Plasma Surface Modification of Epoxy Polymer in Air DBD and Gliding Arc
Abstract
:1. Introduction
2. Experimental Details
2.1. Materials
2.2. Atmospheric Plasma Treatment
2.3. Optical Emission Spectroscopy (OES)
2.4. Temperature Measurements
2.5. Surface Characterization
3. Results and Discussion
3.1. Optical Emission Spectroscopy
3.2. Surface Analysis
3.2.1. Water Contact Angle
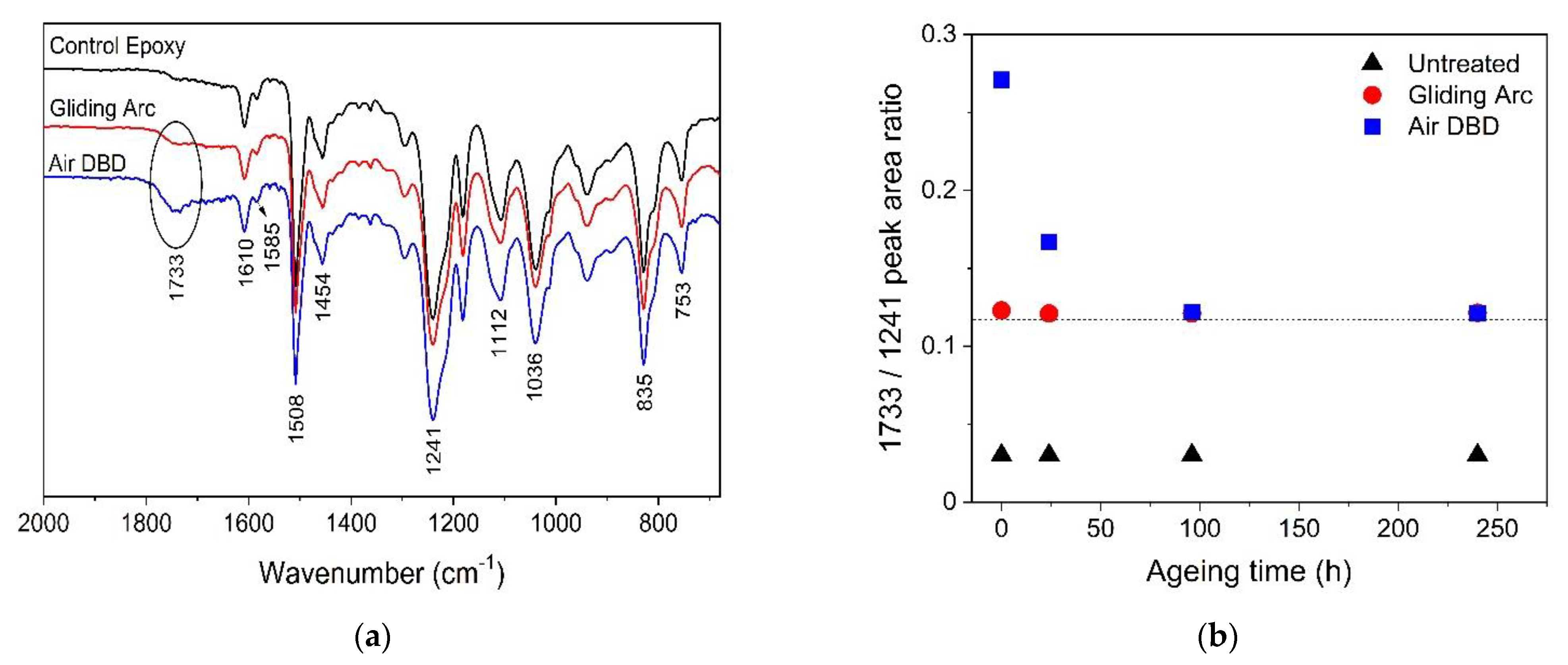
3.2.2. Surface Chemistry
3.2.3. Surface Morphology
4. Conclusions
Supplementary Materials
Author Contributions
Funding
Acknowledgments
Conflicts of Interest
References
- Jin, F.L.; Li, X.; Park, S.J. Synthesis and application of epoxy resins: A review. J. Ind. Eng. Chem. 2015, 29, 1–11. [Google Scholar] [CrossRef]
- Mohan, P. A Critical Review: The Modification, Properties, and Applications of Epoxy Resins. Polym.-Plast. Technol. Eng. 2013, 52, 107–125. [Google Scholar] [CrossRef]
- Gu, H.; Ma, C.; Gu, J.; Guo, J.; Yan, X.; Huang, J.; Zhang, Q.; Guo, Z. An overview of multifunctional epoxy nanocomposites. J. Mater. Chem. C 2016, 4, 5890–5906. [Google Scholar] [CrossRef]
- Pappas, D. Status and potential of atmospheric plasma processing of materials. J. Vac. Sci. Technol. A Vac. Surf. Film. 2011, 29, 020801. [Google Scholar] [CrossRef] [Green Version]
- Bárdos, L.; Baránková, H. Cold atmospheric plasma: Sources, processes, and applications. Thin Solid Films 2010, 518, 6705–6713. [Google Scholar] [CrossRef]
- Cvelbar, U.; Walsh, J.L.; Černák, M.; de Vries, H.W.; Reuter, S.; Belmonte, T.; Corbella, C.; Miron, C.; Hojnik, N.; Jurov, A.; et al. White paper on the future of plasma science and technology in plastics and textiles. Plasma Process. Polym. 2019, 16, 1700228. [Google Scholar] [CrossRef] [Green Version]
- Fanelli, F. Thin film deposition and surface modification with atmospheric pressure dielectric barrier discharges. Surf. Coat. Technol. 2010, 205, 1536–1543. [Google Scholar] [CrossRef]
- Dimitrakellis, P.; Gogolides, E.; Zeniou, A.; Awsiuk, K.; Rysz, J.; Marzec, M.M. Transition between stable hydrophilization and fast etching/hydrophilization of poly(methyl)methacrylate polymer using a novel atmospheric pressure dielectric barrier discharge source. J. Vac. Sci. Technol. A Vac. Surf. Film. 2017, 35, 041303. [Google Scholar] [CrossRef]
- Dimitrakellis, P.; Smyrnakis, A.; Constantoudis, V.; Tsoutsou, D.; Dimoulas, A.; Gogolides, E. Atmospheric pressure plasma directed assembly during photoresist removal: A new route to micro and nano pattern formation. Micro Nano Eng. 2019, 3, 15–21. [Google Scholar] [CrossRef]
- Dimitrakellis, P.; Patsidis, A.C.; Smyrnakis, A.; Psarras, G.C.; Gogolides, E. Atmospheric Plasma Nanotexturing of Organic-Inorganic Nanocomposite Coatings for Multifunctional Surface Fabrication. ACS Appl. Nano Mater. 2019, 2, 2969–2978. [Google Scholar] [CrossRef]
- Goldman, M.; Goldman, A.; Sigmond, R.S. The corona discharge, its properties and specific uses. Pure Appl. Chem. 1985, 57, 1353–1362. [Google Scholar] [CrossRef] [Green Version]
- Chang, J.S.; Lawless, P.A.; Yamamoto, T. Corona Discharge Processes. IEEE Trans. Plasma Sci. 1991, 19, 1152–1166. [Google Scholar] [CrossRef] [Green Version]
- Puač, N.; Maletić, D.; Lazović, S.; Malović, G.; Dordević, A.; Petrović, Z.L.J. Time resolved optical emission images of an atmospheric pressure plasma jet with transparent electrodes. Appl. Phys. Lett. 2012, 101, 1–5. [Google Scholar] [CrossRef]
- Lu, X.; Laroussi, M.; Puech, V. On atmospheric-pressure non-equilibrium plasma jets and plasma bullets. Plasma Sources Sci. Technol. 2012, 21, 034005. [Google Scholar] [CrossRef]
- Schoenbach, K.H.; Moselhy, M.; Shi, W.; Bentley, R. Microhollow cathode discharges. J. Vac. Sci. Technol. A Vac. Surf. Film. 2003, 21, 1260–1265. [Google Scholar] [CrossRef] [Green Version]
- Bárdoš, L.; Baránková, H. Radio frequency hollow cathode source for large area cold atmospheric plasma applications. Surf. Coat. Technol. 2000, 133–134, 522–527. [Google Scholar] [CrossRef]
- Brandenburg, R. Corrigendum: Dielectric barrier discharges: Progress on plasma sources and on the understanding of regimes and single filaments. Plasma Sources Sci. Technol. 2018, 26, 053001. [Google Scholar] [CrossRef]
- Wagner, H.E.; Brandenburg, R.; Kozlov, K.V.; Sonnenfeld, A.; Michel, P.; Behnke, J.F. The barrier discharge: Basic properties and applications to surface treatment. Vacuum 2003, 71, 417–436. [Google Scholar] [CrossRef] [Green Version]
- Dimitrakellis, P.; Zeniou, A.; Stratakos, Y.; Gogolides, E. Radio frequency atmospheric plasma source on a printed circuit board for large area, uniform processing of polymeric materials. Plasma Sources Sci. Technol. 2016, 25, 25015. [Google Scholar] [CrossRef]
- Zeniou, A.; Puač, N.; Škoro, N.; Selaković, N.; Dimitrakellis, P.; Gogolides, E.; Petrović, Z.L. Electrical and optical characterization of an atmospheric pressure, uniform, large-area processing, dielectric barrier discharge. J. Phys. D Appl. Phys. 2017, 50, 135204. [Google Scholar] [CrossRef]
- Fridman, A.; Chirokov, A.; Gutsol, A. Non-thermal atmospheric pressure discharges. J. Phys. D Appl. Phys. 2005, 38, R1. [Google Scholar] [CrossRef]
- Czernichowski, A. Gliding arc. Applications to engineering and environment control. Pure Appl. Chem. 1994, 66, 1301–1310. [Google Scholar] [CrossRef]
- Kostov, K.G.; Hamia, Y.A.A.; Mota, R.P.; Dos Santos, A.L.R.; Nascente, P.A.P. Treatment of polycarbonate by dielectric barrier discharge (DBD) at atmospheric pressure. J. Phys. Conf. Ser. 2014, 511, 012075. [Google Scholar] [CrossRef] [Green Version]
- Borcia, G.; Anderson, C.A.; Brown, N.M.D. Dielectric barrier discharge for surface treatment: Application to selected polymers in film and fibre form. Plasma Sources Sci. Technol. 2003, 12, 335–344. [Google Scholar] [CrossRef]
- Dimitrakellis, P.; Gogolides, E. Atmospheric plasma etching of polymers: A palette of applications in cleaning/ashing, pattern formation, nanotexturing and superhydrophobic surface fabrication. Microelectron. Eng. 2018, 194, 109–115. [Google Scholar] [CrossRef]
- Shao, T.; Zhang, C.; Long, K.; Zhang, D.; Wang, J.; Yan, P.; Zhou, Y. Surface modification of polyimide films using unipolar nanosecond-pulse DBD in atmospheric air. Appl. Surf. Sci. 2010, 256, 3888–3894. [Google Scholar] [CrossRef]
- Fang, Z.; Liu, Y.; Liu, K.; Shao, T.; Zhang, C. Surface modifications of polymethylmetacrylate films using atmospheric pressure air dielectric barrier discharge plasma. Vacuum 2012, 86, 1305–1312. [Google Scholar] [CrossRef]
- Fang, Z.; Ding, Z.; Shao, T.; Zhang, C. Hydrophobic surface modification of epoxy resin using an atmospheric pressure plasma jet array. IEEE Trans. Dielectr. Electr. Insul. 2016, 23, 2288–2293. [Google Scholar] [CrossRef]
- Chen, S.; Wang, S.; Wang, Y.; Guo, B.; Li, G.; Chang, Z.; Zhang, G.J. Surface modification of epoxy resin using He/CF 4 atmospheric pressure plasma jet for flashover withstanding characteristics improvement in vacuum. Appl. Surf. Sci. 2017, 414, 107–113. [Google Scholar] [CrossRef]
- Li, H.; Liang, H.; He, F.; Huang, Y.; Wan, Y. Air dielectric barrier discharges plasma surface treatment of three-dimensional braided carbon fiber reinforced epoxy composites. Surf. Coat. Technol. 2009, 203, 1317–1321. [Google Scholar] [CrossRef]
- Coulon, J.F.; Tournerie, N.; Maillard, H. Adhesion enhancement of Al coatings on carbon/epoxy composite surfaces by atmospheric plasma. Appl. Surf. Sci. 2013, 283, 843–850. [Google Scholar] [CrossRef]
- Encinas, N.; Lavat-Gil, M.; Dillingham, R.G.; Abenojar, J.; Martínez, M.A. Cold plasma effect on short glass fibre reinforced composites adhesion properties. Int. J. Adhes. Adhes. 2014, 48, 85–91. [Google Scholar] [CrossRef]
- Sangprasert, W.; Nimmanpipug, P.; Yavirach, P.; Lee, V.S.; Boonyawan, D. Epoxy resin surface functionalization using atmospheric pressure plasma jet treatment. Jpn. J. Appl. Phys. 2012, 51, 01AJ04. [Google Scholar] [CrossRef]
- Shao, T.; Liu, F.; Hai, B.; Ma, Y.; Wang, R.; Ren, C. Surface modification of epoxy using an atmospheric pressure dielectric barrier discharge to accelerate surface charge dissipation. IEEE Trans. Dielectr. Electr. Insul. 2017, 24, 1557–1565. [Google Scholar] [CrossRef]
- Faubert, F.; Wartel, M.; Pellerin, N.; Pellerin, S.; Cochet, V.; Regnier, E.; Hnatiuc, B. Treatment by gliding arc of epoxy resin: Preliminary analysis of surface modifications. In Advanced Topics in Optoelectronics, Microelectronics, and Nanotechnologies VIII; International Society for Optics and Photonics: Bellingham, WA, USA, 2016; Volume 10010, p. 100103G. [Google Scholar]
- Laux, C.O. Radiation and Nonequilibrium Collisional-Radiative Models; Von Karman Institute Lecture Series 2002-07, Physico-Chemical Modeling of High Enthalpy and Plasma Flows; Fletcher, D., Charbonnier, J.-M., Sarma, G.S.R., Magin, T., Eds.; Von Karman Institute for Fluid Dynamics: Rhode-Saint-Genèse, Belgium, 2002. [Google Scholar]
- Bourcier, S. Tables Internationales de Constantes Sélectionnées: Données Spectroscopiques Relatives aux Molécules Diatomiques; Pergamon Press: Oxford, NY, USA, 1970. [Google Scholar]
- Harrison, G.R. M.I.T Wavelength Tables; Technology, M.I., Ed.; The M.I.T Press: Cambridge, MA, USA, 1969. [Google Scholar]
- Pearse, R.W.B.; Gaydon, A.G. The Identification of Molecular Spectra, 3rd ed.; Chapman & Hall: London, UK, 1965. [Google Scholar]
- NIST Atomic Spectra Database. Available online: https://nist.gov/pml/atomic-spectra-database (accessed on 10 November 2021).
- Pellerin, S.; Cormier, J.M.; Richard, F.; Musiol, K.; Chapelle, J.P. A spectroscopic diagnostic method using UV OH band spectrum. J. Phys. D Appl. Phys. 1996, 29, 726–739. [Google Scholar] [CrossRef]
- de Izarra, C. UV OH spectrum used as a molecular Pyrometer. J. Phys. D Appl. Phys. 2000, 33, 1697–1704. [Google Scholar] [CrossRef]
- Czernichowski, A.; Nassar, N.; Ranaivosoloarimanana, A.; Fridman, A.A.; Simek, M.; Musiol, K.; Pawelec, E.; Dittrichova, L. Spectral and electrical diagnostics of gliding arc. Acta Phys. Pol. A 1996, 89, 595–603. [Google Scholar] [CrossRef]
- Bruggeman, P.; Sadeghi, N.; Schram, D.C.; Linss, V. Gas temperature determination from rotational lines in non-equilibrium plasmas: A review. Plasma Sources Sci. Technol. 2014, 23, 023001. [Google Scholar] [CrossRef] [Green Version]
- Zhu, J.; Ehn, A.; Gao, J.; Kong, C.; Aldén, M.; Salewski, M.; Leipold, F.; Kusano, Y.; Li, Z. Translational, rotational, vibrational and electron temperatures of a gliding arc discharge. Opt. Express 2017, 25, 20243–20257. [Google Scholar] [CrossRef] [Green Version]
- Nikolic, G.; Zlatkovic, S.; Cakic, M.; Cakic, S.; Lacnjevac, C.; Rajic, Z. Fast fourier transform IR characterization of epoxy GY systems crosslinked with aliphatic and cycloaliphatic EH polyamine adducts. Sensors 2010, 10, 684. [Google Scholar] [CrossRef]
- Saba, N.; Jawaid, M.; Alothman, O.Y.; Paridah, M.; Hassan, A. Recent advances in epoxy resin, natural fiber-reinforced epoxy composites and their applications. J. Reinf. Plast. Compos. 2015, 35, 447–470. [Google Scholar] [CrossRef]







| Tvib (K) Optical Emission | Trot (K) Optical Emission | Tgas (K) FOTEMP-FTH | Tsurf (K) IR Thermography | |
|---|---|---|---|---|
| DBD | 3064 ± 294 | 598 ± 105 | 310 ± 1.5 | N/A |
| Gliding Arc | 5493 ± 2000 | 3963 ± 570 | 328.2 ± 1.5 | 326.2 ± 2 |
| 1610/1241 | 1733/1241 | 1733/1610 | |
|---|---|---|---|
| Control epoxy | 0.077 | 0.045 | 0.59 |
| Gliding Arc | 0.075 | 0.121 | 1.51 |
| Air DBD | 0.078 | 0.271 | 3.49 |
Publisher’s Note: MDPI stays neutral with regard to jurisdictional claims in published maps and institutional affiliations. |
© 2022 by the authors. Licensee MDPI, Basel, Switzerland. This article is an open access article distributed under the terms and conditions of the Creative Commons Attribution (CC BY) license (https://creativecommons.org/licenses/by/4.0/).
Share and Cite
Dimitrakellis, P.; Faubert, F.; Wartel, M.; Gogolides, E.; Pellerin, S. Plasma Surface Modification of Epoxy Polymer in Air DBD and Gliding Arc. Processes 2022, 10, 104. https://doi.org/10.3390/pr10010104
Dimitrakellis P, Faubert F, Wartel M, Gogolides E, Pellerin S. Plasma Surface Modification of Epoxy Polymer in Air DBD and Gliding Arc. Processes. 2022; 10(1):104. https://doi.org/10.3390/pr10010104
Chicago/Turabian StyleDimitrakellis, Panagiotis, François Faubert, Maxime Wartel, Evangelos Gogolides, and Stéphane Pellerin. 2022. "Plasma Surface Modification of Epoxy Polymer in Air DBD and Gliding Arc" Processes 10, no. 1: 104. https://doi.org/10.3390/pr10010104
APA StyleDimitrakellis, P., Faubert, F., Wartel, M., Gogolides, E., & Pellerin, S. (2022). Plasma Surface Modification of Epoxy Polymer in Air DBD and Gliding Arc. Processes, 10(1), 104. https://doi.org/10.3390/pr10010104

