Structural Changes in Persistence of Mortality
Abstract
1. Introduction
2. Model Formulation
Check for Change in Persistence on Detrended Mortality Data
- is a process satisfying that is i.i.d. white noise. may be a constant over the sample or experience a structural change at changing from to , which can be tested by the MR test.3
- For each fixed age x, is a piecewise linear function of t which describes the trend and trend dynamics of We assume that there are (with K predetermined) structural changes in the trend. In other word, b is the number of structural changes in (linear) trend of for age x and K is the possible biggest value for b, where b may differ among ages but K is uniformly chosen for all ages considered. If , we denote the breakpoints as in ascending order. So are step functions of t defined asrepresenting the corresponding intercept and slope of the linear trend in the segment.
3. Main Results
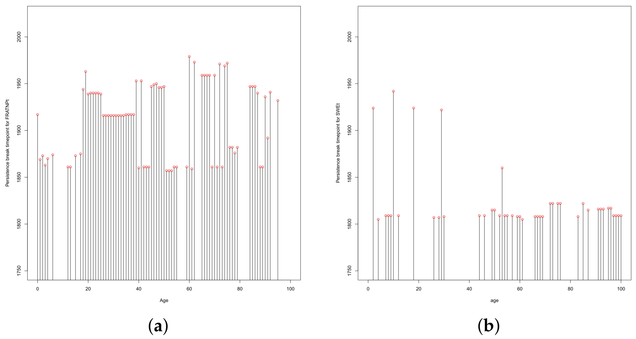
3.1. Captured Structural Change in Persistence for Adequately Detrended Mortality Data
3.2. Structural Change in Persistence vs. Structural Changes in Linear Trend
3.3. Accuracy of Persistence Estimation by Testing on Simulated Data
- Our model, denoted as M, described in the Section Check for Change in Persistence on Detrended Mortality Data;
- Control model 1, denoted as M1: it has the same detrending process as M but doesn’t consider structural change in persistence, instead it provides the single persistence for the whole period by applying the Gaussian Semiparametric local Whittle estimator to the adequately detrended time series;
- Control model 2, denoted as M2: it detrends ln(mxt) by removing the simple linear trend without considering structural changes in trend, and then provides the single persistence for the whole period by applying the Gaussian Semiparametric local Whittle estimator to the detrended time series.
- For M:
- –
- the percentage of time series with an observed change in persistence among the 1000 time series, denoted as ;
- –
- for those time series with an observed change in persistence, where denotes the estimated for a single time series and denotes the mean of all fitted s;6
- –
- for those time series with an observed change in persistence, where denotes the estimated for a single time series and denotes the mean of all fitted s.
- For M1:
- –
- and if a break in persistence is assumed, where denotes the estimated for a single time series and denotes the mean of all fitted s;
- –
- if no break in persistence is assumed.
- For M2:
- –
- and if a break in persistence is assumed, where denotes the estimated for a single time series and denotes the mean of all fitted ;
- –
- if no break in persistence is assumed.
4. Conclusions
- Moving to other statistical models.
- Studying the implications for forecasting.
- Turning to other populations and do explanation in demographic context.
Author Contributions
Funding
Institutional Review Board Statement
Informed Consent Statement
Data Availability Statement
Conflicts of Interest
Appendix A
Testing Structural Change in Persistence Parameter d by the MR Test
- for any fixed, known , both and ;
- and represents a Wiener process;
- ;

| 1 | Our approach follows the use of the range of d as in the MRtest function in R package memochange. |
| 2 | A stationary process is said to have long memory if its autocovariance for lag j satisfies . |
| 3 | The series and the order actually depend on the age x, as does the number of breaks b and the breakpoints discussed in the following point 2. We will only use this notation in a context where the age is fixed, so for simplicity we exclude the age from these notations. |
| 4 | While long time series are preferable to study long memory behavior, it should be noted that both countries have decreased quality of mortality data once you get back into the nineteenth century, for various reasons. See the files on background and documentation for Sweden and France on the HMD website. |
| 5 | If we change the rejection threshold from 10% to 5% to 1%, the percentage for France does not drop much (from 76.24% to 69.31% to 60.40%), but the percentage for Sweden drops substantially (from 43.56% to 24.75% to 6.93%). This probably reflects the observation that the change in fitted d values at a break tends to be larger for each age of the France data than when compared to the changes in d for the Sweden data. Since we do not know for a case removed upon dropping the significance level whether that was because it was a false positive or because it was a true positive with a modest effect, and since we do not want to miss breaks in persistence and consider the good accuracy of our model even for false break claiming, we use 10% for the remainder of the paper. |
| 6 | If no break in persistence is assumed for the simulation of a time series but M observed change in persistence in it, will be and will be . |
References
- Bengtsson, Tommy, and Göran Bröstrom. 2011. Famines and mortality crises in 18th to 19th century southern Sweden. Genus 67: 119–39. [Google Scholar]
- Ben Nasr, Adnen, Ahdi Noomen Ajmi, and Rangan Gupta. 2014. Modelling the volatility of the Dow Jones Islamic Market World Index using a fractionally integrated time-varying GARCH (FITVGARCH) model. Applied Financial Economics 24: 993–1004. [Google Scholar] [CrossRef]
- Bishai, David M. 1995. Infant mortality time series are random walks with drift: Are they cointegrated with socioeconomic variables? Health Economics 4: 157–67. [Google Scholar] [CrossRef]
- Box, George E. P., and Gwilym M. Jenkins. 1976. Time Series Analysis Forecasting and Control, 2nd ed. San Francisco: Holden-Day. [Google Scholar]
- Breitung, Jorg, and Uwe Hassler. 2002. Inference on the cointegration rank in fractionally integrated processes. Journal of Econometrics 110: 167–85. [Google Scholar] [CrossRef]
- Busetti, Fabio, and A. M. Robert Taylor. 2004. Tests of stationarity against a change in persistence. Journal of Econometrics 123: 33–66. [Google Scholar] [CrossRef]
- Caporale, Guglielmo Maria, and Luis A. Gil-Alana. 2014. Infant mortality rates: Time trends and fractional integration. Journal of Applied Statistics 42: 589–602. [Google Scholar] [CrossRef]
- Cheung, Yin-Wong. 1993. Tests for Fractional Integration: A Monte Carlo Investigation. Journal of Time Series Analysis 14: 331–45. [Google Scholar] [CrossRef]
- Davidson, James, and Andrea Monticini. 2010. Tests for cointegration with structural breaks based on subsamples. Computational Statistics & Data Analysis 54: 2498–511. [Google Scholar] [CrossRef]
- Diebold, Francis X., and Atsushi Inoue. 2001. Long memory and regime switching. Journal of Econometrics 105: 131–59. [Google Scholar] [CrossRef]
- Diebold, Francis X., and Glenn D. Rudebusch. 1991. On the power of Dickey-Fuller tests against fractional alternatives. Economics Letters 35: 155–60. [Google Scholar] [CrossRef]
- Dreger, Christian, and Hans-Eggert Reimers. 2005. Health Care Expenditures in OECD Countries: A Panel Unit Root and Cointegration Analysis. International Journal of Applied Econometrics and Quantitative Studies, Euro-American Association of Economic Development 2: 5–20. [Google Scholar] [CrossRef]
- Fu, Wanying, Barry R. Smith, Patrick Brewer, and Sean Droms. 2022. A New Mortality Framework to Identify Trends and Structural Changes in Mortality Improvement and Its Application in Forecasting. Risks 10: 161. [Google Scholar] [CrossRef]
- Fu, Wanying, Barry R. Smith, Patrick Brewer, and Sean Droms. 2023. Markov-Switching Bayesian Vector Autoregression Model in Mortality Forecasting. Risks 11: 152. [Google Scholar] [CrossRef]
- Fu, Wanying, Sean Droms, Patrick Brewer, and Barry R. Smith. 2025. Applying Markov-switching Bayesian vector autoregression to an age-partitioned Lee–Carter mortality model. European Actuarial Journal 15: 417–43. [Google Scholar] [CrossRef]
- Gil-Alana, Luis A., Juncal Cunado, and Rangan Gupta. 2017. Persistence, Mean-Reversion and Non-linearities in Infant Mortality Rates. Soc Indic Res 131: 393–405. [Google Scholar] [CrossRef]
- Granger, Clive W. J., and Namwon Hyung. 2004. Occasional structural breaks and long memory with an application to the S&P 500 absolute stock returns. Journal of Empirical Finance 11: 399–421. [Google Scholar] [CrossRef]
- Granger, Clive W. J., and Roselyne Joyeux. 1980. An introduction to long-memory time series models and fractional differencing. Journal of Time Series Analysis 1: 15–29. [Google Scholar] [CrossRef]
- Gu, Zuguang. 2022. Complex Heatmap Visualization. iMeta 1: e43. [Google Scholar] [CrossRef]
- Gu, Zuguang, Roland Eils, and Matthias Schlesner. 2016. Complex heatmaps reveal patterns and correlations in multidimensional genomic data. Bioinformatics 32: 2847–49. [Google Scholar] [CrossRef]
- Hainaut, Donatien. 2012. Multidimensional Lee—Carter model with switching mortality processes. Insurance: Mathematics and Economics 50: 236–46. [Google Scholar] [CrossRef]
- Harvey, David I., Stephen J. Leybourne, and A. M. Robert Taylor. 2006. Modified tests for a change in persistence. Journal of Econometrics 134: 441–69. [Google Scholar] [CrossRef]
- Hassler, Uwe, and Jan Scheithauer. 2011. Detecting changes from short to long memory. Stat Papers 52: 847–70. [Google Scholar] [CrossRef]
- Hassler, Uwe, and Jürgen Wolters. 1994. On the power of unit root tests against fractional alternatives. Economics Letters 45: 1–5. [Google Scholar] [CrossRef]
- Hosking, Jonathan R. M. 1981. Fractional Differencing. Biometrika 68: 165–76. [Google Scholar] [CrossRef]
- Human Mortality Database. n.d. University of California, Berkeley (USA), and Max Planck Institute for Demographic Research (Germany). Available online: www.mortality.org (accessed on 10 June 2025).
- Kim, Jae-Young. 2000. Detection of change in persistence of a linear time series. Journal of Econometrics 95: 97–116. [Google Scholar] [CrossRef]
- Lee, Dongin, and Peter Schmidt. 1996. On the power of the KPSS test of stationarity against fractionally-integrated alternatives. Journal of Econometrics 73: 285–302. [Google Scholar] [CrossRef]
- Lee, Ronald D., and Lawrence R. Carter. 1992. Modeling and forecasting U.S. mortality. Journal of the American Statistical Association 87: 659–71. [Google Scholar] [CrossRef]
- Leschinski, Christian. 2019. LongMemoryTS: Long Memory Time Series, R Package Version 0.1.0. Available online: https://CRAN.R-project.org/package=LongMemoryTS (accessed on 12 November 2025).
- Leybourne, Stephen, and A. M. Robert Taylor. 2004. On tests for changes in persistence. Economics Letters 84: 107–15. [Google Scholar] [CrossRef]
- Leybourne, Stephen, Robert Taylor, and Tae-Hwan Kim. 2007. CUSUM of Squares-Based Tests for a Change in Persistence. Journal of Time Series Analysis 28: 408–33. [Google Scholar] [CrossRef]
- Leybourne, Stephen, Tae-Hwan Kim, Vanessa Smith, and Paul Newbold. 2003. Tests for a change in persistence against the null of difference-stationarity. The Econometrics Journal 6: 291–311. [Google Scholar] [CrossRef]
- Li, Johnny Siu-Hang, Wai-Sum Chan, and Siu-Hung Cheung. 2011. Structural Changes in the Lee-Carter Mortality Indexes: Detection and Implications. North American Actuarial Journal 15: 13–31. [Google Scholar] [CrossRef]
- Lundström, Hans, and Jan Qvist. 2004. Mortality Forecasting and Trend Shifts: An Application of the Lee-Carter Model to Swedish Mortality Data. International Statistical Review 72: 37–50. [Google Scholar] [CrossRef]
- Macdonald, Angus S., Stephen J. Richards, and Iain D. Currie. 2018. Modelling Mortality with Actuarial Applications. Cambridge: Cambridge University Press. [Google Scholar]
- Martins, Luis F., and Paulo M. M. Rodrigues. 2014. Testing for persistence change in fractionally integrated models: An application to world inflation rates. Computational Statistics & Data Analysis 76: 502–22. [Google Scholar] [CrossRef]
- Milidonis, Andreas, Yijia Lin, and Samuel H. Cox. 2011. Mortality Regimes and Pricing. North American Actuarial Journal 15: 266–89. [Google Scholar] [CrossRef]
- Peters, Gareth W., Hongxuan Yan, and Jennifer Chan. 2021. Statistical features of persistence and long memory in mortality data. Annals of Actuarial Science 15: 291–317. [Google Scholar] [CrossRef]
- Preston, Samuel H., and Etienne van de Walle. 1978. Urban French Mortality in the Nineteenth Century. Population Studies 32: 275–97. [Google Scholar] [CrossRef] [PubMed]
- Robinson, Peter M. 1995. Gaussian Semiparametric Estimation of Long Range Dependence. The Annals of Statistics 23: 1630–61. [Google Scholar] [CrossRef]
- Shimotsu, Katsumi, and Peter C. B. Phillips. 2005. Exact local Whittle estimation of fractional integration. The Annals of Statistics 33: 1890–933. [Google Scholar] [CrossRef]
- Sibbertsen, Philipp, and Robinson Kruse. 2009. Testing for a break in persistence under long-range dependencies. Journal of Time Series Analysis 30: 263–85. [Google Scholar] [CrossRef]
- Wenger, Kai, and Janis Becker. 2019. memochange: An R package for estimation procedures and tests for persistent time series. Journal of Open Source Software 4: 1820. [Google Scholar] [CrossRef]
- Wenger, Kai, Christian Leschinski, and Philipp Sibbertsen. 2019. Change-in-mean tests in long-memory time series: A review of recent developments. AStA Advances in Statistical Analysis 103: 237–56. [Google Scholar] [CrossRef]
- Yan, Hongxuan, Gareth W. Peters, and Jennifer Chan. 2021. Mortality models incorporating long memory for life table estimation: A comprehensive analysis. Annals of Actuarial Science 15: 567–604. [Google Scholar] [CrossRef]
- Yan, Hongxuan, Gareth W. Peters, and Jennifer S. K. Chan. 2020. Multivariate Long-Memory Cohort Mortality Models. ASTIN Bulletin 50: 223–63. [Google Scholar] [CrossRef]
- Yaya, OlaOluwa S., Luis A. Gil-Alana, and Acheampong Y. Amoateng. 2018. Under-5 Mortality Rates in G7 Countries: Analysis of Fractional Persistence, Structural Breaks and Nonlinear Time Trends. European Journal of Population 35: 675–94. [Google Scholar] [CrossRef]
- Zeileis, Achim, Christian Kleiber, Walter Krämer, and Kurt Hornik. 2003. Testing and Dating of Structural Changes in Practice. Computational Statistics & Data Analysis 44: 109–23. [Google Scholar] [CrossRef]
- Zeileis, Achim, Friedrich Leisch, Kurt Hornik, and Christian Kleiber. 2002. strucchange: An R Package for Testing for Structural Change in Linear Regression Models. Journal of Statistical Software 7: 1–38. [Google Scholar] [CrossRef]











| Change in d Assumed | No Change in d Assumed | ||
|---|---|---|---|
| %(dSC) | 67.19% | %(dSC) | 33.40% |
| −0.0436 | −0.1609 | ||
| −0.1670 | −0.0826 | ||
| −0.1153 | −0.3263 | ||
| −0.4569 | |||
| 0.7052 | 0.5649 | ||
| 0.3635 | |||
Disclaimer/Publisher’s Note: The statements, opinions and data contained in all publications are solely those of the individual author(s) and contributor(s) and not of MDPI and/or the editor(s). MDPI and/or the editor(s) disclaim responsibility for any injury to people or property resulting from any ideas, methods, instructions or products referred to in the content. |
© 2025 by the authors. Licensee MDPI, Basel, Switzerland. This article is an open access article distributed under the terms and conditions of the Creative Commons Attribution (CC BY) license (https://creativecommons.org/licenses/by/4.0/).
Share and Cite
Fu, W.; Smith, B.R.; Brewer, P. Structural Changes in Persistence of Mortality. Risks 2025, 13, 225. https://doi.org/10.3390/risks13110225
Fu W, Smith BR, Brewer P. Structural Changes in Persistence of Mortality. Risks. 2025; 13(11):225. https://doi.org/10.3390/risks13110225
Chicago/Turabian StyleFu, Wanying, Barry R. Smith, and Patrick Brewer. 2025. "Structural Changes in Persistence of Mortality" Risks 13, no. 11: 225. https://doi.org/10.3390/risks13110225
APA StyleFu, W., Smith, B. R., & Brewer, P. (2025). Structural Changes in Persistence of Mortality. Risks, 13(11), 225. https://doi.org/10.3390/risks13110225

