Risk Premiums, Market Volatility, and Exchange Rate Dynamics: Evidence from the Yen Carry Trade
Abstract
1. Introduction
2. Yen Depreciation and Carry Trade Opportunities
3. Literature Review
4. Theoretical Framework
4.1. The Uncovered Interest Rate Parity Theory
4.2. Risk Premium
4.3. Portfolio Balance Model: Connecting Interest Rates, Risks, and Liquidity
- A rise in the risk premium requested on foreign currency-denominated equity would induce a portfolio re-allocation to the domestic currency-denominated assets, leading to an appreciation of the domestic currency.
- In the short run, a foreign interest rate hike would be associated with a higher risk premium, which may just as well induce an appreciation of the domestic currency instead of the expected depreciation from the UIRP condition.
- Higher liquidity on foreign assets needs to be offset by a higher expected return on domestic assets. According to the portfolio re-allocation mechanism, the domestic currency could appreciate if demand is driven by liquidity concerns or depreciate if driven by return-seeking.
4.4. The Uncovered Equity Parity Theory
4.5. The Forward Bias Puzzle and Currency Demand: A Microstructural Perspective
5. Data and Empirical Methodology
5.1. Data
5.2. VAR Modeling: Endogeneity and Complex Time-Series Dynamics
5.3. Theoretical Interlinkages: Baseline for Cholesky Decomposition
6. Results
6.1. VAR Estimations and the Granger Causality Test
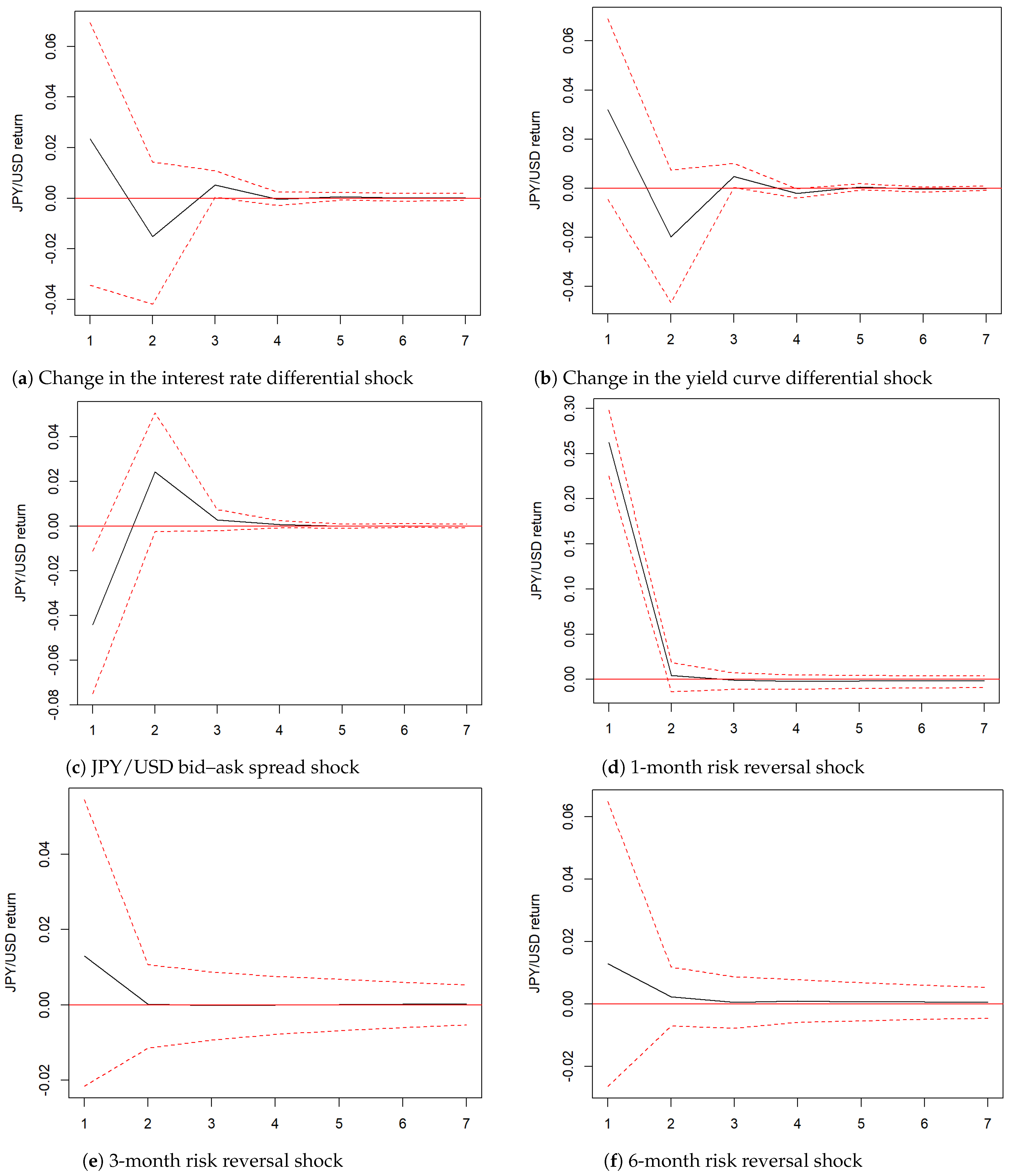
6.2. Impulse Response Function Results
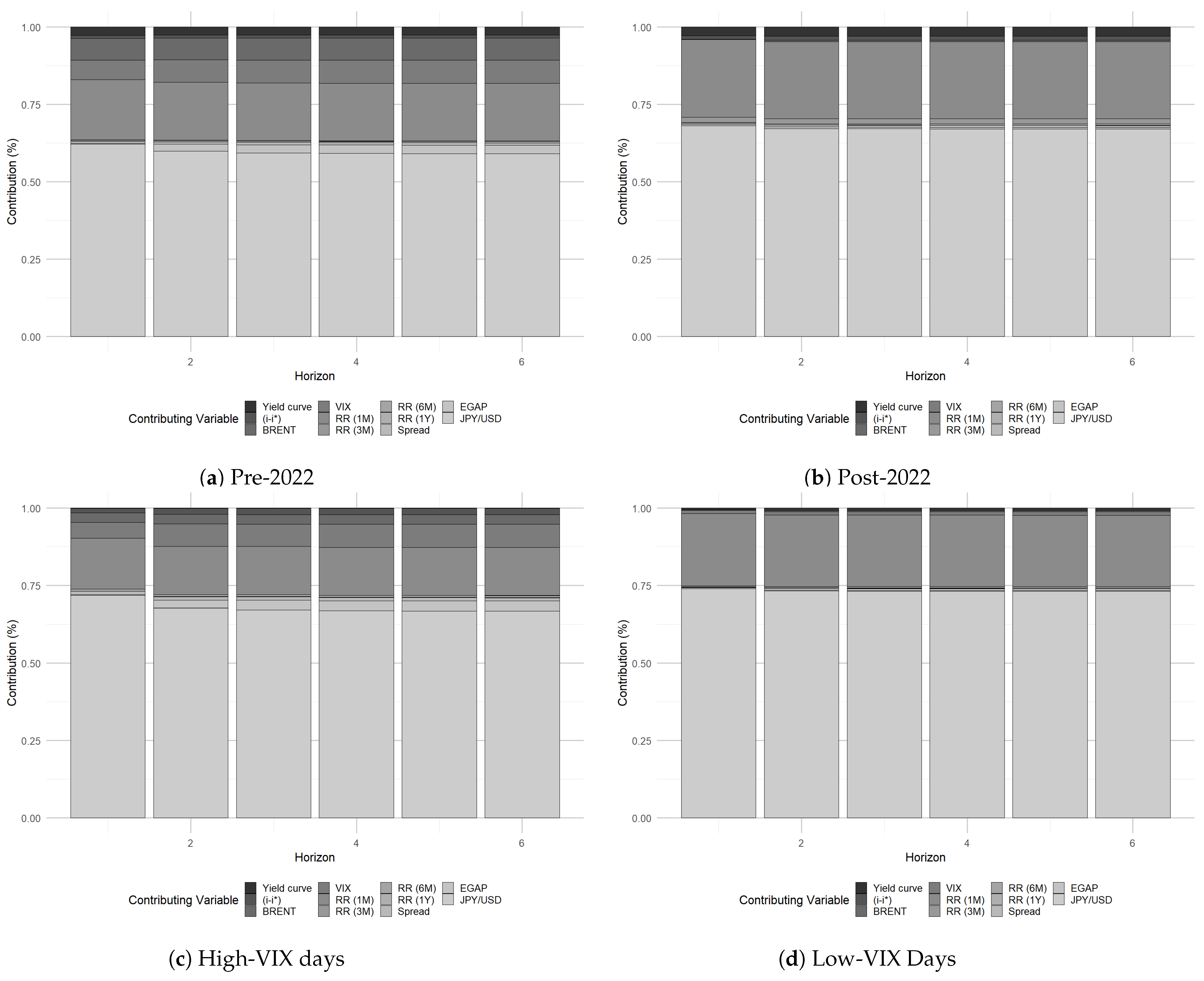
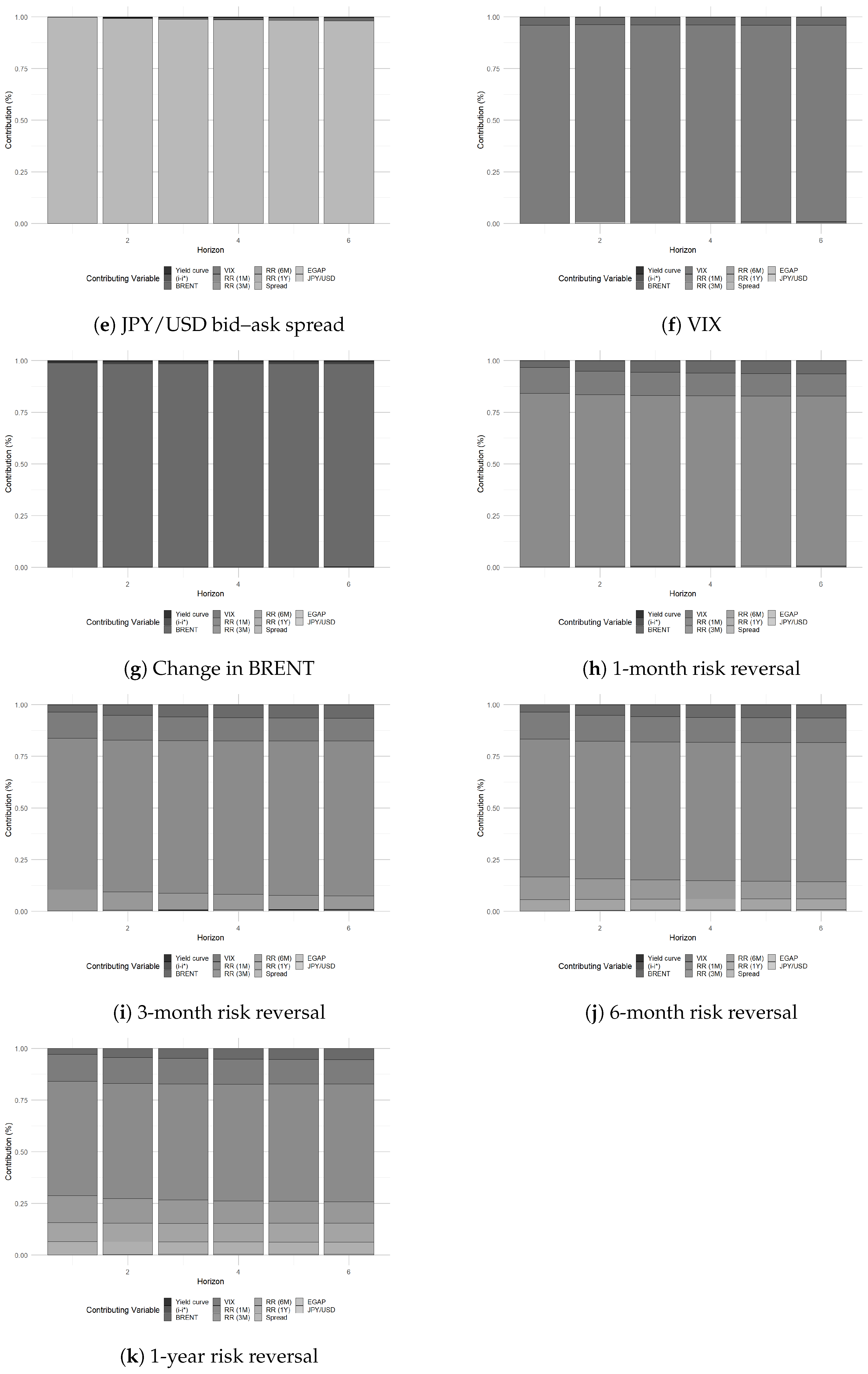
6.3. Forecast Error Variance Decomposition
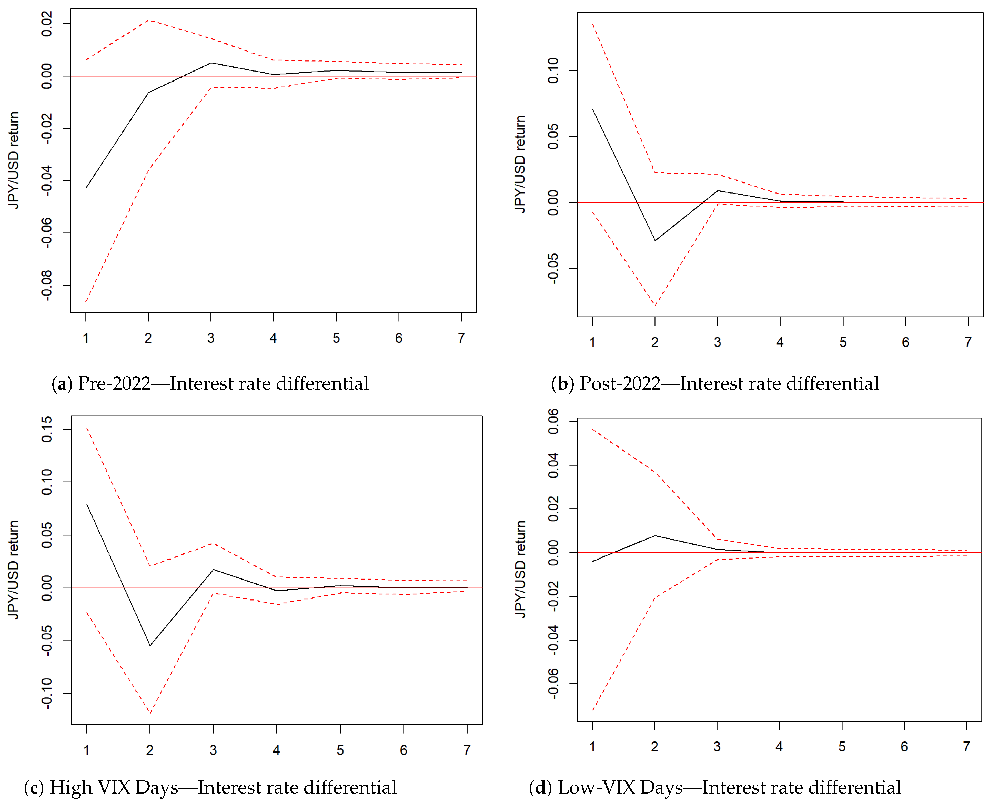
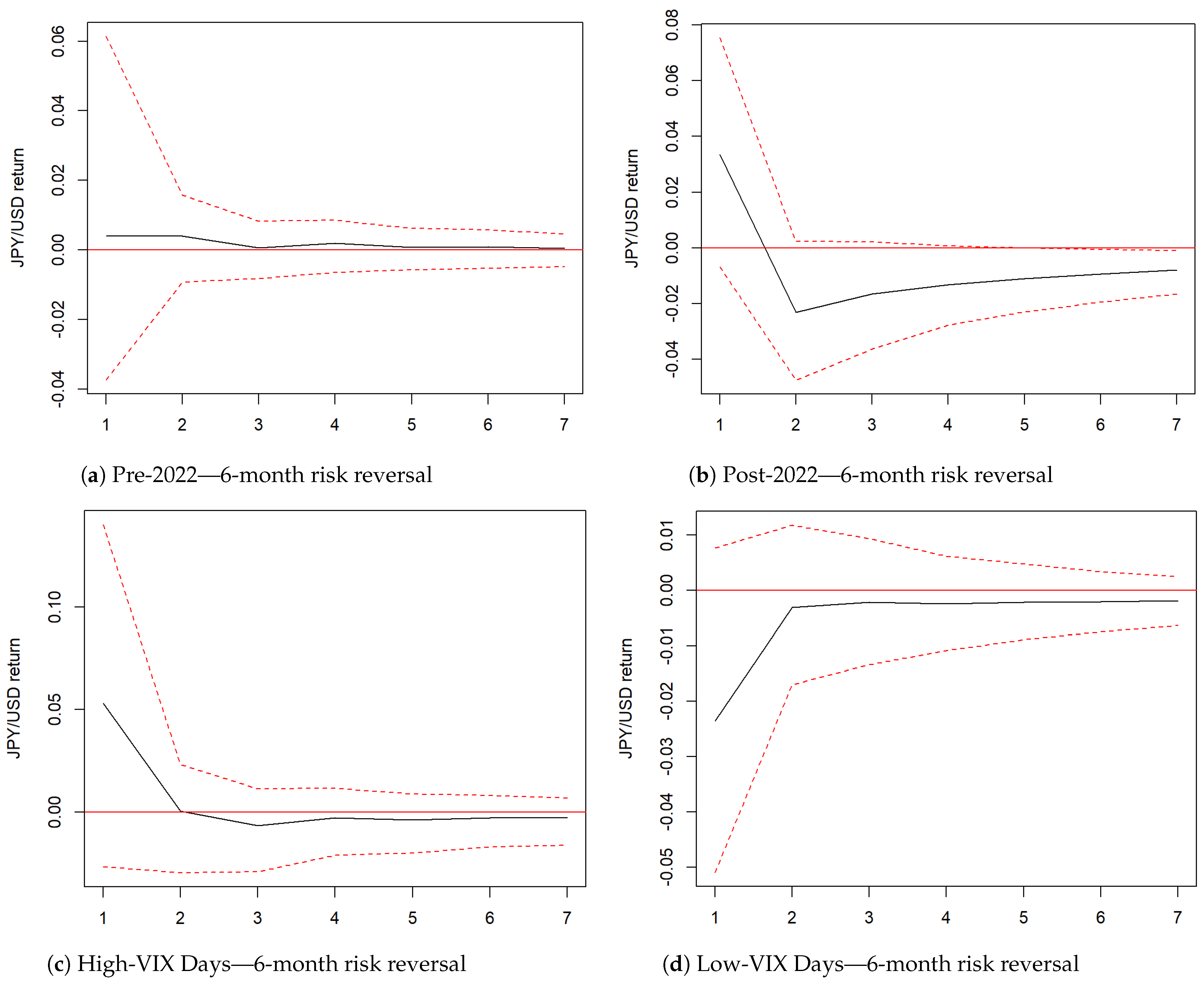
6.4. Robustness Check: Stability of the Model Across Subsamples
6.5. Robustness Check: Alternatives to the Cholesky Decomposition
6.6. Summary of the Findings and Discussion
7. Conclusions
Author Contributions
Funding
Data Availability Statement
Acknowledgments
Conflicts of Interest
| 1 | Masujima and Sato (2024) note that rather than the magnitude of the interest rate differentials, employing variations of the differentials is relevant to daily exchange rate returns due to frequent portfolio re-allocation arising from higher-frequency trading instruments availability to investors. |
| 2 | As we consider JPY/USD exchange rate, the domestic currency is the Japanese Yen and the domestic interest rate is Japan’s interest rate, the expected sign of the coefficient is reversed from what is common in UIRP specifications. |
| 3 | This study employs a reduced-form VAR to account for endogeneity among financial risks, the stock market, and the FX market, allowing for the investigation of dynamical correlations and testing of theoretical predictions. However, while empirical conclusions support the expected negative correlation proposed by UEP theory, the inherent data-driven nature of the reduced-form VAR limits its capacity to explicitly identify and distinguish the specific structural mechanisms underlying these relationships, suggesting a need for further theoretical refinements and empirical tests using structural models. |
| 4 | The Bloomberg tickers for the JPY/USD risk reversals are given by “USDJPY25R1M” for the one-month tenor, “USDJPY25R3M” for the three-month tenor, “USDJPY25R6M” for the six-month tenor, and “USDJPY25R1Y” for the one-year tenor. The number of days until expiration are 28, 91, 182, and 365 days respectively on the tenor. |
| 5 | A call (put) option gives a trader the right to buy (sell) the underlying asset, at a predetermined price (known as the “strike price”) within a specific time period (or “expiration”). “Out-of-the-money” (OTM) refers to an option that currently has no intrinsic value because the underlying asset’s market price is not favorable for immediate exercise. Specific occasions are when the strike price exceeds the current market price for call options, and the current market price beats the strike price for put options. |
| 6 | Traditional empirical investigations of the UIRP theory consist of estimating Equation (2) through a linear regression such as OLS and other variants, testing for . Flood and Rose (1996) estimate Fama’s as 0.70 for the 1979–1994 European Monetary System; Coleman (2012) finds the around 0.50 during the classical gold standard; Froot and Thaler (1990) report that the average value for the in scores of estimates is −0.88, referred to multiple studies; Chinn and Meredith (2004) also find that regressions using short-horizon data yield negative , for advanced economies except Italy. |
| 7 | We employ a log difference transformation on the change of the interest rate differential and the Brent index to obtain stationary data. |
| 8 | The IRFs for FX liquidity shocks, as well as one-month and one-year risk reversal shocks, and Brent oil price shocks are not reported due to their similarity to the baseline results. Although the scale and timing of the exchange rate responses may exhibit minor variations, these do not constitute significant departures from the baseline empirical conclusions. |
| 9 | The one exception among the risk proxies is the 6-month risk reversal impulse response function, which shows a negative exchange rate response (i.e., currency appreciation). This result is consistent across all alternative specifications and with those from low financial stress days in Figure 5, strengthening the argument that longer-horizon risk reversals induce currency premiums. |
References
- Bacchetta, Philippe, and Eric van Wincoop. 2010. Infrequent portfolio decisions: A solution to the forward discount puzzle. American Economic Review 100: 870–904. [Google Scholar] [CrossRef]
- Black, Stanley W. 2015. The portfolio theory of exchange rates—Then and now. Review of International Economics 23: 379–86. [Google Scholar] [CrossRef]
- Bollerslev, Tim, and Michael Melvin. 1994. Bid—Ask spreads and volatility in the foreign exchange market: An empirical analysis. Journal of International Economics 36: 355–72. [Google Scholar] [CrossRef]
- Brunnermeier, Markus K., Stefan Nagel, and Lasse H. Pedersen. 2009. Carry trades and currency crashes. NBER Macroeconomics Annual 23: 313–47. [Google Scholar] [CrossRef]
- Chen, Shu-Hsiu. 2017. Carry trade strategies based on option-implied information: Evidence from a cross-section of funding currencies. Journal of International Money and Finance 78: 1–20. [Google Scholar] [CrossRef]
- Chinn, Menzie D., and Guy Meredith. 2004. Monetary policy and long-horizon uncovered interest parity. IMF Staff Papers 51: 409–30. [Google Scholar] [CrossRef]
- Coleman, Andrew. 2012. Uncovering uncovered interest parity during the classical gold standard era, 1888–1905. The North American Journal of Economics and Finance 23: 20–37. [Google Scholar] [CrossRef]
- Coudert, Virginie, Cyriac Guillaumin, and Hélène Raymond. 2014. Looking at the Other Side of Carry Trades: Are There Any Safe Haven Currencies? Working Paper Economix. Available online: https://hal.science/hal-04141355/ (accessed on 1 November 2025).
- Ding, Liang, and Jun Ma. 2013. Portfolio reallocation and exchange rate dynamics. Journal of Banking & Finance 37: 3100–24. [Google Scholar] [CrossRef][Green Version]
- Eichenbaum, Martin, and Charles L. Evans. 1995. Some empirical evidence on the effects of shocks to monetary policy on exchange rates. The Quarterly Journal of Economics 110: 975–1009. [Google Scholar] [CrossRef]
- Engel, Charles. 2016. Exchange rates, interest rates, and the risk premium. American Economic Review 106: 436–74. [Google Scholar] [CrossRef]
- Evans, Martin D. D., and Richard K. Lyons. 2002. Order flow and exchange rate dynamics. Journal of Political Economy 110: 170–80. [Google Scholar] [CrossRef]
- Fama, Eugene F. 1984. Forward and Spot Exchange Rates. Journal of Monetary Economics 14: 319–38. [Google Scholar] [CrossRef]
- Fang, Siran, Yunjie Wei, and Shouyang Wang. 2024. 30 years of exchange rate analysis and forecasting: A bibliometric review. Journal of Economic Surveys 38: 973–1007. [Google Scholar] [CrossRef]
- Fang, Yi, Zhiquan Shao, and Yang Zhao. 2023. Risk spillovers in global financial markets: Evidence from the COVID-19 crisis. International Review of Economics & Finance 83: 821–40. [Google Scholar] [CrossRef]
- Flood, Robert P., and Andrew K. Rose. 1996. Fixes: Of the Forward Discount Puzzle. The Review of Economics and Statistics 78: 748–52. [Google Scholar] [CrossRef]
- Froot, Kenneth A., and Richard H. Thaler. 1990. Anomalies: Foreign exchange. Journal of Economic Perspectives 4: 179–92. [Google Scholar] [CrossRef]
- Fujiwara, Shigeru. 2013. Recent Strengthening of the Correlation Between Stock Prices and Exchange Rates. Bank of Japan Review, 2013-J-8. Available online: https://www.boj.or.jp/research/wps_rev/rev_2013/rev13j08.htm (accessed on 1 November 2025).
- Gagnon, Joseph, and Alain Chaboud. 2007. What can the data tell us about carry trades in Japanese yen? FRB International Finance Discussion Paper 899. [Google Scholar] [CrossRef]
- Gourinchas, Pierre-Olivier, and Aaron Tornell. 2004. Exchange rate puzzles and distorted beliefs. Journal of International Economics 64: 303–33. [Google Scholar] [CrossRef]
- Habib, Maurizio M., and Livio Stracca. 2012. Getting beyond carry trade: What makes a safe haven currency? Journal of International Economics 87: 50–64. [Google Scholar] [CrossRef]
- Hau, Harald, and Helene Rey. 2006. Exchange rates, equity prices, and capital flows. Review of Financial Studies 19: 273–317. [Google Scholar] [CrossRef]
- Hossfeld, Oliver, and Ronald MacDonald. 2015. Carry funding and safe haven currencies: A threshold regression approach. Journal of International Money and Finance 59: 185–202. [Google Scholar] [CrossRef]
- Ilut, Cosmin L., and Martin Schneider. 2014. Ambiguous business cycles. American Economic Review 104: 2368–99. [Google Scholar] [CrossRef]
- Islami, Mevlud, and Paul J. J. Welfens. 2013. Financial market integration, stock markets and exchange rate dynamics in Eastern Europe. International Economics and Economic Policy 10: 47–79. [Google Scholar] [CrossRef]
- Ismailov, Adilzhan, and Barbara Rossi. 2018. Uncertainty and deviations from uncovered interest rate parity. Journal of International Money and Finance 88: 242–59. [Google Scholar] [CrossRef]
- Jiang, Zhengyang, Arvind Krishnamurthy, and Hanno Lustig. 2021. Foreign safe asset demand and the dollar exchange rate. The Journal of Finance 76: 1049–89. [Google Scholar] [CrossRef]
- Kim, Heeho. 2011. The risk adjusted uncovered equity parity. Journal of International Money and Finance 30: 1491–505. [Google Scholar] [CrossRef]
- Kunkler, Michael, and Ronald MacDonald. 2018. Decomposition of the uncovered equity parity correlation. Journal of International Financial Markets, Institutions and Money 57: 44–58. [Google Scholar] [CrossRef]
- Lee, Kang-Soek. 2017. Safe-haven currency: An empirical identification. Review of International Economics 25: 924–47. [Google Scholar] [CrossRef]
- Lyons, Richard K. 2001. The Microstructure Approach to Exchange Rates. Cambridge, MA: The MIT Press. [Google Scholar] [CrossRef]
- Masujima, Yuki, and Yuki Sato. 2024. Drivers of Post-Pandemic Currency Movement: Recurring Impacts of Sovereign Risks and Oil Prices. Discussion papers 24054. Tokyo: Research Institute of Economy, Trade and Industry (RIETI). [Google Scholar]
- McCallum, Bennett T. 1994. A reconsideration of the uncovered interest parity relationship. Journal of Monetary Economics 33: 105–32. [Google Scholar] [CrossRef]
- Melvin, Michael, and John Prins. 2015. Equity hedging and exchange rates at the London 4 pm fix. Journal of Financial Markets 22: 50–72. [Google Scholar] [CrossRef]
- Menkhoff, Lukas, Lucio Sarno, Maik Schmeling, and Andreas Schrimpf. 2012. Carry trades and global foreign exchange volatility. The Journal of Finance 67: 681–718. [Google Scholar] [CrossRef]
- Miller, Norman C. 2014. Exchange rate economics: The uncovered interest parity puzzle and other anomalies. In Exchange Rate Economics. Surrey: Edward Elgar Publishing. [Google Scholar]
- Nucera, Federico, Lucio Sarno, and Gabriele Zinna. 2024. Currency risk premiums redux. The Review of Financial Studies 37: 356–408. [Google Scholar] [CrossRef]
- Rossi, Barbara. 2013. Exchange rate predictability. Journal of Economic Literature 51: 1063–119. [Google Scholar] [CrossRef]
- Takechi, Hiroshi, Asako Iguchi, and Hisa Narisawa. 2024. Tokyo Stocks’ Day of Record-Breaking Losses Begs Question: What Happened? The Mainichi Newspaper. Available online: https://mainichi.jp/english/articles/20240806/p2a/00m/0bu/017000c (accessed on 1 November 2025).
- Taylor, Mark P. 1995. The economics of exchange rates. Journal of Economic literature 33: 13–47. Available online: http://www.jstor.org/stable/2728909 (accessed on 1 November 2025).
- Villanueva, O. Miguel. 2005. FX dynamics, limited participation, and the forward bias anomaly. Financial Review 40: 67–93. [Google Scholar] [CrossRef]












| Statistic | Unit | N | Mean | St. Dev. | Min | Max |
|---|---|---|---|---|---|---|
| Exchange Rate | ||||||
| JPY/USD level | NY last price | 1640 | 122.94 | 17.74 | 102.37 | 161.70 |
| JPY/USD | Logarithm | 1640 | 4.80 | 0.14 | 4.63 | 5.09 |
| 100×Log differential | 1640 | 0.02 | 0.56 | −3.86 | 3.17 | |
| Interest Rate Differential | ||||||
| Call Rate | 1640 | −0.07 | 0.09 | −0.10 | 0.25 | |
| Fed Fund Rate (FF rate) | 1640 | 2.34 | 1.99 | 0.04 | 5.33 | |
| 1640 | −2.41 | 1.95 | −5.43 | -0.14 | ||
| 1640 | 0.00 | 0.06 | −0.75 | 0.85 | ||
| 1640 | 0.30 | 0.19 | 0.02 | 0.80 | ||
| 1640 | 0.20 | 0.58 | −1.08 | 1.59 | ||
| 1640 | 0.10 | 0.72 | −1.37 | 1.64 | ||
| 1640 | 0.00 | 0.04 | −0.51 | 0.22 | ||
| Risk Variables | ||||||
| BRENT | 1640 | 73.05 | 17.78 | 19.33 | 127.98 | |
| 1640 | 0.00 | 1.80 | −16.84 | 8.62 | ||
| VIX | 1640 | 19.87 | 7.72 | 9.22 | 82.69 | |
| Risk Reversal 1 Month | 1640 | −1.05 | 0.82 | −9.32 | 0.53 | |
| Risk Reversal 3 Months | 1640 | −1.22 | 0.79 | −8.78 | 0.51 | |
| Risk Reversal 6 Months | 1640 | −1.27 | 0.79 | −7.84 | 0.50 | |
| Risk Reversal 1 Year | 1640 | −1.28 | 0.85 | −6.75 | 0.66 | |
| Liquidity Variables | ||||||
| 1640 | 0.05 | 0.05 | 0.00 | 0.45 | ||
| Equity Markets and Relative Equity Performance | ||||||
| S&P 500 | NY last price | 1640 | 3857.46 | 918.64 | 2237.40 | 6090.27 |
| TOPIX Index | NY last price | 1640 | 1954.08 | 372.42 | 1236.34 | 2929.17 |
| Logarithm | 1640 | 3.57 | 0.10 | 3.35 | 3.78 | |
| (Return) | Log differential | 1640 | 0.00 | 0.01 | −0.06 | 0.04 |
| Logarithm | 1640 | 3.28 | 0.08 | 3.09 | 3.47 | |
| (Return) | Log differential | 1640 | 0.00 | 0.01 | −0.06 | 0.04 |
| (Return differential) | 1640 | 0.00 | 0.01 | −0.05 | 0.06 | |
| Model | Variables (from Exogenous to Endogenous) | Lag Order (According to SC) |
|---|---|---|
| UIRP | 1 | |
| IRD and Risk | 2 | |
| EXR and Risk | 2 | |
| IRD and Liquidity | 6 | |
| EXR and Liquidity | 5 | |
| Risk and Liquidity | 2 | |
| IRD and EGAP | 1 | |
| EXR and EGAP | 1 | |
| UEP and Risk | 2 | |
| UEP and Liquidity | 5 | |
| Model with all variables | 1 |
| Null Hypothesis | F-Statistic | p-Value | Interpretation |
|---|---|---|---|
| Model 1: Uncovered Interest Rate Parity | |||
| does not Granger-cause | 0.723 | 0.395 | Accept |
| does not Granger-cause | 9.417 | 0.002 | Reject |
| Model 2: The Risk Premium | |||
| does not Granger-cause | 4.938 | 0.000 | Reject |
| does not Granger-cause | 0.905 | 0.490 | Accept |
| does not Granger-cause | 5.866 | 0.000 | Reject |
| does not Granger-cause | 3.208 | 0.004 | Reject |
| Model 3: The Liquidity Premium | |||
| does not Granger-cause | 2.046 | 0.069 | Accept |
| does not Granger-cause | 1.679 | 0.136 | Accept |
| does not Granger-cause | 2.652 | 0.014 | Reject |
| does not Granger-cause | 1.161 | 0.324 | Accept |
| Model 4: Risk and Liquidity Trade-off | |||
| does not Granger-cause | 0.512 | 0.8 | Accept |
| does not Granger-cause | 2.232 | 0.037 | Reject |
| Model 5: Uncovered Equity Parity | |||
| does not Granger-cause | 18.65 | 0.000 | Reject |
| does not Granger-cause | 90.474 | 0.000 | Reject |
| does not Granger-cause | 9.777 | 0.002 | Reject |
| does not Granger-cause | 0.681 | 0.409 | Accept |
| Model 6: UEP, Risk and Liquidity | |||
| does not Granger-cause | 1.934 | 0.071 | Accept |
| does not Granger-cause | 17.604 | 0.000 | Reject |
| does not Granger-cause | 1.857 | 0.099 | Accept |
| does not Granger-cause | 0.849 | 0.515 | Accept |
Disclaimer/Publisher’s Note: The statements, opinions and data contained in all publications are solely those of the individual author(s) and contributor(s) and not of MDPI and/or the editor(s). MDPI and/or the editor(s) disclaim responsibility for any injury to people or property resulting from any ideas, methods, instructions or products referred to in the content. |
© 2026 by the authors. Licensee MDPI, Basel, Switzerland. This article is an open access article distributed under the terms and conditions of the Creative Commons Attribution (CC BY) license.
Share and Cite
Guyot, O.; Montgomery, H.A.; Yang, P. Risk Premiums, Market Volatility, and Exchange Rate Dynamics: Evidence from the Yen Carry Trade. Risks 2026, 14, 46. https://doi.org/10.3390/risks14030046
Guyot O, Montgomery HA, Yang P. Risk Premiums, Market Volatility, and Exchange Rate Dynamics: Evidence from the Yen Carry Trade. Risks. 2026; 14(3):46. https://doi.org/10.3390/risks14030046
Chicago/Turabian StyleGuyot, Opale, Heather A. Montgomery, and Peiqing Yang. 2026. "Risk Premiums, Market Volatility, and Exchange Rate Dynamics: Evidence from the Yen Carry Trade" Risks 14, no. 3: 46. https://doi.org/10.3390/risks14030046
APA StyleGuyot, O., Montgomery, H. A., & Yang, P. (2026). Risk Premiums, Market Volatility, and Exchange Rate Dynamics: Evidence from the Yen Carry Trade. Risks, 14(3), 46. https://doi.org/10.3390/risks14030046

