Analysing Quantiles in Models of Forward Term Rates
Abstract
1. Introduction
2. The Model
3. Quantile Approximation
- For and , calculateandwhere , and .
- Determineandfor , where is the trace operator usingwithand where and are defined in (A1) and (A2), respectively. The random variableis composed of two independent multivariate normal random variables, and , whereThus, withThe elements of the gradient, , Hessian, , and their corresponding derivatives can be found in Appendix A.2. It is worth remarking that since (10) only requires the diagonal elements of we may significantly reduce the execution time by computingand usingto approximate the off-diagonal elements. The resulting trade-off, along with a lower-order approximation, is fully explored in Van Appel and McWalter (2020).
- Computeand
- If , repeat steps 1 through to 3.
- Once all the rates are evolved to expiry, the quantiles are computed using (10) for each and , with .
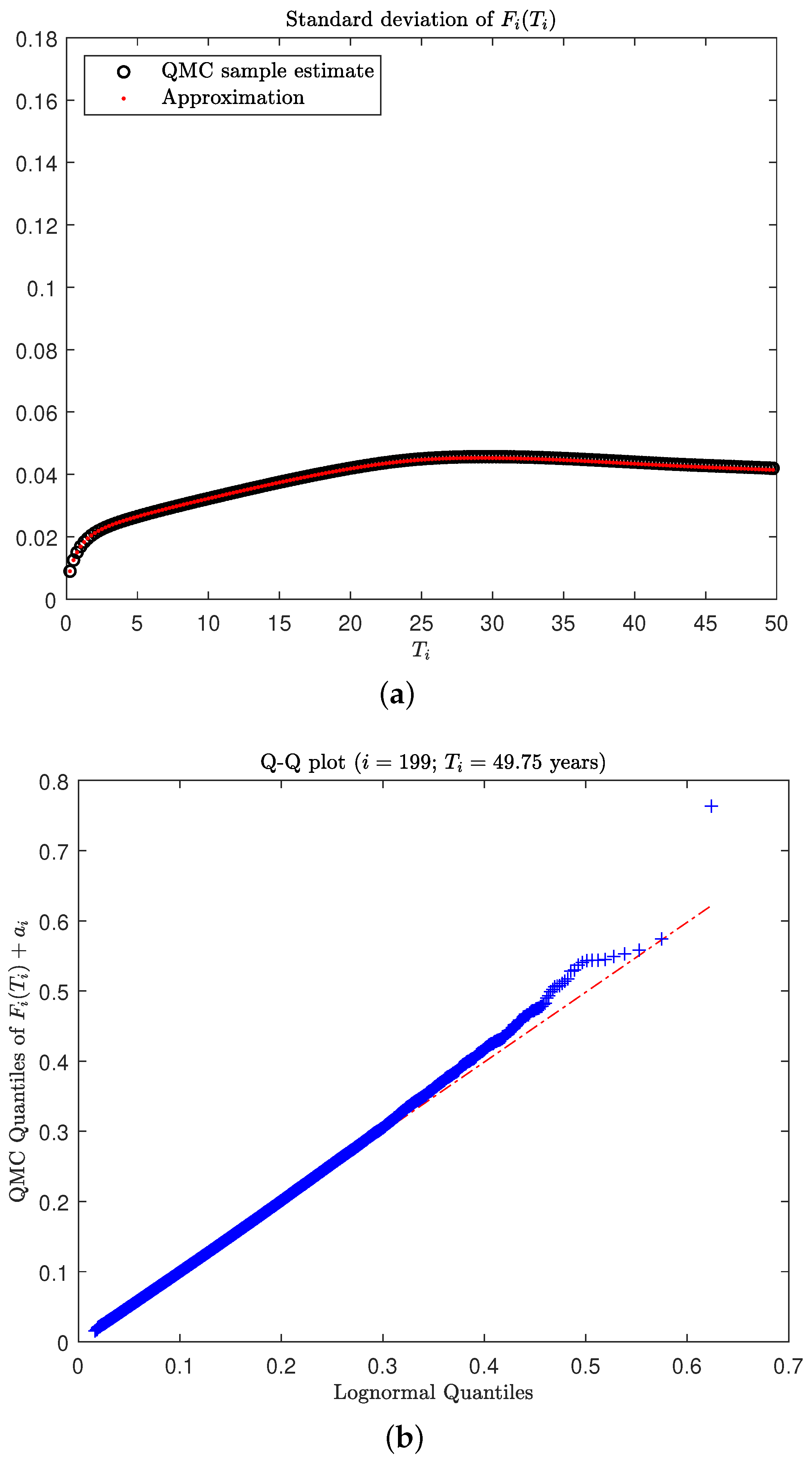
4. Numerical Results
4.1. DLFM Specification of a Discretized HJM Model
4.2. DLFM with a Background Level of Volatility
4.3. DLFM with Damped Background Volatility
5. Conclusions
Author Contributions
Funding
Institutional Review Board Statement
Informed Consent Statement
Data Availability Statement
Acknowledgments
Conflicts of Interest
Appendix A. Expressions Needed in Section 3
Appendix A.1. Operators and Derivatives of
Appendix A.2. Gradient and Hessian Elements of
| 1 | Models of this type were first constructed by Miltersen et al. (1997); Musiela and Rutkowski (1997); Brace et al. (1997), and Jamshidian (1997). |
| 2 | But not everywhere: In the Eurozone, there are currently no plans to discontinue EURIBOR, and in Australia, the Australian version of this rate, the Bank Bill Swap Rate (BBSW), also remains in place. |
| 3 | In fact, there is considerable effort underway to adapt LMM-like models for markets based on overnight benchmarks, for example, Lyashenko and Mercurio (2019). |
| 4 | LMM-type models can also (often rather tediously) be expressed in the HJM framework, see e.g., Miltersen et al. (1997). |
| 5 | The demand for modelling beyond the reach of current liquid financial markets is on the increase (see, e.g., Whittall 2016; Abramowicz 2017 or Brody and Hughston 2018). This is also noted by Gouriéroux et al. (2022), who take an approach to the problem of long-term rate extrapolation based on a sequence of short rate models (specifically, models of the type of Cox et al. 1985). |
| 6 | |
| 7 | |
| 8 | Note that , since is constant for all i and . |
| 9 | The introduction of a regulatory UFR has been criticised by Balter et al. (1921) on empirical grounds. However, it is a regulatory reality in important jurisdictions (especially in the Eurozone) and has already had a measurable impact on fixed-income markets: See, for example Jansen (2021) for a study based on data from the Netherlands. |
| 10 | The third and fourth order derivatives are not yet needed, but are used in Appendix A.2. |
| 11 | The gradient and Hessian are an M-dimensional vector and square matrix, respectively. |
References
- Abramowicz, Lisa. 2017. Long, long bonds and even longer odds. Bloomberg Gadfly 4. [Google Scholar]
- Andersen, Leif B. G., and Vladimir V. Piterbarg. 2010a. Interest Rate Modeling. Volume 1: Foundations and Vanilla Models. London: Atlantic Financial Press. [Google Scholar]
- Andersen, Leif B. G., and Vladimir V. Piterbarg. 2010b. Interest Rate Modeling. Volume 2: Term Structure Models. London: Atlantic Financial Press. [Google Scholar]
- Balter, Anne G., Antoon Pelsser, and Peter C. Schotman. 2021. What does a term structure model imply about very long–term interest rates? Journal of Empirical Finance 62: 202–19. [Google Scholar] [CrossRef]
- Brace, Alan. 2008. Engineering BGM. Portsmouth: Chapman & Hall/CRC. [Google Scholar]
- Brace, Alan, Dariusz Gatarek, and Marek Musiela. 1997. The market model of interest rate dynamics. Mathematical Finance 7: 127–54. [Google Scholar] [CrossRef]
- Brigo, Damiano, and Fabio Mercurio. 2006. Interest Rate Models—Theory and Practice, 2nd ed. Berlin: Springer. [Google Scholar]
- Brody, Dorje C., and Lane P. Hughston. 2018. Social discounting and the long rate of interest. Mathematical Finance 28: 306–34. [Google Scholar] [CrossRef]
- Cox, John C., Jonathan E. Ingersoll, and Stephen A. Ross. 1985. A theory of the term structure of interest rates. Econometrica 53: 385–407. [Google Scholar] [CrossRef]
- EIOPA. 2022. Technical Documentation of the Methodology to Derive EIOPA’s Risk-Free Interest Rate Term Structures. Available online: https://www.eiopa.europa.eu/tools-and-data/risk-free-interest-rate-term-structures_en (accessed on 10 January 2023).
- Fries, Christian. 2007. Mathematical Finance: Theory, Modeling, Implementation. New York: Wiley. [Google Scholar]
- Gouriéroux, Christian, Yang Lu, and Alain Monfort. 2022. Ultra Long Run Term Structure Models. Available online: https://ssrn.com/abstract=4160206 (accessed on 10 January 2023).
- Heath, David, Robert Jarrow, and Andrew Morton. 1992. Bond pricing and the term structure of interest rates: A new methodology for contingent claims valuation. Econometrica 60: 77–105. [Google Scholar] [CrossRef]
- Hull, John C., and Alan White. 1990. Pricing interest rate derivative securities. Review of Financial Studies 3: 573–92. [Google Scholar] [CrossRef]
- Hunter, Chris J., Peter Jäckel, and Mark S. Joshi. 2001. Getting the drift. Risk 14: 81–84. [Google Scholar]
- Jamshidian, Farshid. 1997. LIBOR and swap market models and measures. Finance and Stochastics 1: 293–330. [Google Scholar] [CrossRef]
- Jansen, Kristy A. E. 2021. Long–Term Investors, Demand Shifts, and Yields. Available online: https://ssrn.com/abstract=3901466 (accessed on 10 January 2023).
- Joe, Stephen, and Frances Y. Kuo. 2003. Remark on algorithm 659: Implementing Sobol’s quasirandom sequence generator. ACM Transactions on Mathematical Software 29: 49–57. [Google Scholar] [CrossRef]
- Joe, Stephen, and Frances Y. Kuo. 2008. Constructing Sobol’ sequences with better two-dimensional projections. SIAM Journal on Scientific Computing 30: 2635–54. [Google Scholar] [CrossRef]
- Lyashenko, Andrei, and Fabio Mercurio. 2019. Looking Forward to Backward-Looking Rates: A Modeling Framework for Term Rates Replacing LIBOR. Available online: https://ssrn.com/abstract=3330240 (accessed on 10 January 2023).
- Miltersen, Kristian R., Klaus Sandmann, and Dieter Sondermann. 1997. Closed form solutions for term structure derivates with log-normal interest rates. Journal of Finance 52: 409–30. [Google Scholar] [CrossRef]
- Musiela, Marek, and Marek Rutkowski. 1997. Continuous-time term structure models: Forward measure approach. Finance and Stochastics 1: 261–92. [Google Scholar] [CrossRef]
- Schlögl, Erik. 2002. Arbitrage–free interpolation in models of market observable interest rates. In Advances in Finance and Stochastics. Edited by Klaus Sandmann and Philipp Schönbucher. Heidelberg: Springer. [Google Scholar]
- Schoenmakers, John, and Brian Coffey. 2003. Systematic generation of parametric correlation structures for the LIBOR market model. International Journal of Theoretical and Applied Finance 6: 507–19. [Google Scholar] [CrossRef]
- Svoboda-Greenwood, Simona. 2009. Displaced diffusion as an approximation of the constant elasticity of variance. Applied Mathematical Finance 16: 269–86. [Google Scholar] [CrossRef]
- Van Appel, Jacques. 2021. Long-Dated Interest rate Modelling. Ph.D. thesis, University of Johannesburg, Johannesburg. Available online: https://ujcontent.uj.ac.za/esploro/outputs/doctoral/Long-dated-interest-rate-modelling/9911357407691#file-0 (accessed on 10 January 2023).
- Van Appel, Jacques, and Thomas A. McWalter. 2018. Efficient long-dated swaption volatility approximation in the forward-LIBOR model. International Journal of Theoretical and Applied Finance 21: 1850020. [Google Scholar] [CrossRef]
- Van Appel, Jacques, and Thomas A. McWalter. 2020. Moment approximations of displaced forward-LIBOR rates with application to swaptions. International Journal of Theoretical and Applied Finance 23: 2050046. [Google Scholar] [CrossRef]
- Vasiček, Oldrich A. 1977. An equilibrium characterization of the term structure. Journal of Financial Economics 5: 177–88. [Google Scholar] [CrossRef]
- Whittall, Christopher. 2016. The very long bet: 100-year bonds that pay peanuts. The Wall Street Journal, May 11. [Google Scholar]






| a | b | c | d | ||
|---|---|---|---|---|---|
| 0.03 | 0.08 | 1.35 | 0.07 | 0.40 | 0.8 |
Disclaimer/Publisher’s Note: The statements, opinions and data contained in all publications are solely those of the individual author(s) and contributor(s) and not of MDPI and/or the editor(s). MDPI and/or the editor(s) disclaim responsibility for any injury to people or property resulting from any ideas, methods, instructions or products referred to in the content. |
© 2023 by the authors. Licensee MDPI, Basel, Switzerland. This article is an open access article distributed under the terms and conditions of the Creative Commons Attribution (CC BY) license (https://creativecommons.org/licenses/by/4.0/).
Share and Cite
McWalter, T.A.; Schlögl, E.; van Appel, J. Analysing Quantiles in Models of Forward Term Rates. Risks 2023, 11, 29. https://doi.org/10.3390/risks11020029
McWalter TA, Schlögl E, van Appel J. Analysing Quantiles in Models of Forward Term Rates. Risks. 2023; 11(2):29. https://doi.org/10.3390/risks11020029
Chicago/Turabian StyleMcWalter, Thomas A., Erik Schlögl, and Jacques van Appel. 2023. "Analysing Quantiles in Models of Forward Term Rates" Risks 11, no. 2: 29. https://doi.org/10.3390/risks11020029
APA StyleMcWalter, T. A., Schlögl, E., & van Appel, J. (2023). Analysing Quantiles in Models of Forward Term Rates. Risks, 11(2), 29. https://doi.org/10.3390/risks11020029

