Investigation on Energy-Effectiveness Enhancement of Medium-Frequency Induction Furnace Based on an Adaptive Chaos Immune Optimization Algorithm with Mutative Scale
Abstract
1. Introduction
2. Materials and Methods
2.1. Energy Effectiveness Optimization Model of Medium-Frequency Induction Furnace
2.2. An Adaptive Mutative-Scale Chaos Immune Optimization Algorithm
2.3. Astringency of Adaptive Mutative-Scale Chaos Immune Optimization Algorithm
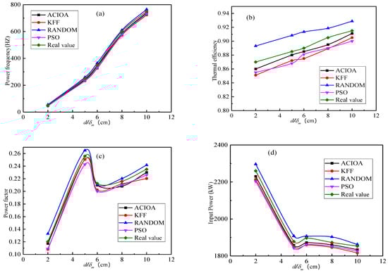
2.4. Optimization Algorithm Validation
2.5. Validation of the Model and Methods
3. Results and Discussion
3.1. Energy Effectiveness Analysis on Medium-Frequency Induction Furnace
3.1.1. Power Analysis
3.1.2. Electrothermal Efficiency Analysis
- (1)
- As for material (such as aluminum) with small heat loss, low heating temperature, high thermal conductivity, and low absorption capacity, its thermal efficiency is high and the thermal efficiency change is small. In this case, the electrothermal efficiency mainly depends on the electrical efficiency, and the electrical efficiency is close to the maximum when d/δm is equal to 5.
- (2)
- As for material (such as steel) with large heat loss, high heating temperature, low thermal conductivity, and large absorption capacity, its thermal efficiency is low and thermal efficiency changes greatly. In this case, the electrothermal efficiency has a peak value. For cylindrical steel, the corresponding ratio of d/δm is about 3.5.
3.1.3. Power Factor Analysis
3.2. Effect Analysis on Energy-Effectiveness Enhancement of Medium-Frequency Induction Furnace
3.2.1. Diameter of Heated Cylindrical Material
3.2.2. Thickness of Crucible Wall
3.2.3. Fullness Degree of Induction Coil
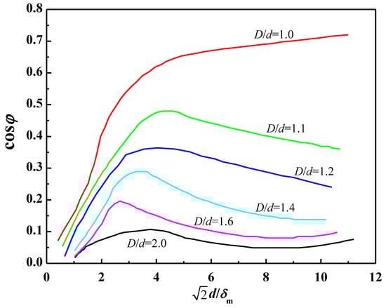
3.2.4. Ratio of Diameter to Current Penetration Depth
3.2.5. Power Frequency
4. Conclusions
- (1)
- Due to the good global optimization and fast convergence of ACIOA, the improved method has the smallest error and is closest to the actual value. In addition, the method has good estimation accuracy for both similar and different operating conditions of the training set.
- (2)
- The optimization algorithm can continuously modify the variable search space and take the optimal number of cycles as the control index to carry out the search. It can reduce the influence of noise on the performance of the intrusion systems.
- (3)
- Because the increase in crucible wall-thickness improves the insulation of the furnace, the optimal input power is first reduced and then increased. Again, the improved method has good estimation accuracy and global optimization capability.
- (4)
- The suitable ratio of diameter to current penetration depth is between 3.5 and 6.0, and is beneficial to the improvements in power factor and thermal efficiency. The side-wall heat loss decreases with the increase in the thickness of the crucible wall. In addition, increasing thickness of the crucible wall increases the clearance between the inductor and crucible, resulting in a sharp drop in power factor.
Author Contributions
Funding
Data Availability Statement
Conflicts of Interest
References
- Zhang, Z.; Ye, J.; Tan, D.; Feng, Z.; Luo, J.; Tan, Y.; Huang, Y. The effects of Fe2O3 based DOC and SCR catalyst on the combustion and emission characteristics of a diesel engine fueled with biodiesel. Fuel 2021, 290, 120039. [Google Scholar] [CrossRef]
- Zhang, Z.; Tian, J.; Xie, G.; Li, J.; Xu, W.; Jiang, F.; Huang, Y.; Tan, D. Investigation on the combustion and emission characteristics of diesel engine fueled with diesel/methanol/n-butanol blends. Fuel 2022, 314, 123088. [Google Scholar] [CrossRef]
- Yuan, S.; Dai, Z.; Zhou, Z.; Chen, X.; Yu, G.; Wang, F. Rapid co-pyrolysis of rice straw and a bituminous coal in a high-frequency furnace and gasification of the residual char. Bioresour. Technol. 2012, 109, 188–197. [Google Scholar] [CrossRef]
- Pereira, L.; Martinez, L.; Mucsi, C.; Reis, L.; Rossi, J. On the melting of zirconium alloys from scraps using electron beam and induction furnaces–recycling process viability. J. Mater. Res. Technol. 2020, 9, 4867–4875. [Google Scholar] [CrossRef]
- Jiménez, E.; Béjar, L.; Aguilar, C.; López, I.; Hernandez, O. Microstructural characterization of the Ti-30Nb-6Sn alloy synthesized by mechanical alloying. Microsc. Microanal. 2021, 27, 574–576. [Google Scholar] [CrossRef]
- Zhang, Z.; Ye, J.; Lv, J.; Xu, W.; Tan, D.; Jiang, F.; Huang, H. Investigation on the effects of non-uniform porosity catalyst on SCR characteristic based on the field synergy analysis. J. Environ. Chem. Eng. 2022, 10, 107056. [Google Scholar] [CrossRef]
- Ramanathan, A.; Krishnan, P.; Muraliraja, R. A review on the production of metal matrix composites through stir casting—Furnace design, properties, challenges, and research opportunities. J. Manuf. Processes 2019, 42, 213–245. [Google Scholar] [CrossRef]
- Stanchev, V. Consulting expert system for coreless induction furnaces control. IFAC Proc. Vol. 2006, 39, 171–176. [Google Scholar] [CrossRef]
- Buliński, P.; Smolka, J.; Golak, S.; Przylucki, R.; Palacz, M.; Siwiec, G.; Lipart, J.; Bialecki, R.; Blacha, L. Numerical and experimental investigation of heat transfer process in electromagnetically driven flow within a vacuum induction furnace. Appl. Therm. Eng. 2017, 124, 1003–1013. [Google Scholar] [CrossRef]
- Chen, Z.; Ma, W.; Li, S.; Wu, J.; Wei, K.; Yu, Z.; Ding, W. Influence of carbon material on the production process of different electric arc furnaces. J. Clean. Prod. 2018, 174, 17–25. [Google Scholar] [CrossRef]
- Zhou, Q.; Wen, J.; Wu, J.; Ma, W.; Xu, M.; Wei, K.; Zhang, Z.; Zhang, L.; Xu, J. Recovery and purification of metallic silicon from waste silicon slag in electromagnetic induction furnace by slag refining method. J. Clean. Prod. 2019, 229, 1335–1341. [Google Scholar] [CrossRef]
- Staroducbtsev, Y.; Tsepelev, V. Analysis of lossed in soft magnetic nanocrystalline alloys as a function of induction and frequency. J. Magn. Magn. Mater. 2020, 500, 166346. [Google Scholar]
- Hsieh, C.; Hsu, H.; Mo, C.; Chen, Y.; Pai, C. Medium-frequency induction sintering of lithium nickel cobalt manganese oxide cathode materials for lithiumion batteries. Solid State Ion. 2015, 270, 39–46. [Google Scholar] [CrossRef]
- Asad, A.; Kratzsch, C.; Dudczig, S.; Aneziris, C.; Schwarze, R. Numerical study of particle filtration in an induction crucible furnace. Int. J. Heat Fluid Flow 2016, 62, 299–312. [Google Scholar] [CrossRef]
- Yuan, X.; Zhang, T.; Xiang, Y.; Dai, X. Parallel chaos optimization algorithm with migration and merging operation. Appl. Soft Comput. 2015, 35, 591–604. [Google Scholar] [CrossRef]
- Dwivedi, S.; Vardhan, M.; Tripathi, S. An Effect of Chaos Grasshopper Optimization Algorithm for Protection of Network Infrastructure. Comput. Netw. 2020, 176, 107251. [Google Scholar] [CrossRef]
- Hajiheidari, S.; Wakil, K.; Badri, M.; Navimipour, N. Intrusion detection systems in the internet of things: A comprehensive investigation. Comput. Netw. 2019, 160, 165–191. [Google Scholar] [CrossRef]
- Zakeri, A.; Hokmabadi, A. Efficient feature selection method using real-valued grasshopper optimization algorithm. Expert Syst. Appl. 2019, 119, 61–72. [Google Scholar] [CrossRef]
- Li, H.; Wang, Y.; Zuo, Z. Chaos-based image encryption algorithm with orbit perturbation and dynamic state variable selection mechanisms. Opt. Lasers Eng. 2019, 115, 197–207. [Google Scholar] [CrossRef]
- Chen, J.; Lin, Q.; Ji, Z. Chaos-based multi-objective immune algorithm with a fine-grained selection mechanism. Soft Comput. 2011, 15, 1273–1288. [Google Scholar] [CrossRef]
- Guo, Z.; Wang, S.; Zhuang, J. A novel immune evolutionary algorithm incorporating chaos optimization. Pattern Recognit. Lett. 2006, 27, 2–8. [Google Scholar]
- Xu, Q.; Zhang, C.; Sun, J.; Zhang, l. Adaptive Learning Rate Elitism Estimation of Distribution Algorithm Combining Chaos Perturbation for Large Scale Optimization. Open Cybern. Syst. J. 2016, 10, 20–40. [Google Scholar] [CrossRef][Green Version]
- Ghosh, P.; Mali, K.; Das, S. Chaotic Firefly Algorithm-Based Fuzzy C-Means Algorithm for Segmentation of Brain Tissues in Magnetic Resonance Images. J. Vis. Commun. Image Represent. 2018, 54, 63–79. [Google Scholar] [CrossRef]
- Hong, L.; Kamruzzaman, J. A new convergence rate estimation of general artificial immune algorithm. J. Intell. Fuzzy Syst. 2015, 28, 2793–2800. [Google Scholar] [CrossRef]
- Xu, H.; Li, P.; Cong, Z.; Zhang, F.; Pan, Y.; Ren, X.; Wang, X.; Xing, Y. Test Case Prioritization Based on Artificial Immune Algorithm. Teh. Vjesn.-Tech. Gaz. 2021, 28, 1871–1876. [Google Scholar]
- Miralvand, M.; Rasoolzadeh, S.; Majidi, M. Proposing a features preprocessing method based on artificial immune and minimum classification errors methods. J. Appl. Res. Technol. 2015, 13, 477–481. [Google Scholar] [CrossRef]
- Pánek, D.; Orosz, T.; Kropík, P.; Karban, P.; Dolezel, I. Reduced-Order Model Based Temperature Control of Induction Brazing Process. In Proceedings of the 2019 Electric Power Quality and Supply Reliability Conference (PQ) & 2019 Symposium on Electrical Engineering and Mechatronics (SEEM), Kärdla, Estonia, 12–15 June 2019. [Google Scholar]
- Wang, S.; Huang, G.; Baetz, B.; Ancell, B. Towards robust quantification and reduction of uncertainty in hydrologic predictions: Integration of particle Markov chain Monte Carlo and factorial polynomial chaos expansion. J. Hydrol. 2017, 548, 484–497. [Google Scholar] [CrossRef]
- Mehak, K.; Sankalap, A. Chaotic grey wolf optimization algorithm for constrained optimization problems. J. Comput. Des. Eng. 2017, 4, 458–472. [Google Scholar]
- Chen, X.; Hu, C. Adaptive medical image encryption algorithm based on multiple chaotic mapping. Natl. Libr. Med. 2017, 24, 1821–1827. [Google Scholar] [CrossRef]
- Vishal, K.; Agrawal, S. On dynamics, existence of chaos, control and synchronization of novel complex chaotic system. Chin. J. Phys. 2017, 55, 519–532. [Google Scholar] [CrossRef]
- Xu, X.; Rong, H.; Pereira, E.; Trovati, M. Predatory Search-based Chaos Turbo Particle Swarm Optimization (PS-CTPSO): A new particle swarm optimisation algorithm for Web service combination problems. Future Gener. Comput. Syst. 2018, 89, 375–386. [Google Scholar] [CrossRef]
- Marelli, S.; Sudret, B. An active-learning algorithm that combines sparse polynomial chaos expansions and bootstrap for structural reliability analysis. Struct. Saf. 2017, 75, 67–74. [Google Scholar] [CrossRef]
- Zhang, X.; Wang, X. Multiple-image encryption algorithm based on mixed image element and chaos. Comput. Electr. Eng. 2017, 62, 401–413. [Google Scholar] [CrossRef]
- Meng, J.; Li, H. An efficient stochastic approach for flow in porous media via sparse polynomial chaos expansion constructed by feature selection. Adv. Water Resour. 2017, 105, 13–28. [Google Scholar] [CrossRef]
- Zhang, Y.; Zhao, Y.; Fu, X.; Xu, J. A feature extraction method of the particle swarm optimization algorithm based on adaptive inertia weight and chaos optimization for Brillouin scattering spectra. Opticsunications 2016, 376, 56–66. [Google Scholar] [CrossRef]
- Gaganpreet, K.; Sankalap, A. Chaotic whale optimization algorithm. J. Comput. Des. Eng. 2018, 5, 275–284. [Google Scholar]
- Hao, P.; Wang, Y.; Liu, C.; Wang, B.; Wu, H. A novel non-probabilistic reliability-based design optimization algorithm using enhanced chaos control method. Comput. Methods Appl. Mech. Eng. 2017, 318, 572–593. [Google Scholar] [CrossRef]
- Wang, X.; Pei, W.; Atluri, S. Bifurcation & chaos in nonlinear structural dynamics: Novel & highly efficient optimal-feedback accelerated Picard iteration algorithms. Commun. Nonlinear Ence Numer. Simul. 2018, 65, 54–69. [Google Scholar]
- Rizk-Allah, R.; Hassanien, A.; Bhattacharyya, S. Chaotic Crow Search Algorithm for Fractional Optimization Problems. Appl. Soft Comput. 2018, 71, 1161–1175. [Google Scholar] [CrossRef]
- Cao, Z. Evolutionary optimization of artificial neural network using an interactive phase-based optimization algorithm for chaotic time series prediction. Soft Comput. 2020, 24, 17093–17109. [Google Scholar] [CrossRef]
- Li, K.; Xue, W.; Mao, H.; Chen, X.; Jiang, H.; Tan, G. Optimizing the 3D Distributed Climate inside Greenhouses Using Multi-Objective Optimization Algorithms and Computer Fluid Dynamics. Energies 2019, 12, 2873. [Google Scholar] [CrossRef]
- Abdulla, A.; Mamun, B. A survey of intrusion detection systems based on ensemble and hybrid classifiers. Comput. Secur. 2017, 65, 135–152. [Google Scholar]
- Arora, S.; Anand, P. Chaotic grasshopper optimization algorithm for globaloptimization. Neural Comput. Appl. 2019, 31, 4385–4405. [Google Scholar] [CrossRef]
- Adam, S.; Alexandropoulos, S.; Pardalos, P.; Vrahatis, M. No Free Lunch Theorem: A Review. Approx. Optim. 2019, 57–82. [Google Scholar]
- Orosz, T.; Rassõlkin, A.; Kallaste, A.; Arsenio, P.; Pánek, D.; Kaska, J.; Karban, P. Robust Design Optimization and Emerging Technologies for Electrical Machines: Challenges and Open Problems. Appl. Sci. 2020, 10, 6653. [Google Scholar] [CrossRef]
- Fan, L.; Cheng, F.; Zhang, T.; Liu, G.; Yuan, J.; Mao, P. Visible-light photoredox-promoted desilylative allylation of a-silylamines: An efficient route to synthesis of homoallylic amines. Tetrahedron Lett. 2021, 81, 153357. [Google Scholar] [CrossRef]
- Esfahani, M.; Hosseinian, S.; Vahidi, B. A new optimal approach for improvement of active power filter using FPSO for enhancing power quality. Int. J. Electr. Power Energy Syst. 2015, 69, 188–199. [Google Scholar] [CrossRef]
- Tkacheva, O.; Arkhipov, P.; Zaykov, Y. Solid phase formation during aluminium electrolysis. Electrochem. Commun. 2020, 110, 106624. [Google Scholar] [CrossRef]
- Dou, J.; Jia, X.; Huang, Z.; Gu, X.; Xia, M.; Zheng, Y.; Ma, B. Theoretical and experimental study on jet formation and penetration of the liner loaded by electromagnetic force. Int. J. Mech. Sci. 2020, 186, 105883. [Google Scholar]
- Zhang, Z.; Li, J.; Tian, J.; Zhong, Y.; Zou, Z.; Dong, R.; Gao, S.; Xu, W.; Tan, D. The effects of Mn-based catalysts on the selective catalytic reduction of NOx with NH3 at low temperature: A review. Fuel Process. Technol. 2022, 230, 107213. [Google Scholar] [CrossRef]
- Zuo, H.; Tan, J.; Wei, K.; Huang, Z.; Zhong, D.; Xie, F. Effects of different poses and wind speeds on wind-induced vibration characteristics of a dish solar concentrator system. Renew. Energy 2021, 168, 1308–1326. [Google Scholar] [CrossRef]
- Zuo, H.; Liu, G.; Jiaqiang, E.; Zuo, W.; Wei, K.; Hu, W.; Tan, J.; Zhong, D. Catastrophic analysis on the stability of a large dish solar thermal power generation system with wind-induced vibration. Sol. Energy 2019, 183, 40–49. [Google Scholar] [CrossRef]
- Hu, L.; Hu, X.; Che, Y.; Feng, F.; Lin, X.; Zhang, Z. Reliable state of charge estimation of battery packs using fuzzy adaptive federated filtering. Appl. Energy 2020, 262, 114569. [Google Scholar] [CrossRef]
- Ma, Y.; Liu, C.; Jiaqiang, E.; Mao, X.; Yu, Z. Research on modeling and parameter sensitivity of flow and heat transfer process in typical rectangular microchannels: From a data-driven perspective. Int. J. Therm. Sci. 2022, 172, 107356. [Google Scholar] [CrossRef]
- Gu, M.; Chu, H.; Liu, F. Effects of simultaneous hydrogen enrichment and carbon dioxide dilution of fuel on soot formation in an axisymmetric coflow laminar ethylene/air diffusion flame. Combust. Flame 2016, 166, 216–228. [Google Scholar] [CrossRef]
- Chu, H.; Han, W.; Cao, W.; Gu, M.; Xu, G. Effect of methane addition to ethylene on the morphology and size distribution of soot in a laminar co-flow diffusion flame. Energy 2019, 166, 392–400. [Google Scholar] [CrossRef]
- Ren, F.; Chu, H.; Xiang, L.; Han, W.; Gu, M. Effect of hydrogen addition on the laminar premixed combustion characteristics the main components of natural gas. J. Energy Inst. 2019, 92, 1178–1190. [Google Scholar] [CrossRef]
- Chu, H.; Ya, Y.; Nie, X.; Qiao, F.; Jiaqiang, E. Effects of adding cyclohexane, n-hexane, ethanol, and 2, 5-dimethylfuran to fuel on soot formation in laminar coflow n-heptane/iso-octane diffusion flame. Combust. Flame 2021, 225, 120–135. [Google Scholar] [CrossRef]
- Cai, T.; Zhao, D.; Wang, B.; Li, J.; Guan, Y. NOx emission and thermal performances studies on premixed ammonia-oxygen combustion in a CO2-free micro-planar combustor. Fuel 2020, 280, 118554. [Google Scholar] [CrossRef]
- Cai, T.; Sun, Y.; Zhao, D. Enhancing heat transfer performance analyses of a hydrogen-fueled meso-combustor with staggered bluff-bodies. Fuel Process. Technol. 2021, 218, 106867. [Google Scholar] [CrossRef]
- Chen, L.; Deng, Y.; Feng, C.; Han, W.; Jiaqiang, E.; Wang, C.; Han, D.; Zhang, B. Effects of zeolite molecular sieve on the hydrocarbon adsorbent performance of gasoline engine of during cold start. Fuel 2022, 310, 122427. [Google Scholar] [CrossRef]
- Feng, C.; Deng, Y.; Tan, Y.; Han, W.; Jiaqiang, E.; Chen, L.; Han, D. Experimental and simulation study on the effect of ZSM-5 hydrocarbon catcher on the emission of gasoline engine during cold start. Fuel 2022, 313, 122661. [Google Scholar] [CrossRef]
- Li, Y.; Tang, W.; Chen, Y.; Liu, J.; Lee, C. Potential of acetone-butanol-ethanol (ABE) as a biofuel. Fuel 2019, 242, 673–686. [Google Scholar] [CrossRef]
- Li, Y.; Meng, L.; Nithyanandan, K.; Lee, T.; Lin, Y.; Lee, C.; Liao, S. Combustion, performance and emissions characteristics of a spark-ignition engine fueled with isopropanol-n-butanol-ethanol and gasoline blends. Fuel 2016, 184, 864–872. [Google Scholar] [CrossRef]
- Tan, D.; Chen, Z.; Li, J.; Luo, J.; Yang, D.; Cui, S.; Zhang, Z. Effects of Swirl and Boiling Heat Transfer on the Performance Enhancement and Emission Reduction for a Medium Diesel Engine Fueled with Biodiesel. Processes 2021, 9, 568. [Google Scholar] [CrossRef]
- Zhang, Z.; Jiaqiang, E.; Chen, J.; Zhao, X.; Zhang, B.; Deng, Y.; Peng, Q.; Yin, Z. Effects of Boiling Heat Transfer on the Performance Enhancement of a Medium Speed Diesel Engine Fueled with Diesel and Rapeseed Methyl Ester. Appl. Therm. Eng. 2020, 169, 114984. [Google Scholar] [CrossRef]
- Huang, Z.; Huang, J.; Luo, J.; Hu, D.; Yin, Z. Performance enhancement and emission reduction of a diesel engine fueled with different biodiesel-diesel blending fuel based on the multi-parameter optimization theory. Fuel 2022, 314, 122753. [Google Scholar] [CrossRef]









| Item | Detailed |
|---|---|
| NBRecv | Number of data accepted by adjacent nodes |
| NBSent | Number of data sent by adjacent nodes |
| NBRrepSent | The number of RREQ packets accepted by adjacent nodes |
| NBRreqSent | The number of RREQ packets sent by adjacent nodes |
| Item | Τ/s | D/mm | F/Hz | Pμ1/kW | Pa1/kW | Pr1/kVar | η1/% |
|---|---|---|---|---|---|---|---|
| Before optimization | 100 | 71 | 103 | 50.7 | 92.6 | 578.1 | 54.7 |
| After optimization | 110 | 104 | 1151 | 64.4 | 119.4 | 273.1 | 77.2 |
Publisher’s Note: MDPI stays neutral with regard to jurisdictional claims in published maps and institutional affiliations. |
© 2022 by the authors. Licensee MDPI, Basel, Switzerland. This article is an open access article distributed under the terms and conditions of the Creative Commons Attribution (CC BY) license (https://creativecommons.org/licenses/by/4.0/).
Share and Cite
Zuo, H.; Zhu, Y.; Tan, D.; Cui, S.; Tan, J.; Zhong, D. Investigation on Energy-Effectiveness Enhancement of Medium-Frequency Induction Furnace Based on an Adaptive Chaos Immune Optimization Algorithm with Mutative Scale. Processes 2022, 10, 491. https://doi.org/10.3390/pr10030491
Zuo H, Zhu Y, Tan D, Cui S, Tan J, Zhong D. Investigation on Energy-Effectiveness Enhancement of Medium-Frequency Induction Furnace Based on an Adaptive Chaos Immune Optimization Algorithm with Mutative Scale. Processes. 2022; 10(3):491. https://doi.org/10.3390/pr10030491
Chicago/Turabian StyleZuo, Hongyan, Yun Zhu, Dongli Tan, Shuwan Cui, Jiqiu Tan, and Dingqing Zhong. 2022. "Investigation on Energy-Effectiveness Enhancement of Medium-Frequency Induction Furnace Based on an Adaptive Chaos Immune Optimization Algorithm with Mutative Scale" Processes 10, no. 3: 491. https://doi.org/10.3390/pr10030491
APA StyleZuo, H., Zhu, Y., Tan, D., Cui, S., Tan, J., & Zhong, D. (2022). Investigation on Energy-Effectiveness Enhancement of Medium-Frequency Induction Furnace Based on an Adaptive Chaos Immune Optimization Algorithm with Mutative Scale. Processes, 10(3), 491. https://doi.org/10.3390/pr10030491
