Child Myopia Prevalence in Europe: A Systematic Review and Meta-Analysis
Abstract
1. Introduction
2. Materials and Methods
2.1. Study Selection
2.2. Data Extraction
2.3. Statistical Analysis
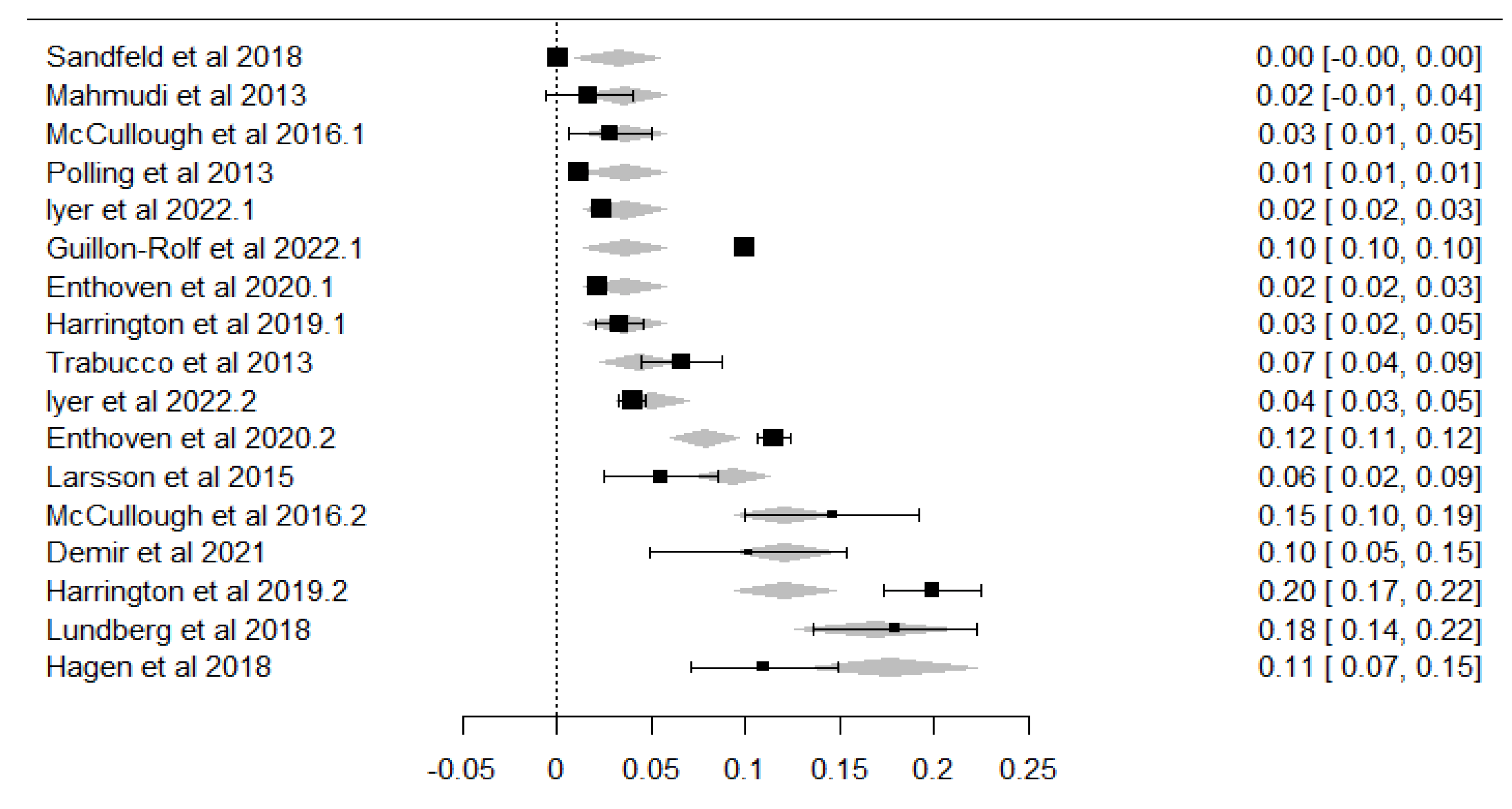
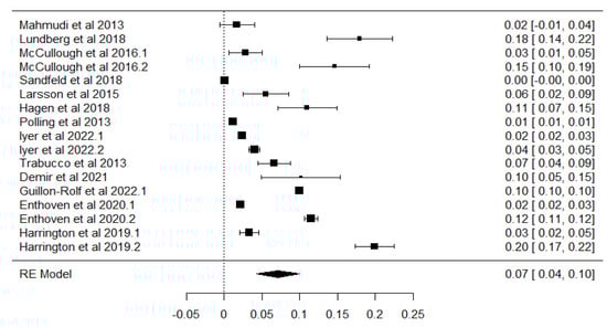
3. Results
4. Discussion
5. Conclusions
Author Contributions
Funding
Institutional Review Board Statement
Informed Consent Statement
Data Availability Statement
Conflicts of Interest
References
- Holden, B.A.; Fricke, T.R.; Wilson, D.A.; Jong, M.; Naidoo, K.S.; Sankaridurg, P.; Wong, T.Y.; Naduvilath, T.; Resnikoff, S. Global Prevalence of Myopia and High Myopia and Temporal Trends from 2000 through 2050. Ophthalmology 2016, 123, 1036–1042. [Google Scholar] [CrossRef] [PubMed]
- Wong, Y.-L.; Saw, S.-M. Epidemiology of Pathologic Myopia in Asia and Worldwide. Asia-Pacific J. Ophthalmol. 2016, 5, 394–402. [Google Scholar] [CrossRef]
- Fu, A.; Watt, K.; Junghans, B.M.; Delaveris, A.; Stapleton, F.; Wang, I.-J. Prevalence of myopia among disadvantaged Australian schoolchildren: A 5-year cross-sectional study. PLoS ONE 2020, 15, e0238122. [Google Scholar] [CrossRef] [PubMed]
- Vitale, S.; Sperduto, R.D.; Ferris, F.L. Increased Prevalence of Myopia in the United States Between 1971–1972 and 1999–2004. Arch. Ophthalmol. 2009, 127, 1632–1639. [Google Scholar] [CrossRef] [PubMed]
- Williams, K.M.; Bertelsen, G.; Cumberland, P.; Wolfram, C.; Verhoeven, V.J.; Anastasopoulos, E.; Buitendijk, G.H.; Cougnard-Grégoire, A.; Creuzot-Garcher, C.; Erke, M.G.; et al. Increasing Prevalence of Myopia in Europe and the Impact of Education. Ophthalmology 2015, 122, 1489–1497. [Google Scholar] [CrossRef]
- Saw, S.; Gazzard, G.; Shih-Yen, E.C.; Chua, W. Myopia and associated pathological complications. Ophthalmic Physiol. Opt. 2005, 25, 381–391. [Google Scholar] [CrossRef]
- Williams, K.M.; Verhoeven, V.J.M.; Cumberland, P.; Bertelsen, G.; Wolfram, C.; Buitendijk, G.H.S.; Hofman, A.; van Duijn, C.M.; Vingerling, J.R.; Kuijpers, R.W.A.M.; et al. Prevalence of refractive error in Europe: The European Eye Epidemiology (E(3)) Consortium. Eur. J. Epidemiol. 2015, 30, 305–315. [Google Scholar] [CrossRef]
- Dong, L.; Kang, Y.K.; Li, Y.; Wei, W.B.; Jonas, J.B. Prevalence and Time Trends of Myopia in Children and Adolescents in China: A Systemic Review and Meta-Analysis. Retina 2020, 40, 399–411. [Google Scholar] [CrossRef]
- Ovenseri-Ogbomo, G.; Osuagwu, U.L.; Ekpenyong, B.N.; Agho, K.; Ekure, E.; Ndep, A.O.; Ocansey, S.; Mashige, K.P.; Naidoo, K.S.; Ogbuehi, K.C.; et al. Systematic review and meta-analysis of myopia prevalence in African school children. PLoS ONE 2022, 17, e0263335. [Google Scholar] [CrossRef]
- Pan, C.W.; Dirani, M.; Cheng, C.Y.; Wong, T.Y.; Saw, S.M. The age-specific prevalence of myopia in Asia: A meta-analysis. Optom. Vis. Sci. 2015, 92, 258–266. [Google Scholar] [CrossRef]
- Hashemi, H.; Fotouhi, A.; Yekta, A.; Pakzad, R.; Ostadimoghaddam, H.; Khabazkhoob, M. Global and regional estimates of prevalence of refractive errors: Systematic review and meta-analysis. J. Curr. Ophthalmol. 2018, 30, 3–22. [Google Scholar] [CrossRef] [PubMed]
- Tang, Y.; Chen, A.; Zou, M.; Liu, Z.; Young, C.A.; Zheng, D.; Jin, G. Prevalence and time trends of refractive error in Chinese children: A systematic review and meta-analysis. J. Glob. Health 2021, 11, 08006. [Google Scholar] [CrossRef] [PubMed]
- Agarwal, D.; Saxena, R.; Gupta, V.; Mani, K.; Dhiman, R.; Bhardawaj, A.; Vashist, P.; Joe, W. Prevalence of myopia in Indian school children: Meta-analysis of last four decades. PLoS ONE 2020, 15, e0240750. [Google Scholar] [CrossRef]
- EUROSTAT. International Trade and Foreign Direct Investment; Publications Office of the European Union: Luxembourg, 2023. [Google Scholar]
- Wolffsohn, J.S.; Flitcroft, D.I.; Gifford, K.L.; Jong, M.; Jones, L.; Klaver, C.C.W.; Logan, N.S.; Naidoo, K.; Resnikoff, S.; Sankaridurg, P.; et al. IMI—Myopia Control Reports Overview and Introduction. Investig. Opthalmology Vis. Sci. 2019, 60, M1–M19. [Google Scholar] [CrossRef]
- Morgan, I.G.; Wu, P.-C.; Ostrin, L.A.; Tideman, J.W.L.; Yam, J.C.; Lan, W.; Baraas, R.C.; He, X.; Sankaridurg, P.; Saw, S.-M.; et al. IMI Risk Factors for Myopia. Investig. Opthalmology Vis. Sci. 2021, 62, 3. [Google Scholar] [CrossRef]
- Jonas, J.B.; Ang, M.; Cho, P.; Guggenheim, J.A.; He, M.G.; Jong, M.; Logan, N.S.; Liu, M.; Morgan, I.; Ohno-Matsui, K.; et al. IMI Prevention of Myopia and Its Progression. Investig. Opthalmology Vis. Sci. 2021, 62, 6. [Google Scholar] [CrossRef]
- Rudnicka, A.R.; Kapetanakis, V.V.; Wathern, A.K.; Logan, N.S.; Gilmartin, B.; Whincup, P.H.; Cook, D.G.; Owen, C.G. Global variations and time trends in the prevalence of childhood myopia, a systematic review and quantitative meta-analysis: Implications for aetiology and early prevention. Br. J. Ophthalmol. 2016, 100, 882–890. [Google Scholar] [CrossRef]
- Matamoros, E.; Ingrand, P.; Pelen, F.; Bentaleb, Y.; Weber, M.; Korobelnik, J.F.; Souied, E.; Leveziel, N. Prevalence of Myopia in France: A Cross-Sectional Analysis. Medicine 2015, 94, e1976. [Google Scholar] [CrossRef]
- Grzybowski, A.; Kanclerz, P.; Tsubota, K.; Lanca, C.; Saw, S.-M. A review on the epidemiology of myopia in school children worldwide. BMC Ophthalmol. 2020, 20, 27. [Google Scholar] [CrossRef]
- Stroup, D.F.; Berlin, J.A.; Morton, S.C.; Olkin, I.; Williamson, G.D.; Rennie, D.; Moher, D.; Becker, B.J.; Sipe, T.A.; Thacker, S.B. Meta-analysis of observational studies in epidemiology: A proposal for reporting. Meta-analysis Of Observational Studies in Epidemiology (MOOSE) group. JAMA 2000, 283, 2008–2012. [Google Scholar] [CrossRef]
- Page, M.J.; Moher, D.; Bossuyt, P.M.; Boutron, I.; Hoffmann, T.C.; Mulrow, C.D.; Shamseer, L.; Tetzlaff, J.M.; Akl, E.A.; Brennan, S.E.; et al. PRISMA 2020 explanation and elaboration: Updated guidance and exemplars for reporting systematic reviews. BMJ 2021, 372, n160. [Google Scholar] [CrossRef] [PubMed]
- Finger, R.P.; Schuster, A.K. Myopia in Germany-changes in the prevalence remain unclear. Ophthalmologe 2019, 116, 682–683. [Google Scholar] [CrossRef] [PubMed]
- Nucci, C.; Cofini, V.; Mancino, R.; Ricci, F.; Martucci, A.; Cecilia, M.R.; Ciciarelli, V.; Zazzara, F.; Cedrone, C.; di Orio, F. Prevalence and Risk Factors of Vision Impairment among Children of Employees of Telecom, Italy. Eur. J. Ophthalmol. 2015, 26, 379–384. [Google Scholar] [CrossRef]
- Landmann, A.; Bechrakis, E. Prävalenz und Dimensionen von Refraktionsfehlern bei österreichischen Gymnasiasten. Spektrum Der Augenheilkd. 2014, 28, 76–83. [Google Scholar] [CrossRef]
- Popović-Beganović, A.; Zvorničanin, J.; Vrbljanac, V.; Zvorničanin, E. The Prevalence of Refractive Errors and Visual Impairment among School Children in Brčko District, Bosnia and Herzegovina. Semin. Ophthalmol. 2018, 33, 858–868. [Google Scholar] [CrossRef]
- Hansen, M.H.; Laigaard, P.P.; Olsen, E.M.; Skovgaard, A.M.; Larsen, M.; Kessel, L.; Munch, I.C. Low physical activity and higher use of screen devices are associated with myopia at the age of 16–17 years in the CCC2000 Eye Study. Acta Ophthalmol. 2019, 98, 315–321. [Google Scholar] [CrossRef]
- Williams, K.M.; Hysi, P.G.; Plomin, R.; Hammond, C.J. Prevalence of myopia in an adolescent British cohort and cognitive associations during childhood. Investig. Ophthalmol. Vis. Sci. 2014, 55, 3628. [Google Scholar]
- Dragomirova, M.; Antonova, A.; Stoykova, S.; Mihova, G.; Grigorova, D. Myopia in Bulgarian school children: Prevalence, risk factors, and health care coverage. BMC Ophthalmol. 2022, 22, 248. [Google Scholar] [CrossRef]
- Alvarez-Peregrina, C.; Martinez-Perez, C.; Villa-Collar, C.; González-Pérez, M.; González-Abad, A.; Sánchez-Tena, M.Á. The Prevalence of Myopia in Children in Spain: An Updated Study in 2020. Int. J. Environ. Res. Public Health 2021, 18, 12375. [Google Scholar] [CrossRef]
- Slaveykov, K.; Trifonova, K. Refraction in Preschool Children in Kazanlak, Bulgaria. Folia Medica 2020, 62, 345–351. [Google Scholar] [CrossRef]
- Boyadzhieva, M.R.; Barbukova, A.; Boyadzhiev, D.; Radeva, M.; Dimitrova, K.; Grupcheva, C. Effectiveness of the screening program for preserving childhood vision in the region of Varna. Bulg. Rev. Ophthalmol. 2019, 63, 26–33. [Google Scholar] [CrossRef]
- Pärssinen, O.; Kauppinen, M. Associations of near work time, watching TV, outdoors time, and parents’ myopia with myopia among school children based on 38-year-old historical data. Acta Ophthalmol. 2022, 100, e430–e438. [Google Scholar] [CrossRef] [PubMed]
- Schuster, A.K.; Elflein, H.M.; Pokora, R.; Urschitz, M.S. Prevalence and Risk Factors of Myopia in Children and Adolescents in Germany—Results of the KiGGS Survey. Klin Padiatr. 2017, 229, 234–240. [Google Scholar] [PubMed]
- Mahmudi, E.; Mema, V.; Burda, N.; Selimi, B.; Zhugli, S. Incidence of the refractive errors in children 3 to 9 years of age, in the city of Tetovo, Macedonia. J. Acute Dis. 2013, 2, 52–55. [Google Scholar] [CrossRef]
- Lundberg, K.; Thykjær, A.S.; Hansen, R.S.; Vestergaard, A.H.; Jacobsen, N.; Goldschmidt, E.; Lima, R.A.; Peto, T.; Wedderkopp, N.; Grauslund, J. Physical activity and myopia in Danish children—The CHAMPS Eye Study. Acta Ophthalmol. 2018, 96, 134–141. [Google Scholar] [CrossRef]
- McCullough, S.J.; O’dOnoghue, L.; Saunders, K.J.; Lin, H. Six Year Refractive Change among White Children and Young Adults: Evidence for Significant Increase in Myopia among White UK Children. PLoS ONE 2016, 11, e0146332. [Google Scholar] [CrossRef]
- Sandfeld, L.; Weihrauch, H.; Tubaek, G.; Mortzos, P. Ophthalmological data on 4.5-to 7-year-old Danish children. Acta Ophthalmol. 2018, 96, 379–383. [Google Scholar] [CrossRef]
- Larsson, E.; Holmstrom, G.; Rydberg, A. Ophthalmological findings in 10-year-old full-term children—A population-based study. Acta Ophthalmol. 2015, 93, 192–198. [Google Scholar] [CrossRef]
- Hagen, L.A.; Gjelle, J.V.B.; Arnegard, S.; Pedersen, H.R.; Gilson, S.J.; Baraas, R.C. Prevalence and Possible Factors of Myopia in Norwegian Adolescents. Sci. Rep. 2018, 8, 1–10. [Google Scholar] [CrossRef]
- Polling, J.R.; Gaillard, R.; Hofman, A.; Jaddoe, V.; Vingerling, J.; Klaver, C. Prevalence of myopia at age 6 in a Dutch Birth Cohort Study: The Generation R Study. Investig. Ophthalmol. Vis. Sci. 2013, 54, 5702. [Google Scholar]
- Iyer, V.; Enthoven, C.A.; van Dommelen, P.; van Samkar, A.; Groenewoud, J.H.; Jaddoe, V.V.W.; Reijneveld, S.A.; Klaver, C.C.W. Rates of spectacle wear in early childhood in the Netherlands. BMC Pediatr. 2022, 22, 1–7. [Google Scholar] [CrossRef] [PubMed]
- Trabucco, P.; Salomone, M.; Domanico, I.; gerace e Carnevale, C.; Vingolo, E. Refractive error and amblyopia in a school-children population of Central Italy. Investig. Ophthalmol. Vis. Sci. 2013, 54, 5668. [Google Scholar]
- Demir, P.; Baskaran, K.; Theagarayan, B.; Gierow, P.; Sankaridurg, P.; Macedo, A.F. Refractive error, axial length, environmental and hereditary factors associated with myopia in Swedish children. Clin. Exp. Optom. 2021, 104, 595–601. [Google Scholar] [CrossRef] [PubMed]
- Guillon-Rolf, R.; Grammatico-Guillon, L.; Leveziel, N.; Pelen, F.; Durbant, E.; Chammas, J.; Khanna, R.K. Refractive errors in a large dataset of French children: The ANJO study. Sci. Rep. 2022, 12, 1–7. [Google Scholar] [CrossRef]
- Enthoven, C.A.; Tideman, J.W.L.; Polling, J.R.; Yang-Huang, J.; Raat, H.; Klaver, C.C.W. The impact of computer use on myopia development in childhood: The Generation R study. Prev. Med. 2020, 132, 105988. [Google Scholar] [CrossRef]
- Harrington, S.C.; Stack, J.; Saunders, K.; O’dWyer, V. Refractive error and visual impairment in Ireland schoolchildren. Br. J. Ophthalmol. 2019, 103, 1112–1118. [Google Scholar] [CrossRef]
- Sankaridurg, P.; He, X.; Naduvilath, T.; Lv, M.; Ho, A.; Smith, E.; Erickson, P.; Zhu, J.; Zou, H.; Xu, X. Comparison of noncycloplegic and cycloplegic autorefraction in categorizing refractive error data in children. Acta Ophthalmol. 2017, 95, e633–e640. [Google Scholar] [CrossRef]
- Hashemi, H.; Khabazkhoob, M.; Asharlous, A.; Soroush, S.; Yekta, A.; Dadbin, N.; Fotouhi, A. Cycloplegic autorefraction versus subjective refraction: The Tehran Eye Study. Br. J. Ophthalmol. 2015, 100, 1122–1127. [Google Scholar] [CrossRef]
- Kleinstein, R.N.; Jones, L.A.; Hullett, S.; Kwon, S.; Lee, R.J.; Friedman, N.E.; Manny, R.E.; Mutti, D.O.; Yu, J.A.; Zadnik, K. Refractive Error and Ethnicity in Children. Arch. Ophthalmol. 2003, 121, 1141–1147. [Google Scholar] [CrossRef]
- Wu, P.C.; Chen, C.T.; Lin, K.K.; Sun, C.C.; Kuo, C.N.; Huang, H.M.; Poon, Y.C.; Yang, M.L.; Chen, C.Y.; Huang, J.C.; et al. Myopia Prevention and Outdoor Light Intensity in a School-Based Cluster Randomized Trial. Ophthalmology 2018, 125, 1239–1250. [Google Scholar] [CrossRef]
- Goss, D.A.; Jackson, T.W. Clinical Findings before the Onset of Myopia in Youth: 4. Parental History of Myopia. Optom. Vis. Sci. 1996, 73, 279–282. [Google Scholar] [CrossRef] [PubMed]
- Zhang, X.; Qu, X.; Zhou, X. Association between parental myopia and the risk of myopia in a child. Exp. Ther. Med. 2015, 9, 2420–2428. [Google Scholar] [CrossRef] [PubMed]
- Huang, H.-M.; Chang, D.S.-T.; Wu, P.-C.; Jhanji, V. The Association between Near Work Activities and Myopia in Children—A Systematic Review and Meta-Analysis. PLoS ONE 2015, 10, e0140419. [Google Scholar] [CrossRef]
- Wu, L.J.; You, Q.S.; Duan, J.L.; Luo, Y.X.; Liu, L.J.; Li, X.; Gao, Q.; Zhu, H.P.; He, Y.; Xu, L.; et al. Prevalence and Associated Factors of Myopia in High-School Students in Beijing. PLoS ONE 2015, 10, e0120764. [Google Scholar] [CrossRef]
- Sun, J.T.; An, M.; Yan, X.B.; Li, G.H.; Wang, D.B. Prevalence and Related Factors for Myopia in School-Aged Children in Qingdao. J. Ophthalmol. 2018, 2018, 9781987. [Google Scholar] [CrossRef]
- Zadnik, K.; Satariano, W.A.; Mutti, D.O.; Sholtz, R.I.; Adams, A.J. The effect of parental history of myopia on children’s eye size. JAMA 1994, 271, 1323–1327. [Google Scholar] [CrossRef]
- French, A.N.; Morgan, I.G.; Mitchell, P.; Rose, K.A. Risk factors for incident myopia in Australian schoolchildren: The Sydney adolescent vascular and eye study. Ophthalmology 2013, 120, 2100–2108. [Google Scholar] [CrossRef]
- Xu, C.; Pan, C.; Zhao, C.; Bi, M.; Ma, Q.; Cheng, J.; Song, E. Prevalence and risk factors for myopia in older adult east Chinese population. BMC Ophthalmol. 2017, 17, 191. [Google Scholar] [CrossRef]
- Chen, M.; Wu, A.; Zhang, L.; Wang, W.; Chen, X.; Yu, X.; Wang, K. The increasing prevalence of myopia and high myopia among high school students in Fenghua city, eastern China: A 15-year population-based survey. BMC Ophthalmol. 2018, 18, 159. [Google Scholar] [CrossRef]
- Abuallut, I.I.; Alhulaibi, A.A.; Alyamani, A.A.; Almalki, N.M.; Alrajhi, A.A.; Alharbi, A.H.; Mahfouz, M.S. Prevalence of Refractive Errors and its Associated Risk Factors among Medical Students of Jazan University, Saudi Arabia: A Cross-sectional Study. Middle East Afr. J. Ophthalmol. 2020, 27, 210–217. [Google Scholar] [CrossRef]






| Author/Year | Country | Sample | Age | P Total | P Boys | P Girls | Cycloplegia Refraction | Myopia |
|---|---|---|---|---|---|---|---|---|
| N | Years | % | % | % | Drops | EE (D) | ||
| Mahmudi et al., 2013 [35] | North Macedonia | 119 | 3–9 | 1.6 | NA | NA | (ND) | −0.50 |
| Lundberg et al., 2018 [36] | Denmark | 307 | 14–17 | 17.9 | 20.5 | 15.1 | Tropicamide | −0.50 |
| Sandfeld et al., 2018 [38] | Denmark | 445 | 4.5–7 | 0 | ND | ND | Cyclopentolate | −0.50 |
| Harrington et al., 2019 [47] | Ireland | 728 | 6–7 | 3.3 | NA | NA | (ND) | −0.50 |
| McCullough et al., 2016 [37] | UK (Northern Ireland) | 212 (4) | 6–7 | 1.9 | 1 | 2.8 | Cyclopentolate | −0.50 |
| 226 (37) | 12–13 | 16.4 | 15.5 | 17.1 | ||||
| Demir et al., 2021 [44] | Sweden | 128 | 8–16 | 10 | ND | ND | Cyclopentolate | −0.50 |
| Larsson et al., 2015 [39] | Sweden | 217 | 10 | 5.5 | ND | ND | Cyclopentolate | −0.50 |
| Hagen et al., 2018 [40] | Norway | 246 | 16 | 11 | 6.5 | 14.4 | Cyclopentolate | −0.50 |
| Iyer et al., 2022 [42] | The Netherlands | 6934 | 6 | 2.4 | ND | ND | ND | −0.50 |
| 2974 | 7 | 4 | ND | ND | ||||
| Enthoven et al., 2020 [46] | The Netherlands | 5021 | 6 | 2.2 | ND | ND | Cyclopentolate | −0.50 |
| 4709 | 9 | 11.5 | ND | ND | ||||
| Polling et al., 2013 [41] | The Netherlands | 6690 | 6 | 1.2 | ND | ND | ND | −0.50 |
| Trabucco et al., 2013 [43] | Italy | 500 (33) | 3–10 | 6.6 | 4 | 2.6 | ND | ND |
| Guillon-Rolf et al., 2022 [45] | France | 48,163 | 6 | 10 | ND | ND | Cyclopentolate | −0.50 |
| 9 | 19 | ND | ND | Cyclopentolate/Atropine |
Disclaimer/Publisher’s Note: The statements, opinions and data contained in all publications are solely those of the individual author(s) and contributor(s) and not of MDPI and/or the editor(s). MDPI and/or the editor(s) disclaim responsibility for any injury to people or property resulting from any ideas, methods, instructions or products referred to in the content. |
© 2025 by the authors. Licensee MDPI, Basel, Switzerland. This article is an open access article distributed under the terms and conditions of the Creative Commons Attribution (CC BY) license (https://creativecommons.org/licenses/by/4.0/).
Share and Cite
Ruiz-Pomeda, A.; Hernández-Verdejo, J.L.; Cañadas, P.; Guemes-Villahoz, N.; Povedano-Montero, F.J. Child Myopia Prevalence in Europe: A Systematic Review and Meta-Analysis. Children 2025, 12, 771. https://doi.org/10.3390/children12060771
Ruiz-Pomeda A, Hernández-Verdejo JL, Cañadas P, Guemes-Villahoz N, Povedano-Montero FJ. Child Myopia Prevalence in Europe: A Systematic Review and Meta-Analysis. Children. 2025; 12(6):771. https://doi.org/10.3390/children12060771
Chicago/Turabian StyleRuiz-Pomeda, Alicia, Jose Luis Hernández-Verdejo, Pilar Cañadas, Noemi Guemes-Villahoz, and Francisco Javier Povedano-Montero. 2025. "Child Myopia Prevalence in Europe: A Systematic Review and Meta-Analysis" Children 12, no. 6: 771. https://doi.org/10.3390/children12060771
APA StyleRuiz-Pomeda, A., Hernández-Verdejo, J. L., Cañadas, P., Guemes-Villahoz, N., & Povedano-Montero, F. J. (2025). Child Myopia Prevalence in Europe: A Systematic Review and Meta-Analysis. Children, 12(6), 771. https://doi.org/10.3390/children12060771

