Heat-Integration of Solar-Heated Membrane Distillation and Fuel Cell for Desalination System Based on the Dynamic Optimization Approach
Abstract
:1. Introduction
2. Mathematical Models of DCMD and PEMFC
2.1. System Description
2.1.1. Solar Collector
2.1.2. Heat Storage Tank with Internal Heat Exchanger
- (1)
- The collector outlet temperature (Tfo) is higher than the heat storage tank temperature (Ts).
- (2)
- The collector outlet temperature (Tfo) is lower than the heat storage tank temperature (Ts), which means the collector does not obtain any energy.
2.1.3. The Hollow Fiber DCMD Module
2.1.4. The PEMFC Module
2.2. Preliminary Simulation Results
3. Design Optimization of PEMFC and DCMD Systems
3.1. Unit Cost Function
3.1.1. Annual Fixed Cost
Solar Collector
Heat Storage Tank with Internal Heat Exchanger
The DCMD Module
The PEMFC Module
Pump
3.1.2. Annual Operating and Maintenance Cost
The DCMD and PEMFC Replacement
Total Maintenance Cost
Utility Cost
3.2. Objective Function and Constraints
3.3. Optimal Design Method and Computational Strategy
| Algorithm 1. Conditional algorithm for operational constraints. |
| if Ts(end) ≥ Ts(0) & Ts(end) − Ts(0) ≤ 1 |
| if Tfo(n) < 100 |
| if Tst(n) < 100 |
| % Calculate the TDP from Equations (1)–(8) and all of the equations in Supplementary Materials. |
| TDP = TDP; |
| else |
| TDP = 1 * 10 ^ −5; |
| end |
| else |
| TDP = 1 * 10 ^ −5; |
| End |
| else |
| TDP = 1 * 10 ^ −5; |
| end |
4. Results and Discussion
4.1. Sensitivity Analysis
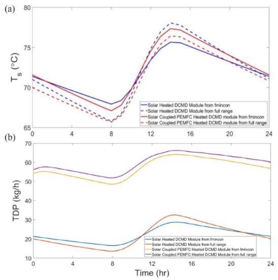
4.2. Optimization Results
5. Conclusions
Supplementary Materials
Author Contributions
Funding
Institutional Review Board Statement
Informed Consent Statement
Data Availability Statement
Conflicts of Interest
Nomenclature
| Symbol | |
| a | Amortization factor of the solar collector (-) |
| A | Unit area (m2) |
| b | Amortization factor of the membrane (-) |
| c | Amortization factor of the PEMFC (-) |
| C | Membrane distillation coefficient (-) |
| CH2 | Hydrogen concentration of PEMFC (mol/cm3) |
| Ck | Knudsen-diffusion coefficient (-) |
| Cm | Molecular-diffusion coefficient (1/m) |
| CO2 | Oxygen concentration of PEMFC (mol/cm3) |
| Cp | Poiseuille-flow coefficient (m) |
| Cp,air | Air specific heat (J/mol·K) |
| Cp,H2 | Hydrogen specific heat (J/mol·K) |
| Cp,N2 | Nitrogen specific heat (J/mol·K) |
| Cp,O2 | Oxygen specific heat (J/mol·K) |
| Cpf | Fluid specific heat (J/kg·K) |
| Cpg,H2O | Gaseous water specific heat (J/mol·K) |
| Cph | Seawater specific heat (J/kg·K) |
| Cpl,H2O | Liquid water specific heat (J/mol·K) |
| Cpst | PEMFC specific heat (J/kg·K) |
| dh | Hydraulic radius (m) |
| di | Fiber inside diameter (m) |
| do | Fiber outside diameter (m) |
| ds | Shell inside diameter (m) |
| D | Diffusion coefficient (m2/s) |
| ENernst | The open circuit cell voltage (V) |
| F | Faraday constant (s·A/mol) |
| Fr | Heat removal factor (-) |
| Fsc | Solar collector efficiency factor (-) |
| h | Heat transfer coefficient (W/m2·K) |
| H | Head (m) |
| i | Annual interest rate (%) |
| I | Solar irradiation (W/m2) |
| Ist | Current (A) |
| jfc | Current density (A/cm2) |
| J | Permeate flux (kg/m2·h) |
| Jm | Average permeate flux (kg/m2·h) |
| k | Conductive coefficient (W/m·K) |
| kmg | Vapor conductive coefficient (W/m·K) |
| kms | Solid conductive coefficient (W/m·K) |
| L | Fibers length (m) |
| mcl | Cooling water flow rate (kg/s) |
| mf | The primary circuit mass flow rate (kg/s) |
| mh | Seawater mass flow rate (kg/s) |
| M | Mass (kg) |
| M_f | Feed molecular weight (kg/mol) |
| M_p | Permeate molecular weight (kg/mol) |
| M_s | Salt molecular weight (kg/mol) |
| M_w | Water molecular weight (kg/mol) |
| Ms | Heat storage tank mass (kg) |
| n | Equipment life (y) |
| Anode input hydrogen molar flow rate (mol/s) | |
| Anode output hydrogen molar flow rate (mol/s) | |
| Anode reacted hydrogen molar flow rate (mol/s) | |
| Anode input gases are humidified to saturation (mol/s) | |
| Anode remaining of the output gases are humidified to saturation (mol/s) | |
| Cathode output generated water (mol/s) | |
| Cathode input gases are humidified to saturation (mol/s) | |
| Cathode remaining of the output gases are humidified to saturation (mol/s) | |
| Cathode output nitrogen molar flow rate (mol/s) | |
| Cathode input oxygen molar flow rate (mol/s) | |
| Cathode output oxygen molar flow rate (mol/s) | |
| Cathode reacted oxygen molar flow rate (mol/s) | |
| Cathode input air molar flow rate (mol/s) | |
| Nf | Fibers number (-) |
| Nfc | Cell number (-) |
| p | Price (USD) |
| P | Pressure (Pa) |
| Pam | Log-mean air pressure at both sides of the membrane (-) |
| Pan | Anode inlet gases pressure (atm) |
| Pca | Cathode inlet gases pressure (atm) |
| pelec | Electricity price (USD) |
| pfcr | Replacement price of PEMFC (USD) |
| pfixed | Annual fixed cost (USD) |
| PH2 | Partial pressure of the anode hydrogen (kpa) |
| pmema | Installation price of DCMD (USD) |
| pmemr | Replacement price of DCMD (USD) |
| pO&M | Annual operating and maintenance costs (USD) |
| PO2 | Partial pressure of the cathode oxygen (kpa) |
| Pr | Prandtl number (-) |
| Psat | Saturation vapor pressure (kpa) |
| pscr | Installation price of solar collector (USD) |
| Pst | PEMFC output voltage (W) |
| Pw | Cooling water price (USD) |
| Pw, m | Vapor pressure when there is no dissolved substances in the water (Pa) |
| Q | Heat (W) |
| Qamb | Rate of heat loss to the atmosphere (W) |
| Qcl | Rate of heat removal by the coolant (W) |
| Qin | Heat flow rate of input reactant (gas) (W) |
| Qout | Heat flow rate of output product (liquid water) (W) |
| Qtot | Total power from the electrochemical reaction (W) |
| Qv | Volume flow rate of pump (m3/h) |
| R | Universal gas constant (Pa·m3/mol·K) |
| Re | Reynolds number (-) |
| Rint | Resistance (Ω) |
| Rk | Correlation of Knudsen-diffusion (m2·s·Pa/kg) |
| Rm | Correlation of Molecular-diffusion (m2·s·Pa/kg) |
| Rp | Correlation of Poiseuille-flow (m2·s·Pa/kg) |
| Rt | Thermal resistance (K/W) |
| S | Radiation absorbed flux by the absorber area (W/m2) |
| t | Operating time (h) |
| tm | Membrane thickness (cm) |
| T | Temperature (K) |
| Anode inlet gases temperature (K) | |
| Cathode inlet gases temperature (K) | |
| Ta | Ambient temperature (°C) |
| TAC | Total Annual Cost (USD/y) |
| TDP | Total Distillate Production (m3/y) |
| TDPh | Water production per hour (kg/h) |
| Tfi | The solar collector inlet temperature (°C) |
| Tfo | The solar collector outlet temperature (°C) |
| Thi | The heat exchanger inlet temperature (seawater temperature, °C) |
| Tho | The heat exchanger outlet temperature (°C) |
| Uh | Internal heat exchanger overall loss coefficient (W/m2·K) |
| UPC | Unit Production Cost (USD/m3) |
| Us | Heat storage tank in the environment overall heat loss coefficient (W/m2·K) |
| Usc | Solar collector overall heat loss coefficient (W/m2·K) |
| v | Velocity (m/s) |
| vh | Average velocity of seawater (m/s) |
| V | Molar volume (m3/mol) |
| Vact | Activation overpotential (V) |
| Vfc | The PEMFC delivers electrical power to the load (V) |
| Vohm | Ohmic overpotential (V) |
| Wpump | Power of pump (kw) |
| Xfs | Molar fraction in liquid phase |
| z | Axial coordinate of hollow fiber |
| Greek letters | |
| ∆H | The enthalpy of evaporation (J/kg) |
| ∆HH2 | The enthalpy of combustion for hydrogen (J/mol) |
| α | Membrane surface area coefficient (-) |
| δm | Membrane thickness (m) |
| ε | Porosity (-) |
| ηo | Optical efficiency coefficient (-) |
| ηpump | The efficiency of pump (%) |
| λH2 | Input hydrogen flow rate factor (-) |
| λm | Membrane water content of PEMFC (-) |
| λO2 | Input oxygen flow rate factor (-) |
| μ | Seawater kinetic viscosity (Pa·s) |
| μw | Viscosity of water vapor within the membrane (Pa·s) |
| ρf | Feed density (kg/m3) |
| ρs | Salt density (kg/m3) |
| ρw | Water density (kg/m3) |
| φ | Packing density (-) |
| Subscripts | |
| f | MD feed side |
| fc | Fuel cell |
| fm | Feed side of the membrane |
| h | Internal heat exchanger |
| m | Across the membrane |
| mem | DCMD module |
| p | MD permeate side |
| pm | Permeate side of the membrane |
| pump | Pump |
| s | Heat storage tank |
| sc | Solar collector |
| st | PEMFC |
| te | Heat storage tank with internal heat exchanger |
References
- Khayet, M. Solar desalination by membrane distillation: Dispersion in energy consumption analysis and water production costs (a review). Desalination 2013, 308, 89–101. [Google Scholar] [CrossRef]
- Alkhudhiri, A.; Darwish, N.; Hilal, N. Membrane distillation: A comprehensive review. Desalination 2012, 287, 2–18. [Google Scholar] [CrossRef]
- Al-Obaidani, S.; Curcio, E.; Macedonio, F.; Diprofio, G.; Alhinai, H.; Drioli, E. Potential of membrane distillation in seawater desalination: Thermal efficiency, sensitivity study and cost estimation. J. Membr. Sci. 2008, 323, 85–98. [Google Scholar] [CrossRef]
- Zwijnenberg, H.J.; Koops, G.; Wessling, M. Solar driven membrane pervaporation for desalination processes. J. Membr. Sci. 2005, 250, 235–246. [Google Scholar] [CrossRef]
- Wang, X.; Zhang, L.; Yang, H.; Chen, H. Feasibility research of potable water production via solar-heated hollow fiber membrane distillation system. Desalination 2009, 247, 403–411. [Google Scholar] [CrossRef]
- Qtaishat, M.R.; Banat, F. Desalination by solar powered membrane distillation systems. Desalination 2013, 308, 186–197. [Google Scholar] [CrossRef]
- Elminshawy, N.A.; Siddiqui, F.R.; Sultan, G.I. Development of a desalination system driven by solar energy and low grade waste heat. Energy Convers. Manag. 2015, 103, 28–35. [Google Scholar] [CrossRef]
- Lokare, O.; Tavakkoli, S.; Rodriguez, G.; Khanna, V.; Vidic, R.D. Integrating membrane distillation with waste heat from natural gas compressor stations for produced water treatment in Pennsylvania. Desalination 2017, 413, 144–153. [Google Scholar] [CrossRef] [Green Version]
- Lai, X.; Long, R.; Liu, Z.; Liu, W. A hybrid system using direct contact membrane distillation for water production to harvest waste heat from the proton exchange membrane fuel cell. Energy 2018, 147, 578–586. [Google Scholar] [CrossRef]
- Bai, B.; Yang, X.; Tian, R.; Wang, X.; Wang, H. A high efficiency solar steam generation system with using residual heat to enhance steam escape. Desalination 2020, 491, 114382. [Google Scholar] [CrossRef]
- Phattaranawik, J.; Jiraratananon, R.; Fane, A.G. Heat transport and membrane distillation coefficients in direct contact membrane distillation. J. Membr. Sci. 2003, 212, 177–193. [Google Scholar] [CrossRef]
- El-Bourawi, M.S.; Ding, Z.; Ma, R.; Khayet, M. A framework for better understanding membrane distillation separation process. J. Membr. Sci. 2006, 285, 4–29. [Google Scholar] [CrossRef]
- Sun, C.; Kosar, W.; Zhang, Y.; Feng, X. Vacuum membrane distillation for desalination of water using hollow fiber membranes. J. Membr. Sci. 2014, 455, 131–142. [Google Scholar] [CrossRef]
- Pathapati, P.; Xue, X.; Tang, J. A new dynamic model for predicting transient phenomena in a PEM fuel cell system. Renew. Energy 2005, 30, 1–22. [Google Scholar] [CrossRef]
- Ramousse, J.; Lottin, O.; Didierjean, S.; Maillet, D. Heat sources in proton exchange membrane (PEM) fuel cells. J. Power Sources 2009, 192, 435–441. [Google Scholar] [CrossRef]
- Hu, P.; Cao, G.Y.; Zhu, X.J.; Hu, M. Coolant circuit modeling and temperature fuzzy control of proton exchange membrane fuel cells. Int. J. Hydrog. Energy 2010, 35, 9110–9123. [Google Scholar] [CrossRef]
- Zhao, P.; Wang, J.; Gao, L.; Dai, Y. Parametric analysis of a hybrid power system using organic Rankine cycle to recover waste heat from proton exchange membrane fuel cell. Int. J. Hydrog. Energy 2011, 37, 3382–3391. [Google Scholar] [CrossRef]
- Hasani, M.; Rahbar, N. Application of thermoelectric cooler as a power generator in waste heat recovery from a PEM fuel cell —An experimental study. Int. J. Hydrog. Energy 2015, 40, 15040–15051. [Google Scholar] [CrossRef]
- Chauhan, A.; Saini, R.P. A review on integrated renewable energy system based power generation for stand-alone applications: Configurations, storage options, sizing methodologies and control. Renew. Sustain. Energy Rev. 2014, 38, 99–120. [Google Scholar] [CrossRef]
- Ghobeity, A.; Noone, C.J.; Papanicolas, C.N.; Mitsos, A. Optimal time-invariant operation of a power and water cogeneration solar-thermal plant. Sol. Energy 2011, 85, 2295–2320. [Google Scholar] [CrossRef]
- Mohan, G.; Kumar, U.; Pokhrel, M.K.; Martin, A. A novel solar thermal polygeneration system for sustainable production of cooling, clean water and domestic hot water in United Arab Emirates: Dynamic simulation and economic evaluation. Appl. Energy 2016, 167, 173–188. [Google Scholar] [CrossRef]
- Farahat, S.; Sarhaddi, F.; Ajam, H. Exergetic optimization of flat plate solar collectors. Renew. Energy 2009, 34, 1169–1174. [Google Scholar] [CrossRef]
- Badescu, V. Optimal control of flow in solar collector systems with fully mixed water storage tanks. Energy Convers. Manag. 2008, 49, 169–184. [Google Scholar] [CrossRef]
- Cheng, L.-H.; Wu, P.-C.; Chen, J. Modeling and optimization of hollow fiber DCMD module for desalination. J. Membr. Sci. 2008, 318, 154–166. [Google Scholar] [CrossRef]
- Ho, M.C.; Huang, K.T. The Development and Research on Hourly Typical Meteorological Years (TMY3) for Building Energy Simulation Analysis of Taiwan; Architecture and Building Research Institute in Ministry of the Interior: Taipei, Taiwan, 2013.
- Macedonio, F.; Curcio, E.; Drioli, E. Integrated membrane systems for seawater desalination: Energetic and exergetic analysis, economic evaluation, experimental study. Desalination 2007, 203, 260–276. [Google Scholar] [CrossRef]
- Saffarini, R.B.; Summers, E.K.; Arafat, H.A. Economic evaluation of stand-alone solar powered membrane distillation systems. Desalination 2012, 299, 55–62. [Google Scholar] [CrossRef]
- Turton, R.; Bailie, R.C.; Whiting, W.B.; Shaeiwitz, J.A.; Bhattacharyya, D. Analysis, Synthesis and Design of Chemical Processes, 4th ed.; Prentice Hall: Upper Saddle River, NJ, USA, 2012. [Google Scholar]
- Bezmalinović, D.; Barbir, F.; Tolj, I. Techno-economic analysis of PEM fuel cells role in photovoltaic-based systems for the remote base stations. Int. J. Hydrog. Energy 2013, 38, 417–425. [Google Scholar] [CrossRef] [Green Version]
- Peter, M.S.; Timmerhaus, K.D.; West, R.E. Plant Design and Economics for Chemical Engineers, 5th ed.; Mc Graw Hill: Boston Burr Ridge, IL, USA, 2002. [Google Scholar]
- Todd, B. Nickel-containing materials in marine and related environments. Nickel Metall. 1986, 2, 121–137. [Google Scholar]
- Vogelesang, H. An introduction to energy consumption in pumps. World Pumps 2008, 2008, 28–31. [Google Scholar] [CrossRef]
- Mengual, J.; Khayet, M.; Godino, M. Heat and mass transfer in vacuum membrane distillation. Int. J. Heat Mass Transf. 2004, 47, 865–875. [Google Scholar] [CrossRef]
- Ding, Z.; Ma, R.; Fane, A. A new model for mass transfer in direct contact membrane distillation. Desalination 2003, 151, 217–227. [Google Scholar] [CrossRef]
- Martínez, L.; Rodríguez-Maroto, J.M. On transport resistances in direct contact membrane distillation. J. Membr. Sci. 2007, 295, 28–39. [Google Scholar] [CrossRef]
- Jia, X.; Klemeš, J.J.; Varbanov, P.S.; Wan Alwi, S.R. Analyzing the energy consumption, GHG emission, and cost of seawater desalination in China. Energies 2019, 12, 463. [Google Scholar] [CrossRef] [Green Version]













| Parameter Description | Symbol | Value | Unit |
|---|---|---|---|
| SolarCollector [22] | |||
| Fluid specific heat (pure water) | Cpf | 4180 | J/(kg·K) |
| Collector efficiency factor | Fsc | 0.9 | - |
| Collector overall heat loss coefficient | Usc | 4.7 | W/(m2·K) |
| Optical efficiency coefficient | ηo | 0.84 | - |
| Heat Storage Tank with Internal Heat Exchanger [23] | |||
| Internal heat exchanger area | Ah | 20 | m2 |
| Heat storage tank in the environment contact area | As | 1.2 | m2 |
| Seawater specific heat | Cph | 4080 | J/(kg·K) |
| Internal heat exchanger overall loss coefficient | Uh | 250 | W/(m2·K) |
| Heat storage tank in the environment overall loss coefficient | Us | 1.2 | W/(m2·K) |
| Hollow Fiber DCMD Module [24] | |||
| Membrane area for heat transfer through feed side to membrane | Af | 1 | m2 |
| Knudsen-diffusion coefficient | Ck | 0.0015 | - |
| Molecular-diffusion coefficient | Cm | 5.1 × 103 | 1/m |
| Poiseuille-flow coefficient | Cp | 1.297 × 10−10 | M |
| The fiber inside diameter | di | 0.3 | Mm |
| The fiber outside diameter | do | 0.424 | Mm |
| Vapor conductive coefficient | kmg | 0.028 | W/(m·K) |
| Solid membrane conductive coefficient | kms | 0.25 | W/(m·K) |
| The fibers length | L | 0.34 | m |
| The fibers number | Nf | 3000 | - |
| Membrane thickness | δm | 60 | μm |
| Porosity | ε | 75 | % |
| Packing density | φ | 60 | % |
| The viscosity of water vapor within the membrane | μw | 1.08 × 10−5 | Pa·s |
| PEMFC [16] | |||
| Hydrogen specific heat | Cp,H2 | 28.944 | J/(mol·K) |
| Gaseous water specific heat | Cpg,H2O | 33.59 | J/(mol·K) |
| Liquid water specific heat | Cpl,H2O | 75.37 | J/(mol·K) |
| Oxygen specific heat | Cp,O2 | 29.696 | J/(mol·K) |
| The PEMFC specific heat | Cp,st | 4000 | J/(kg·K) |
| Faraday constant | F | 96,484.6 | sA/mol |
| The enthalpy of combustion for hydrogen | ∆HH2 | 285,500 | J/mol |
| The coolant inlet mass flow rate | m | 0.1 | kg/s |
| Cell number | Nfc | 112 | - |
| Anode inlet gases pressure | Pan | 2.9 | atm |
| Cathode inlet gases pressure | Pca | 3 | atm |
| Universal gas constant | R | 8.314 | J/(mol·K) |
| Thermal resistance | Rt | 0.145 | K/W |
| Anode inlet gases temperature | 323 | K | |
| Cathode inlet gases temperature | 323 | K | |
| Membrane thickness | tm | 0.0178 | cm |
| Input hydrogen flow rate factor | λH2 | 1.5 | - |
| Input oxygen flow rate factor | λO2 | 2 | - |
| Membrane water content | λm | 14 | - |
| Parameter Description | Symbol | Value | Unit |
|---|---|---|---|
| Solar collector area | Asc | 50 | m2 |
| Membrane area | Am | 1.2 | m2 |
| Heat storage tank size | Ms | 500 | kg |
| The primary circuit mass flow rate | mf | 0.1 | kg/s |
| Seawater mass flow rate | mh | 0.01 | kg/s |
| The initial water temperature of the heat storage tank | Ts(0) | 25 | °C |
| Seawater temperature | Thi | 20 | °C |
| MD feed side outlet pressure | Pf(L) | 101.325 | kPa |
| MD permeate side inlet pressure | Pp(0) | 101.325 | kPa |
| MD permeate side outlet temperature | Tp(L) | 25 | °C |
| MD feed side inlet velocity | vf(0) | 0.457 | m/s |
| MD permeate side outlet velocity | vp(L) | 0.229 | m/s |
| MD feed side inlet salt concentration | Xfs(0) | 0.025 | kg salt/kg water |
| Symbol | B1 | B2 | k1 | k2 | k3 | c1, c2, c3 | FM |
|---|---|---|---|---|---|---|---|
| Value | 1.63 | 1.66 | 4.8306 | −0.8509 | 0.3187 | 0 | 4.6 |
| Symbol | B1 | B2 | k1 | k2 | k3 | c1, c2, c3 | FMa | FMb |
|---|---|---|---|---|---|---|---|---|
| Value | 1.89 | 1.35 | 3.3892 | 0.0536 | 0.1538 | 0 | 1 | 4.4 |
| The Solar-Heated Membrane Distillation System | The PEMFC Coupled Solar-Heated Membrane Distillation System | ||
|---|---|---|---|
| Sensitivity Analysis Parameter | Symbol | Sensitivity Analysis Parameter | Symbol |
| Solar collector area | Asc | The PEMFC active area | Afc |
| The primary circuit mass flow rate | mf | Solar collector area | Asc |
| Seawater mass flow rate | mh | The PEMFC current density | jfc |
| Heat storage tank size | Ms | The primary circuit mass flow rate | mf |
| The initial water temperature of the heat storage tank | Ts(0) | Seawater mass flow rate | mh |
| Heat storage tank size | Ms | ||
| The PEMFC mass | Mst | ||
| The initial water temperature of the heat storage tank | Ts(0) | ||
| Parameter Description | Symbol | Value | Unit |
|---|---|---|---|
| The primary circuit mass flow rate | mf | 0.1 | kg/s |
| Seawater mass flow rate | mh | 0.01 | kg/s |
| The PEMFC mass | Mst | 20 | kg |
| Parameter Description | Symbol | Value | Unit |
|---|---|---|---|
| Membrane area | Am | 1.2 | m2 |
| The primary circuit mass flow rate | mf | 0.1 | kg/s |
| Seawater mass flow rate | mh | 0.01 | kg/s |
| Seawater temperature | Thi | 20 | °C |
| The PEMFC mass | Mst | 20 | kg |
| MD feed side outlet pressure | Pf(L) | 101.325 | kPa |
| MD permeate side inlet pressure | Pp(0) | 101.325 | kPa |
| MD permeate side outlet temperature | Tp L) | 25 | °C |
| MD feed side inlet velocity | vf(0) | 0.457 | m/s |
| MD permeate side outlet velocity | vp(L) | 0.229 | m/s |
| MD feed side inlet salt concentration | Xfs(0) | 0.025 | kg salt/kg water |
| The Solar-Heated Membrane Distillation System | ||
|---|---|---|
| Optimal Variable | Initial Point | Variable Range (Upper-Lower Limit) |
| Asc | [10, 20, …, 110, 120] (10 steps) | 10–120 |
| Ts(0) | [25, 30, …, 70, 75] (5 steps) | 25–80 |
| Ms | [1145, 1395, …, 4645, 4895] (250 steps) | 1000–5000 |
| The PEMFC Coupled Solar-Heated Membrane Distillation System | ||
| Optimal Variable | Initial Point | Variable Range (Upper–Lower Limit) |
| jfc | [0.9, 1.2, 1.5] (0.3 steps) | 0.8–1.6 |
| Afc | [60, 90, 120, 150] (30 steps) | 50–150 |
| Asc | [10, 20, …, 110, 120] (10 steps) | 10–120 |
| Ts(0) | [25, 30, …, 70, 75] (5 steps) | 25–80 |
| Ms | [1145, 1395, …, 4645, 4895] (250 steps) | 1000–5000 |
| System | The Solar-Heated Membrane Distillation System | The PEMFC Coupled Solar-Heated Membrane Distillation System | ||
|---|---|---|---|---|
| Symbol (Unit) | fmincon | Full-Range | fmincon | Full-Range |
| Asc (m2) | 80.09 | 80 | 80.10 | 80 |
| Ms (kg) | 4145 | 2645 | 3145 | 3145 |
| Ts(0) (°C) | 71.8 | 71 | 71.6 | 70 |
| Afc (cm2) | ─ | ─ | 50.072 | 60 |
| jfc (A/cm2) | ─ | ─ | 1.87 | 1.8 |
| UPC (USD/m3) | 118.55 | 119.78 | 132.65 | 140.05 |
| TAC (USD/y) | 23,189 | 23,167 | 65,309 | 71,926 |
| TDP (m3/y) | 195.59 | 193.40 | 492.34 | 513.58 |
| System | The Solar-Heated Membrane Distillation System | The PEMFC Coupled Solar-Heated Membrane Distillation System | |||
|---|---|---|---|---|---|
| Units Cost Symbol) | The Cost with fmincon (USD) | The Cost with Full-Range (USD) | The Cost with fmincon (USD) | The Cost with Full-Range (USD) | |
| Solar collector (psc & pscr) | 9684.1 | 9672 | 9683.7 | 9672 | |
| Heat storage tank with internal heat (pte) | 201,011 | 200,350 | 200,851 | 200,851 | |
| DCMD module (pmem & pmemr) | 345.6 | 345.6 | 345.6 | 345.6 | |
| PEMFC (pfc) | ─ | ─ | 33,616 | 38,870 | |
| Pump (ppump) | 63,717 | 63,717 | 63,717 | 63,717 | |
| Annual fixed cost (pfixed) | 23,002.5 | 22,981 | 40,152 | 42,988 | |
| Unit replacement cost | DCMD (pmemr) | 17.28 | 17.28 | 17.28 | 17.28 |
| PEMFC (pfcr) | ─ | ─ | 10,085 | 11,661 | |
| System maintenance cost (pM) | 115 | 114.9 | 200.42 | 214.9 | |
| Utility cost | Cooling water (pw) | 1.6 | 1 | 1.3 | 1.3 |
| Electricity (pelec) | 52.6 | 52.6 | (−)3610 | (−)4306 | |
| Hydrogen (pH2) | ─ | ─ | 18,463 | 21,349 | |
| Operating and Maintenance cost (pO&M) | 186.5 | 185.8 | 25,157 | 28,938 | |
| Total annual cost (TAC) | 23,189 | 23,167 | 65,309 | 71,926 | |
Publisher’s Note: MDPI stays neutral with regard to jurisdictional claims in published maps and institutional affiliations. |
© 2022 by the authors. Licensee MDPI, Basel, Switzerland. This article is an open access article distributed under the terms and conditions of the Creative Commons Attribution (CC BY) license (https://creativecommons.org/licenses/by/4.0/).
Share and Cite
Liu, Y.-H.; Adi, V.S.K.; Suen, S.-Y. Heat-Integration of Solar-Heated Membrane Distillation and Fuel Cell for Desalination System Based on the Dynamic Optimization Approach. Processes 2022, 10, 663. https://doi.org/10.3390/pr10040663
Liu Y-H, Adi VSK, Suen S-Y. Heat-Integration of Solar-Heated Membrane Distillation and Fuel Cell for Desalination System Based on the Dynamic Optimization Approach. Processes. 2022; 10(4):663. https://doi.org/10.3390/pr10040663
Chicago/Turabian StyleLiu, Yu-Hsin, Vincentius Surya Kurnia Adi, and Shing-Yi Suen. 2022. "Heat-Integration of Solar-Heated Membrane Distillation and Fuel Cell for Desalination System Based on the Dynamic Optimization Approach" Processes 10, no. 4: 663. https://doi.org/10.3390/pr10040663
APA StyleLiu, Y.-H., Adi, V. S. K., & Suen, S.-Y. (2022). Heat-Integration of Solar-Heated Membrane Distillation and Fuel Cell for Desalination System Based on the Dynamic Optimization Approach. Processes, 10(4), 663. https://doi.org/10.3390/pr10040663

