtures. Process Saf. Environm. Prot. 2018, 114, 240–250. [Google Scholar] [CrossRef]
- Giurcan, V.; Mitu, M.; Movileanu, C.; Razus, D.; Oancea, D. Numerical study of laminar flame propagation in CH4-N2O-N2 at moderate pressures and temperatures. Combust. Explos. Shock Waves 2022, 58, 22–33. [Google Scholar] [CrossRef]
- Mitu, M.; Giurcan, V.; Movileanu, C.; Razus, D.; Oancea, D. Propagation of CH4-N2O-N2 flames in a closed spherical vessel. Processes 2021, 9, 851–866. [Google Scholar] [CrossRef]
- Cosilab. version 3.0.3; Rotexo-Softpredict-Cosilab GmbH & Co KG: Bad Zwischenhahn, Germany, 2012; Available online: https://www.rotexo.com/index.php/en/ (accessed on 10 January 2019).
- Jarosinski, J. The thickness of laminar flames. Combust. Flame 1984, 56, 337–342. [Google Scholar] [CrossRef]
- Glassman, I.; Yetter, R.A. Combustion, 4th ed.; Academic Press Elsevier: Cambridge, MA, USA, 2008. [Google Scholar]
- Miller, J.A.; Bowman, C.T. Mechanism and modeling of nitrogen chemistry in combustion. Prog. Energy Combust. Sci. 1989, 15, 287–338. [Google Scholar] [CrossRef]
- Tsang, W.; Heron, J.T. Chemical kinetic database for propellant combustion. 1, Reactions involving NO, NO2, HNO, HNO2, HCN and N2O. J. Phys. Chem. Ref. Data 1991, 20, 609–663. [Google Scholar] [CrossRef]










Publisher’s Note: MDPI stays neutral with regard to jurisdictional claims in published maps and institutional affiliations. |
© 2022 by the authors. Licensee MDPI, Basel, Switzerland. This article is an open access article distributed under the terms and conditions of the Creative Commons Attribution (CC BY) license (https://creativecommons.org/licenses/by/4.0/).
Share and Cite
Razus, D.; Giurcan, V.; Movileanu, C.; Mitu, M. Nitric Oxide Generation in N2-Diluted H2–N2O Flames: A Computational Study. Processes 2022, 10, 1032. https://doi.org/10.3390/pr10051032
Razus D, Giurcan V, Movileanu C, Mitu M. Nitric Oxide Generation in N2-Diluted H2–N2O Flames: A Computational Study. Processes. 2022; 10(5):1032. https://doi.org/10.3390/pr10051032
Chicago/Turabian StyleRazus, Domnina, Venera Giurcan, Codina Movileanu, and Maria Mitu. 2022. "Nitric Oxide Generation in N2-Diluted H2–N2O Flames: A Computational Study" Processes 10, no. 5: 1032. https://doi.org/10.3390/pr10051032
APA StyleRazus, D., Giurcan, V., Movileanu, C., & Mitu, M. (2022). Nitric Oxide Generation in N2-Diluted H2–N2O Flames: A Computational Study. Processes, 10(5), 1032. https://doi.org/10.3390/pr10051032

