Abstract
In this paper, orthogonal experiments are designed to study the sintering and smelting characteristics of the ludwigite ore. The predominant influencing factors of the optimal ratio, basicity and carbon content on different single sintering indexes, including the vertical sintering speed, yield rate, drum strength and low-temperature reduction pulverization index, are firstly explored by the range analysis method, and the main influencing factors on comprehensive indexes are obtained by a weighted scoring method based on different single index investigation. Considering the sintering characteristics, the primary and secondary influencing factors are: ordinary ore ratio, carbon content and basicity, and the optimal ore blending scheme is: basicity 1.7, ordinary ore blending ratio 60% and carbon content 5%. In terms of the smelting characteristics, the research obtains the order of the influencing factors on the softening start temperature, softening end temperature, softening zone, smelting start temperature, dripping temperature, smelting-dripping zone, maximum pressure difference and gas permeability index of the ludwigite sinters by simply considering various single smelting indexes. On this basis, considering the comprehensive softening-melting-dripping characteristics, the primary and secondary influencing factors are: carbon content, ordinary ore ratio and basicity, and the optimal ore blending scheme is: basicity 1.9, ordinary ore blending ratio 60% and a carbon content of 5.5%. Comprehensively, considering the sintering and smelting property of the ludwigite ore, the primary and secondary influencing factors are: carbon content, ordinary ore ratio and basicity, and the optimal ore blending scheme is: basicity 1.9, ordinary ore blending ratio 60% and a carbon content of 5.5%.
1. Introduction
Ludwigite iron ore is a multi-element, symbiotic iron ore containing mainly iron, boron and magnesium elements and containing aluminum, calcium, chromium and radioactive uranium. It has a high comprehensive utilization value and an important strategic position [1,2,3,4,5,6]. Boron resources are widely distributed worldwide with abundant reserves, but it is mainly concentrated in a few countries. It is estimated that there are 1.2 billion tons in the world [7], of which there are about 24 million tons (accounting for B2O3) in China. Wengquangou, Fengcheng in Liaoning, is a large ludwigite resource base, accounting for about 60% of the country’s total reserves, where there are also small amounts of exhausted szaibelyite resources. The salt-lake-type boron ore resources in Qinghai and Tibet contain 33% of the country’s boron resources [8,9]. Ludwigite is not only an important iron ore resource in China’s steel industry but also an important resource in China’s non-ferrous metal industry.
Ludwigite, as a resource, makes up the main body of boron resource development and utilization in China, but the grade is low (average B2O3: 7–8%). Additionally, the mineral composition is complex, with magnetite, szaibelyite, taxoite, etc., and the crystal size is fine and uneven, contributing to the difficulty of mineral separation and smelting. In order to solve the problem of processing and utilization of ludwigite ore, previous workers have carried out research on the comprehensive utilization of ludwigite ore in Fengcheng, Liaoning province, since 1976, and have made breakthroughs in conventional separation, wet separation and pyrometallurgy separation, forming the principal process as shown in Figure 1. For the utilization of boron-bearing iron concentrate, on the one hand, a great deal of research work has been carried out on the efficient recovery of boron as a chemical product, including the pre-reduction electric furnace melting method, granular iron method, reduction-magnetic separation method and other representative technologies [10,11,12,13]. On the other hand, the traditional method applies a boron-bearing additive to improve the metallurgical properties of sinters and pellets [14]. However, large-scale utilization in sintering or pelletizing and further application in the blast furnace are scarcely researched in previous studies as some problems exist in this process that limit industrial application, such as low capacity, high coke ratio, severe brasque erosion and low activity of the boron-rich slag [15,16,17,18,19]. Thus, it is necessary to fill in the blanks of sintering and pelletizing systematic studies.
Figure 1.
Present, predominantly utilized route of ludwigite ore.
In this paper, the sintering characteristics of ludwigite ore are firstly studied, and the feasibility of using ludwigite ore in the blast furnace is further explored. The research results can provide reference for efficient utilization of ludwigite ore on a large scale.
2. Experimental Materials and Methods
2.1. Experimental Materials
The ludwigite ore studied in this paper was taken from Fengcheng, Liaoning province, and was used for sintering experiments with ordinary ore powder, returned sinter below 5 mm, flux (quicklime, etc.) and coke powder. The chemical composition of raw materials is shown in Table 1, in which TFe represents total Fe content, and VM represents volatile matter. The chemical composition of the materials was determined via X-ray fluorescence (XRF, ZSXPrimus Ⅱ; Rigaku, Japan) and inductively coupled plasma-atomic emission spectroscopy (ICP-AES, Optima 8300DV; PerkinElmer, Waltham, MA, USA).
Table 1.
Chemical composition of sintering materials/wt%.
2.2. Experimental Methods
The sintering experiment was carried out by adopting a large sintering cup of 100 kg level, and the sintering experimental conditions are shown in Table 2. The flow chart of laboratory sinter production is shown in Figure 2.
Table 2.
Cold preparation, prepelletization stage and sintering parameters.
Figure 2.
Flow chart of laboratory sinter production.
Orthogonal experimental research method was used to design the sintering and ore blending scheme of ludwigite ore. Three factors were selected, namely: basicity, carbon content and ordinary ore ratio. Three levels were chosen for each factor. According to the three factors and three levels, the orthogonal experiment table was established (Table 3), and there were 9 sets of ore blending experiments. The three-factor, three-level, orthogonal experiment selected the L9 (34) orthogonal experiment table, as shown in Table 4. In the experiment, the added amount of returned sinter below 5 mm in the control mixture was constant. The experiment designed nine groups of ore blending, and the blending amounts of raw materials are listed in Table 5.
Table 3.
Setting of sinter cup test factor and level.
Table 4.
Orthogonal experiment scheme of L9 (34).
Table 5.
Raw material adding scheme/wt%.
The smelting was carried out by adopting a self-designed RDL-2000A ore softening-melting-dripping tester, and the schematic diagram of the equipment is shown in Figure 3, together with the temperature and gas atmosphere regime in Table 6. The size of the graphite crucible used in the experiment was: the inner diameter was 75 mm; the inner height was 160 mm; the bottom hole diameter was 10 mm. During the measurement of the softening-melting-dripping experiment, the heating rate, the amount of reducing gas and the load were all simulated in actual blast furnace production conditions. During the measurement, the equipment recorded the softening start temperature (T4), softening temperature (T40) and softening zone (T40-T4) of different sinters, in which T4 and T40 are the temperatures that the shrinkage ratio of the raw sinter layer reaches at 4% and 40%, respectively. The shrinkage rate was calculated based on the material layer displacement. The equipment also recorded the temperature point when the instantaneous pressure difference was 0.8 kPa as Ts and recorded the temperature point when the mass of the drop was 5 g as Td. (Ts-T4) and (Td-Ts) represent the melting interval and melting-dripping zone, respectively. The specific experimental steps were the same as previous study [20].
Figure 3.
Schematic diagram of softening-melting-dripping tester.
Table 6.
Experimental conditions for softening-melting-dripping properties.
3. Results and Discussion
3.1. Sintering Properties
Table 7 exhibits the chemical composition of the ludwigite sinters.
Table 7.
Chemical composition of ludwigite sinters/wt%.
3.1.1. Cold Metallurgical Properties
In the sintering process, the speed at which the sintered layer moves down per unit of time is called the vertical sintering speed (VSS). In the actual sintering process, with the gradual progress of physical and chemical reactions, the vertical sintering speed is constantly changing. It is generally expressed by the average speed value obtained by dividing the thickness of the sintering mixture layer by the sintering time. The vertical sintering speed of ludwigite agglomeration mixture is shown in Table 8. According to the results of the vertical sintering speed of ludwigite ore, the influencing factors were analyzed by range. According to the range analysis, from large to small, the order of influence on the vertical sintering speed of ludwigite ore is: basicity, carbon content, ordinary ore ratio. The optimal ore blending scheme that simply considers the vertical sintering speed is: basicity 2.1, ordinary ore blending ratio 30% and carbon content 5%.
Table 8.
Experimental results of cold metallurgical properties and range analysis.
Yield rate (YR) is calculated according to the following Equation (1).
In the equation, η—yield rate, %; q—mass of the part with a particle size ≥5 mm after sintering, kg; Q—total mass of sintered ore, kg.
According to the yield rate results of ludwigite sintered ore, the influencing factors were analyzed by range, as shown in Table 8. According to the range analysis, from large to small, the order of influence on ludwigite sinter yield rate is: ordinary ore ratio, carbon content, basicity. The optimal ore blending scheme that simply considers the yield rate is: basicity 1.9, ordinary ore blending ratio 60% and carbon content 5.5%.
The drum index obtained by the drum experiment is a measurement of the impact resistance and wear resistance of the sinter at room temperature. According to the testing standard of GB/T8029-1987, the sinter drum strength test was carried out. After the sinter was crushed and screened, according to the mass percentage of each particle size level, three particle sizes of 25–40 mm, 16–25 mm and 10–16 mm were correspondingly taken out for sintered ore samples. A total of 0.75 kg sinters were put into the drum and were continuously rotated for 200 r at a speed of (25 ± 1) r/min. The samples were taken out at the end of the drum and classified by mechanical shaker. The drum strength (T) was calculated with the masses of >6.3 mm and <6.3 mm grain fractions, respectively. The calculation Equation (2) is as follows:
T = (>6.3 mm particle mass/total mass of sample entering drum) × 100%
According to the results of the drum strength (T) of the ludwigite sintered ore, the influencing factors were analyzed by range, as shown in Table 8. According to the range analysis, the order of influences on the drum strength (T) of ludwigite sinters from large to small is: carbon content, ordinary ore ratio and basicity. The optimal ore blending scheme that simply considers the drum strength (T) is: basicity 2.1, ordinary ore blending ratio 60% and carbon content 5%.
The abrasion index −0.5 mm of nine ludwigite sintered ores was lower than 1.34%, which is a superb index, so no further analysis was made.
3.1.2. Low-Temperature Reduction and Pulverization
According to the standard of GB/T 13242-1991, nine groups of ludwigite sinters were measured by low-temperature reduction and pulverization. The low-temperature reduction pulverization experimental data of ludwigite sinters are shown in Table 9, from which it was found that the low-temperature pulverization index RDI+3.15 was at quite a high level of above 97%, indicating that ludwigite sinters have eminent resistance of pulverization compared with ordinary sinters and even vanadium-titanium magnetite sinters [21,22]. The chemical composition of ludwigite sinters after reduction is presented in Table 10.
Table 9.
Data of low-temperature reduction and pulverization index.
Table 10.
Chemical composition of ludwigite sinters after reduction/wt%.
According to the results of the low-temperature reduction pulverization index of ludwigite ore, the influencing factors were analyzed by range, as shown in Table 11. According to the range analysis, from large to small, the order of influence on the low-temperature reduction pulverization index RDI+3.15 of ludwigite sinter is: ordinary ore ratio, basicity and carbon content. The optimal ore blending scheme that simply considers the low-temperature reduction pulverization index RDI+3.15 is: basicity 1.7, ordinary ore blending ratio 60% and carbon content 5%.
Table 11.
Range analysis of low-temperature reduction and pulverization index.
3.1.3. Comprehensive Weighted Scoring Method Analysis of Sintering Characteristics
Considering the sintering index, including the vertical sintering speed, yield rate, drum strength and low-temperature reduction pulverization index of the ludwigite sinter, the comprehensive weighted scoring method was adopted to analyze the factor order and the optimal conditions, and the results are shown in Table 12.
Table 12.
Comprehensive weighted scoring analysis.
The evaluation matrix X = (xij) can be obtained from the orthogonal test results. In order to unify the trend requirements of each index and eliminate the incommensurability of each index, the evaluation matrix X was standardized (Equation (3)). This study required higher index values of the vertical sintering speed, yield rate, drum strength and low-temperature reduction pulverization index. According to the comprehensive weighted scoring method, the larger the score, the better the criterion, and the standardized evaluation matrix Z was obtained (Equation (4)).
Among the four indexes in the test, the subjective weights of the indexes obtained by the expert survey method were: the vertical sintering speed α1 = 0.1, yield rate α2 = 0.1, drum strength α3 = 0.3, low-temperature reduction pulverization index α4 = 0.5, that is, α = (0.1, 0.1, 0.3, 0.5)T. Secondly, the objective weight of each index obtained by the entropy method was: β = (0.22, 0.37, 0.25, 0.15)T. Finally, taking the preference coefficient as 0.5, the comprehensive weight of each index was obtained as: w = (0.16, 0.24, 0.28, 0.33)T. The comprehensive weighted score value (fi) of the test can be calculated by Equation (5).
where wj is the (j)th comprehensive weight, and the calculation result is shown in Table 12. According to the comprehensive weighted scoring value and the individual index test analysis and evaluation method, the conclusion is shown in Table 12. The primary and secondary factors that affect the sintering characteristics of the ludwigite ore are carbon content, ordinary ore ratio and basicity. Considering the sintering property, the optimal ore blending scheme is: basicity 1.7, ordinary ore blending ratio 60% and carbon content 5.0%.
3.2. Smelting Property of Ludwigite Sinters
3.2.1. Softening-Melting-Dripping Property
According to T4, T40, Ts Td, T40-T4, Ts-T4 and Td-Ts of ludwigite sinters, the influencing factors were analyzed by range, as shown in Table 13. It was found that the overall indicator was better compared with the softening-melting-dripping property of vanadium-titanium magnetite sinters [23]. According to the range analysis, from large to small, the order of influence on the softening start temperature, melting start temperature and dripping temperature of the ludwigite sinter is: ordinary ore ratio, carbon content, basicity. The order of influence on the softening zone and melting-dripping zone is: carbon content, basicity and ordinary ore ratio. The order of influence on the melting interval is: carbon content, ordinary ore ratio and basicity. The optimal ore blending scheme that simply considers the softening start temperature is: basicity 1.9, ordinary ore blending ratio 60% and carbon content 5.5%; the optimal ore blending scheme that simply considers the melting start temperature is: basicity 2.1, ordinary ore blending ratio 60% and carbon content 5.5%. As the values of the dripping temperature, softening zone and melting-dripping zone are required to be as small as possible, the optimal ore blending scheme that simply considers the dripping temperature is: basicity 1.9, ordinary ore blending ratio 30% and carbon content 5.5%. The optimal ore blending scheme that simply considers the softening zone is: basicity 1.9, ordinary ore blending ratio 60% and carbon content 5%; the optimal ore blending scheme that simply considers the melting-dripping zone is: basicity 1.7, ordinary ore blending ratio 60% and carbon content 5.5%.
Table 13.
Range analysis of softening and melting temperature zone.
3.2.2. Shrinkage Behavior and Gas Permeability
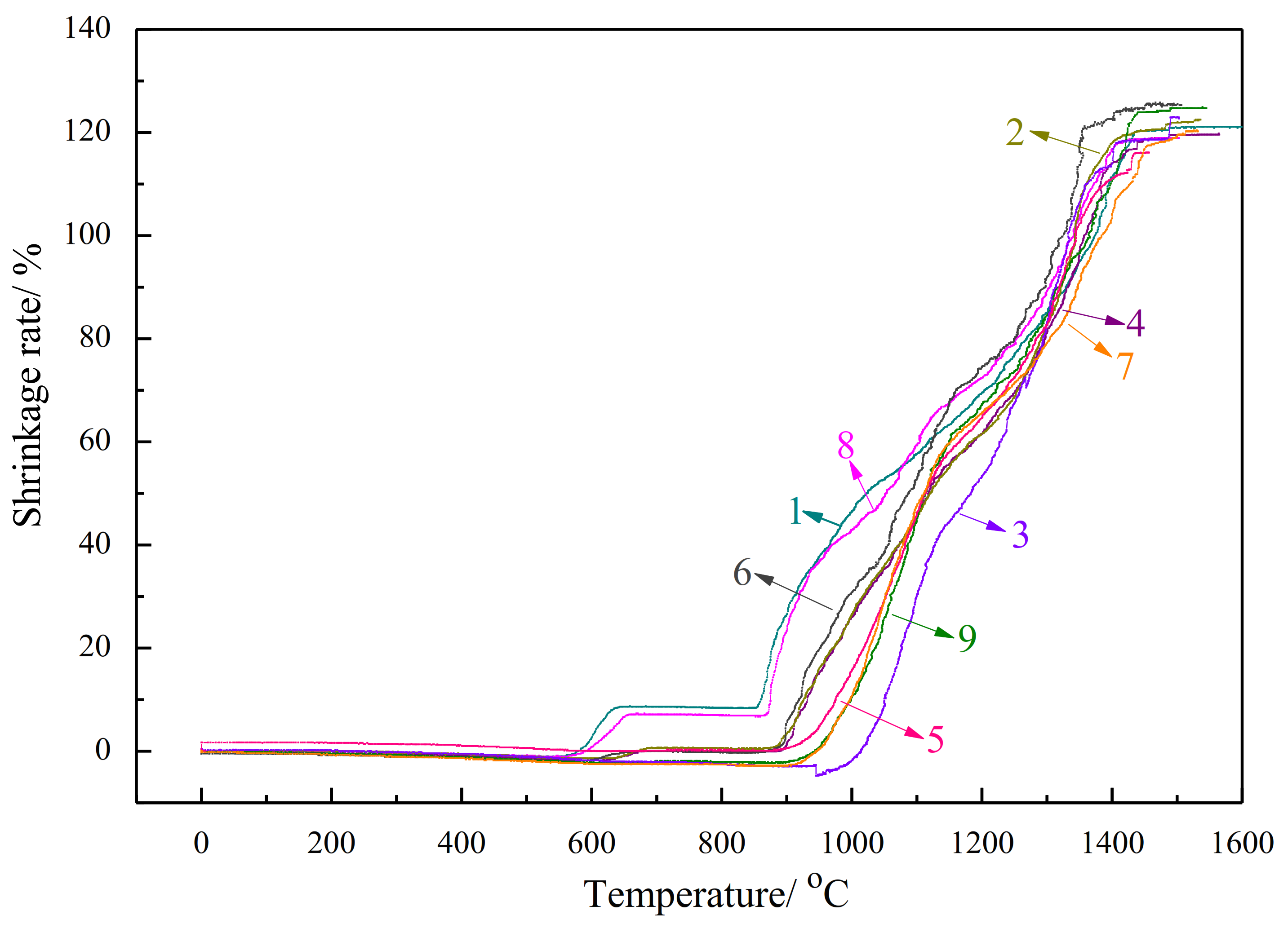
The shrinkage rate of the nine groups of ludwigite sinters in the softening-melting-dripping experiment is shown in Figure 4. It can be seen that, as the temperature rose, the volume of the sintered ludwigite ore first expanded. After reaching the softening temperature, the shrinkage rate curve began to gradually increase, indicating that it was changing from softening state to molten state, and the shrinkage rate increased until the melted iron dropped.
Figure 4.
Shrinkage graph of ludwigite sinter.
Figure 5 presents the gas permeability index (S) for the nine groups of ludwigite sinters obtained through the softening-melting-dripping experiments, in which the maximum pressure difference (△Pmax) can be found.
Figure 5.
Characteristic number of gas permeability.
According to the results of the maximum pressure difference value and gas permeability index of the ludwigite sinter, the influencing factors were analyzed by range, as shown in Table 14.
Table 14.
Range analysis of gas permeability index.
According to the range analysis, from large to small, the order of influences on the maximum pressure difference and the gas permeability index of ludwigite sinter is: ordinary ore ratio, basicity, carbon content. As the maximum pressure difference and the gas permeability index are required to be as small as possible, the optimal ore blending scheme that simply considers the maximum pressure difference is: basicity 1.9, ordinary ore blending ratio 60% and carbon content 5.5%, and the optimal ore blending scheme that simply considers the gas permeability index is: basicity 2.1, ordinary ore ratio 60% and carbon content 5%.
3.2.3. Comprehensive Weighted Scoring Method Analysis of Smelting Property
Similarly, considering the smelting index, including softening start temperature, melting start temperature, dripping start temperature, softening zone, melting-dripping zone, maximum pressure difference and gas permeability index, the comprehensive weighted scoring method was adopted to analyze the factor order and the optimal conditions, and the results are shown in Table 15.
Table 15.
Comprehensive weighted scoring analysis.
The evaluation matrix X = (xij) can be obtained from the orthogonal test results. In order to unify the trend requirements of each index and eliminate the incommensurability of each index, the evaluation matrix X was standardized (Equation (6)). This study required higher index values of the softening start temperature and melting start temperature and lower index values of dripping temperature, softening zone, melting-dripping zone, maximum pressure difference and gas permeability index. According to the comprehensive weighted scoring method, the larger the score, the better the criterion, and the standardized evaluation matrix Z was obtained (Equation (7)).
Among seven indexes in the test, the subjective weights of the indexes obtained by the expert survey method were: gas permeability index α1 = 0.2, maximum pressure difference α2 = 0.1, softening start temperature α3 = 0.14, melting start temperature α4 = 0.14, dripping start temperature α5 = 0.14, softening zone α6 = 0.14, melting-dripping zone α7 = 0.14, that is, α = (0.2, 0.1, 0.14, 0.14, 0.14, 0.14, 0.14)T. Secondly, the objective weight of each index obtained by the entropy method was: β = (0.09, 0.10, 0.15, 0.25, 0.12, 0.15, 0.14)T. Finally, taking the preference coefficient as 0.5, the comprehensive weight of each index was obtained as: w = (0.14, 0.10, 0.15, 0.19, 0.13, 0.15, 0.14)T. The comprehensive weighted score value of the test can be calculated by Equation (5), and the calculation result is shown in Table 15. According to the comprehensive weighted scoring value and the individual index test analysis and evaluation method, the conclusion is shown in Table 15. The primary and secondary factors that affected the softening-melting-dripping characteristics of the ludwigite sinter are carbon content, ordinary ore ratio and basicity. Comprehensively, considering the smelting property, the optimal ore blending scheme is: basicity 1.9, ordinary ore blending ratio 60% and carbon content 5.5%.
3.3. Comprehensive Weighted Scoring Method Analysis of Integrated Metallurgical Properties
Comprehensively, considering the cold metallurgical properties, low-temperature reduction and pulverization properties and softening-melting-dripping characteristics of the ludwigite sinter, the comprehensive weighted scoring method was adopted to analyze the factor order and the optimal conditions, and the results are shown in Table 16.
Table 16.
Comprehensive weighted scoring analysis.
The evaluation matrix X = (xij) can be obtained from the orthogonal test results. In order to unify the trend requirements of each index and eliminate the incommensurability of each index, the evaluation matrix X was standardized (Equation (8)). This study required higher index values of the vertical sintering speed, yield rate, drum strength, low-temperature reduction pulverization index, softening start temperature, melting start temperature and lower gas permeability index values, maximum pressure difference, dripping start temperature, softening zone and melting-dripping zone. According to the comprehensive weighted scoring method, the larger the score, the better the criterion, and the standardized evaluation matrix Z was obtained (Equation (9)).
Among eleven indexes in the test, the subjective weights of the indexes obtained by the expert survey method were: gas permeability index α1 = 0.12, maximum pressure difference α2 = 0.06, softening start temperature α3 = 0.084, melting start temperature α4 = 0.084, dripping start temperature α5 = 0.084, softening zone α6 = 0.084, melting-dripping zone α7 = 0.084, vertical sintering speed α8 = 0.04, yield rate α9 = 0.04, drum strength α10 = 0.12, low temperature reduction pulverization index α11 = 0.2, that is, α = (0.12, 0.06, 0.084, 0.084, 0.084, 0.084, 0.084, 0.04, 0.04, 0.12, 0.2)T. Secondly, the objective weight of each index obtained by the entropy method was: β = (0.05, 0.06, 0.09, 0.15, 0.07, 0.09, 0.08, 0.09, 0.15, 0.10, 0.06)T. Finally, taking the preference coefficient as 0.5, the comprehensive weight of each index was obtained as: w = (0.09, 0.06, 0.09, 0.12, 0.08, 0.09, 0.08, 0.06, 0.10, 0.11, 0.13)T. The comprehensive weighted score value of the test can be calculated by Equation (5), and the calculation result is shown in Table 16. According to the comprehensive weighted scoring value and the individual index test analysis and evaluation method, the conclusion is shown in Table 16. The primary and secondary factors that affect the cold metallurgical performance, low temperature reduction pulverization performance and softening-melting-dripping characteristics of the ludwigite sinter are carbon content, ordinary ore ratio and basicity. Comprehensively, considering the sintering and smelting property, the optimal ore blending scheme is: basicity 1.9, ordinary ore blending ratio 60% and carbon content 5.5%.
4. Conclusions
The sintering characteristics of ludwigite ore and smelting properties of ludwigite sinters were investigated in this paper. The main influencing factors were obtained by range analysis method, and the main influencing factors of comprehensive indexes were obtained by weighted scoring method. The conclusions are as follows:
- (1)
- Considering the sintering characteristics of the vertical sintering speed, yield, drum strength and low-temperature reduction pulverization index for ludwigite ore, the primary and secondary influencing factors are: ordinary ore ratio, carbon content and basicity, and the optimal ore blending scheme is: basicity 1.7, ordinary ore blending ratio 60% and carbon content 5%.
- (2)
- Considering the smelting property of the softening start temperature, softening end temperature, softening zone, smelting start temperature, dripping temperature, smelting-dripping zone, maximum pressure difference and gas permeability index for ludwigite sinters, the primary and secondary influencing factors are: the carbon content, ordinary ore blending ratio and the basicity, and the optimal ore blending scheme: basicity 1.9, ordinary ore blending ratio 60% and carbon content 5.5%.
- (3)
- Comprehensively, considering the sintering characteristics and smelting properties of ludwigite sinters, the primary and secondary influencing factors are: carbon content, ordinary ore ratio and basicity, and the optimal ore blending plan is: basicity 1.9, ordinary ore blending ratio 60% and carbon content of 5.5%.
Author Contributions
Conceptualization, X.X. and L.L.; methodology, G.C.; software, X.L.; validation, G.C., X.L. and H.Y.; formal analysis, G.C.; investigation, H.Y.; resources, X.X.; data curation, G.C.; writing—original draft preparation, G.C.; writing—review and editing, G.C.; visualization, G.C.; supervision, L.L.; project administration, X.X.; funding acquisition, X.X. All authors have read and agreed to the published version of the manuscript.
Funding
This research was funded by the national key research and development plan of China (grant no. 2020YFC1909803).
Informed Consent Statement
Informed consent was obtained from all subjects involved in the study.
Conflicts of Interest
The authors declare no conflict of interest.
References
- Zheng, X.-J. Boron Iron Ore Processing; Chemical Industry Press: Beijing, China, 2009. [Google Scholar]
- Zhao, Q.-J.; He, C.-Q.; Gao, M.-H. Comprehensive utilization of ludwigite ore: Activation of ludwigite concentrate and mechanism of ludwigite-containing iron concentrate to improve the properties of sintered pellets. J. East China Inst. Metall. 1997, 14, 262–263. [Google Scholar]
- Zhang, J.-Y.; Cheng, J.; Li, Z.-L. Research on the new technology of flash roasting of ludwigite ore. Inorg. Salt Ind. 2009, 41, 42–43. [Google Scholar]
- Zhang, J.-L.; Cai, H.-T. Enrichment of ludwigite in low-grade ludwigite ore. J. Univ. Sci. Technol. Beijing 2009, 31, 36–40. [Google Scholar]
- Yuan, B.-F.; Zhang, L.-Q.; Zhang, F.-J. Study on sulfuric acid co-leaching of ludwigite, magnesium and iron from ludwigite and mafic ore. J. Shenyang Univ. Chem. Technol. 2013, 27, 20–24. [Google Scholar]
- Lu, Y.-P.; Long, T.; Feng, Q.-M. Floatability and mechanism of fine-grained serpentine. Chin. J. Nonferrous Met. 2009, 19, 1493–1497. [Google Scholar]
- United States Geological Survey. USGS 2020 Statistics; China Engineering Science and Technology Knowledge Center: Beijing, China, 2020.
- An, J.; Xue, X.-X.; Jiang, T. Study on ecological pressure of pyro-method separation process for ludwigite ore. J. Northeast. Univ. 2013, 34, 542–545. [Google Scholar]
- Zhang, L.-Q.; Yuan, B.-F.; Zhou, H.-F.; Liu, Z.-G. Extraction of magnesium sulfate from acid leaching solution of ludwigite and maficite by ethanol crystallization. J. Cent. South Univ. 2013, 44, 2681–2686. [Google Scholar]
- Li, Y.-L.; Qu, J.-K.; Wei, G.-Y.; Qi, T. Influence of Na2CO3 as additive on direct reduction of boron-bearing magnetite concentrate. J. Iron Steel Res. Int. 2016, 23, 103–108. [Google Scholar] [CrossRef]
- Wang, G.; Xue, Q.-G.; Wang, J.-S. Effect of Na2CO3 on reduction and melting separation of ludwigite/coal composite pellet and property of boron-rich slag. Trans. Nonferrous Met. Soc. China 2016, 26, 282–293. [Google Scholar] [CrossRef]
- Fu, X.-J.; Zhao, J.-Q.; Chen, S.-Y.; Liu, Z.-G.; Guo, T.-L.; Chu, M.-S. Comprehensive utilization of ludwigite ore based on metallizing reduction and magnetic separation. J. Iron Steel Res. Int. 2015, 22, 672–680. [Google Scholar] [CrossRef]
- Li, G.-H.; Liang, B.-J.; Rao, M.-J.; Zhang, Y.-B.; Jiang, T. An innovative process for extracting boron and simultaneous recovering metallic iron from ludwigite ore. Miner. Eng. 2014, 56, 57–60. [Google Scholar] [CrossRef]
- Guo, H.-W.; Bai, J.-L.; Zhang, J.-L.; Li, H.-G. Mechanism of strength improvement of magnetite pellet by adding boron-bearing iron concentrate. J. Iron Steel Res. Int. 2014, 21, 9–15. [Google Scholar] [CrossRef]
- Liu, S.-L.; Cui, C.-M.; Zhang, X.-P. Pyrometallurgical separation of boron from iron in ludwigite ore. ISIJ Int. 1998, 38, 1077–1079. [Google Scholar] [CrossRef][Green Version]
- Yang, Z.-D.; Liu, S.-L.; Li, Z.-F.; Xue, X.-X. Oxidation of silicon and boron in boron containing molten iron. J. Iron Steel Res. Int. 2007, 14, 32–36. [Google Scholar] [CrossRef]
- Sui, Z.-T.; Zhang, P.-X.; Yamauchi, C. Precipitation selectivity of boron compounds from slags. Acta Mater. 1999, 47, 1337–1344. [Google Scholar] [CrossRef]
- Jiang, T.; Xue, X.-X. Synthesis of (Ca, Mg)-α′-Sialon-AlNBN powders from boron-rich blast furnace slag by microwave carbothermal reduction-nitridation. Trans. Nonferrous Met. Soc. China 2012, 22, 2984–2990. [Google Scholar] [CrossRef]
- Jiang, T.; Wu, J.-B.; Xue, X.-X.; Duan, P.-N.; Chu, M.-S. Carbothermal formation and microstructural evolution of α’-Sialon-AlN-BN powders from boron-rich blast furnace slag. Adv. Powder Technol. 2012, 23, 406–413. [Google Scholar] [CrossRef]
- Song, H.-L.; Zhang, J.-P.; Cheng, G.-J.; Yang, S.-T.; Xue, X.-X. The effect of abandoned basic oxygen furnace gas blowing on the softening-melting-dripping performance of full high Cr-Bearing vanadia-titania magnetite pellets. Steel Res. Int. 2020, 91, 1900501. [Google Scholar] [CrossRef]
- Zhang, L.-H.; Yang, S.-T.; Tang, W.-D.; Yang, H.; Xue, X.-X. Effect of coke breeze content on sintering mechanism and metallurgical properties of high-chromium vanadium-titanium magnetite. Ironmak. Steelmak. 2020, 47, 821–827. [Google Scholar] [CrossRef]
- Tang, W.-D.; Yang, S.-T.; Zhang, L.-H.; Huang, Z.; Yang, H.; Xue, X.-X. Effects of basicity and temperature on mineralogy and reduction behaviors of high-chromium vanadium-titanium magnetite sinters. J. Cent. South Univ. 2019, 26, 132–145. [Google Scholar] [CrossRef]
- Liu, Z.-G.; Chu, M.-S.; Wang, H.-T.; Zhao, W.; Xue, X.-X. Effect of MgO content in sinter on the softening–melting behavior of mixed burden made from chromium-bearing vanadium–titanium magnetite. Int. J. Miner. Metall. Mater. 2016, 23, 25–32. [Google Scholar] [CrossRef]
Publisher’s Note: MDPI stays neutral with regard to jurisdictional claims in published maps and institutional affiliations. |
© 2022 by the authors. Licensee MDPI, Basel, Switzerland. This article is an open access article distributed under the terms and conditions of the Creative Commons Attribution (CC BY) license (https://creativecommons.org/licenses/by/4.0/).




