Physical, Cognitive, Emotional, and Social Health Outcomes of Parents in the First Six Months after Childhood Critical Illness: A Prospective Single Centre Study
Abstract
1. Introduction
2. Materials and Methods
2.1. Objectives
2.2. Study Design
2.3. Participants
2.4. Measurement Instruments
2.5. Data Collection
2.6. Data Analysis
2.7. Ethical Considerations
3. Results
3.1. Participants and Child’s Clinical Characteristics
3.2. Overall Six-Month Health Outcomes Post-PICU Discharge
3.3. Trajectory-Based Categorization of Participants
3.4. Participant Characteristics across Health Outcome Trajectories
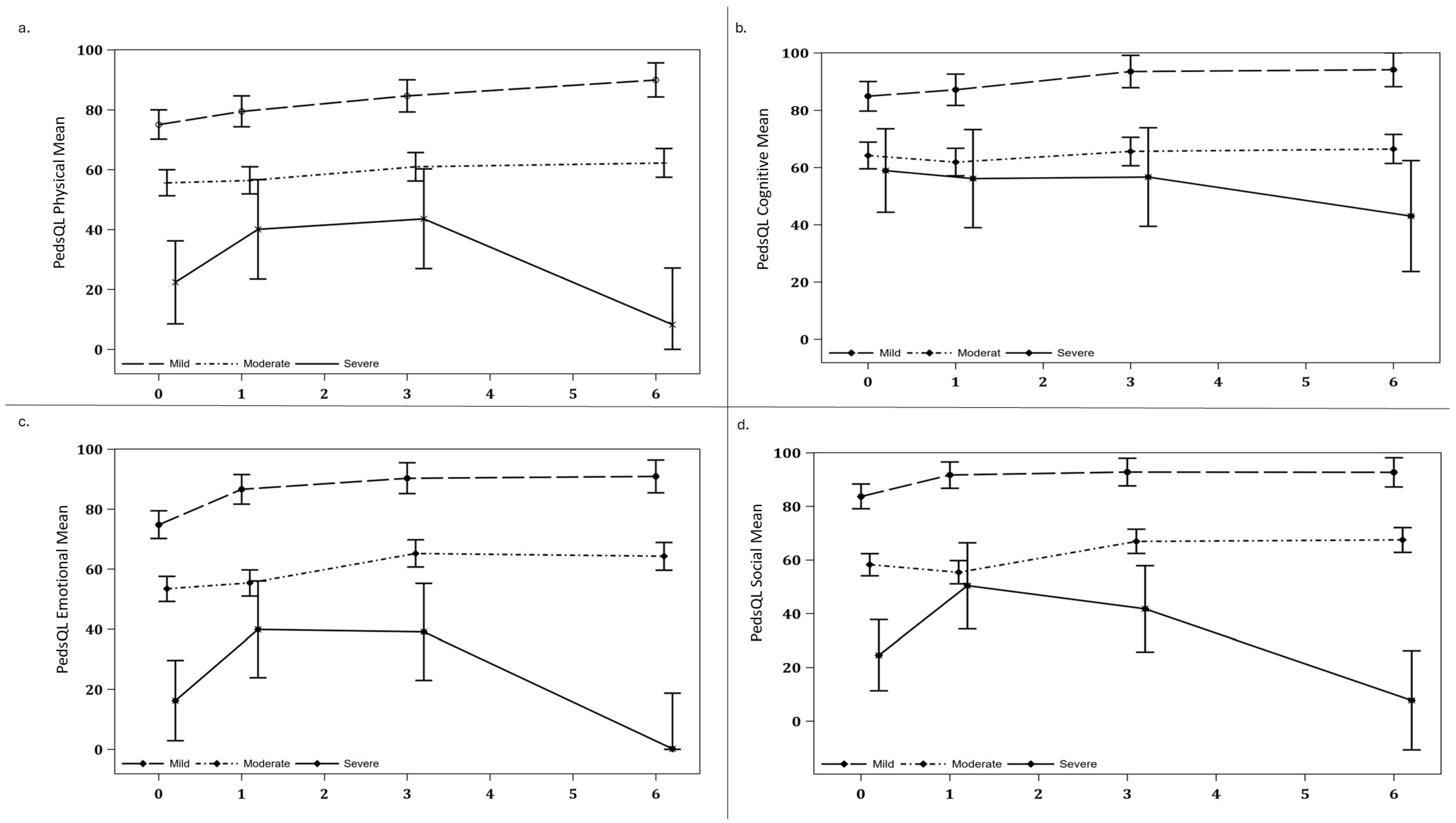
3.5. Health Outcome Differences by Trajectory Group
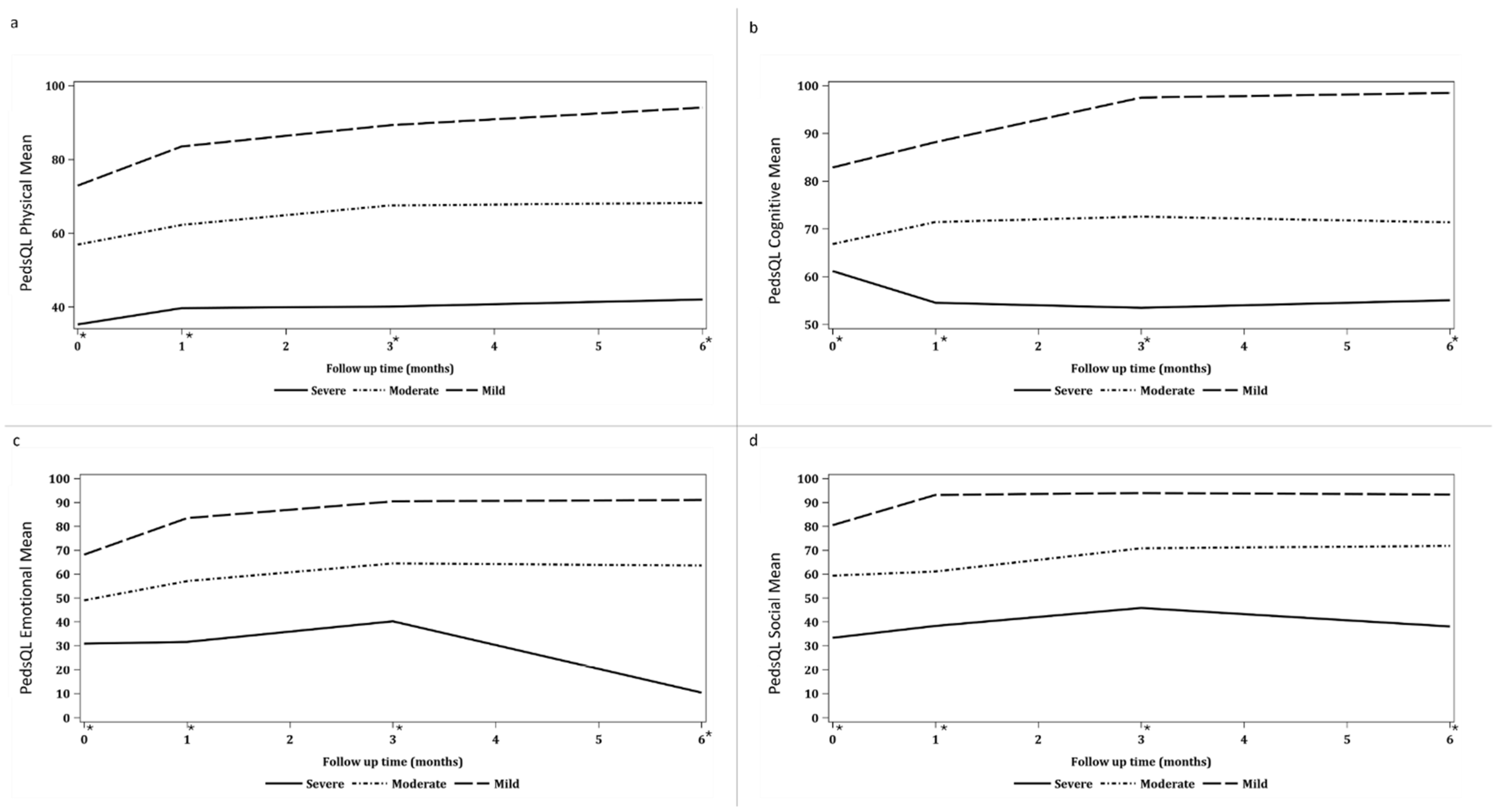
3.6. Longitudinal Changes in Health Outcomes by Trajectory Group
4. Discussion
5. Conclusions
Supplementary Materials
Author Contributions
Funding
Institutional Review Board Statement
Informed Consent Statement
Data Availability Statement
Acknowledgments
Conflicts of Interest
References
- Johnson, K.T.; Gorges, M.; Murthy, S. Characteristics and Timing of Mortality in Children Dying With Infections in North American PICUs. Pediatr. Crit. Care Med. 2021, 22, 365–379. [Google Scholar] [CrossRef] [PubMed]
- Killien, E.Y.; Keller, M.R.; Watson, R.S.; Hartman, M.E. Epidemiology of Intensive Care Admissions for Children in the US From 2001 to 2019. JAMA Pediatr. 2023, 177, 506–515. [Google Scholar] [CrossRef] [PubMed]
- Namachivayam, P.; Shann, F.; Shekerdemian, L.; Taylor, A.; van Sloten, I.; Delzoppo, C.; Daffey, C.; Butt, W. Three decades of pediatric intensive care: Who was admitted, what happened in intensive care, and what happened afterward. Pediatr. Crit. Care Med. 2010, 11, 549–555. [Google Scholar] [CrossRef] [PubMed]
- Abela, K.M.; Wardell, D.; Rozmus, C.; LoBiondo-Wood, G. Impact of Pediatric Critical Illness and Injury on Families: An Updated Systematic Review. J. Pediatr. Nurs. 2020, 51, 21–31. [Google Scholar] [CrossRef] [PubMed]
- Senna, S.; Ong, C.; Wong, J.J.; Allen, J.C., Jr.; Sultana, R.; Lee, J.H. Prediction of Acquired Morbidity Using Illness Severity Indices in Pediatric Intensive Care Patients. Pediatr. Crit. Care Med. 2020, 21, e972–e980. [Google Scholar] [CrossRef] [PubMed]
- Woolf-King, S.E.; Anger, A.; Arnold, E.A.; Weiss, S.J.; Teitel, D. Mental Health Among Parents of Children With Critical Congenital Heart Defects: A Systematic Review. J. Am. Heart Assoc. 2017, 6, e004862. [Google Scholar] [CrossRef] [PubMed]
- Debelic, I.; Mikolcic, A.; Tihomirovic, J.; Baric, I.; Lendic, D.; Niksic, Z.; Sencaj, B.; Lovric, R. Stressful Experiences of Parents in the Paediatric Intensive Care Unit: Searching for the Most Intensive PICU Stressors. Int. J. Environ. Res. Public Health 2022, 19, 11450. [Google Scholar] [CrossRef] [PubMed]
- Stremler, R.; Dhukai, Z.; Pullenayegum, E.; Weston, J.; Wong, L.; Parshuram, C. Sleep, sleepiness, and fatigue outcomes for parents of critically ill children. Pediatr. Crit. Care Med. 2014, 15, e56–e65. [Google Scholar] [CrossRef]
- Alzawad, Z.; Marcus Lewis, F.; Ngo, L.; Thomas, K. Exploratory model of parental stress during children’s hospitalisation in a paediatric intensive care unit. Intensive Crit. Care Nurs. 2021, 67, 103109. [Google Scholar] [CrossRef]
- Lisanti, A.J.; Allen, L.R.; Kelly, L.; Medoff-Cooper, B. Maternal Stress and Anxiety in the Pediatric Cardiac Intensive Care Unit. Am. J. Crit. Care 2017, 26, 118–125. [Google Scholar] [CrossRef]
- Latour, J.M.; van Goudoever, J.B.; Schuurman, B.E.; Albers, M.J.; van Dam, N.A.; Dullaart, E.; van Heerde, M.; Verlaat, C.W.; van Vught, E.M.; Hazelzet, J.A. A qualitative study exploring the experiences of parents of children admitted to seven Dutch pediatric intensive care units. Intensive Care Med. 2011, 37, 319–325. [Google Scholar] [CrossRef] [PubMed]
- Poh, P.F.; Carey, M.C.; Manning, J.C.; Lee, J.H.; Latour, J.M. Parental emotional, social and transitional health in the first 6 months after childhood critical illness: A longitudinal qualitative study. J. Adv. Nurs. 2024. [Google Scholar] [CrossRef] [PubMed]
- Poh, P.-F.; Carey, M.C.; Lee, J.H.; Manning, J.C.; Latour, J.M. Impact of ethnicity on parental health outcomes and experiences after paediatric intensive care unit discharge: A mixed-methods systematic review. Eur. J. Pediatr. 2022, 181, 3817–3829. [Google Scholar] [CrossRef] [PubMed]
- Long, D.A.; Gilholm, P.; Le Brocque, R.; Kenardy, J.; Gibbons, K.; Dow, B.L. Post-traumatic stress and health-related quality of life after admission to paediatric intensive care: Longitudinal associations in mother-child dyads. Aust. Crit. Care 2023, 37, 98–105. [Google Scholar] [CrossRef] [PubMed]
- Manning, J.C.; Pinto, N.P.; Rennick, J.E.; Colville, G.; Curley, M.A.Q. Conceptualizing Post Intensive Care Syndrome in Children-The PICS-p Framework. Pediatr. Crit. Care Med. 2018, 19, 298–300. [Google Scholar] [CrossRef] [PubMed]
- Poh, P.F.; Lee, J.H.; Manning, J.C.; Carey, M.C.; Sultana, R.; Latour, J.M. Singapore’s health outcomes after critical illness in kids: A study protocol exploring health outcomes of families 6 months after critical illness. J. Adv. Nurs. 2021, 77, 3531–3541. [Google Scholar] [CrossRef] [PubMed]
- von Elm, E.; Altman, D.G.; Egger, M.; Pocock, S.J.; Gotzsche, P.C.; Vandenbroucke, J.P.; Initiative, S. Strengthening the Reporting of Observational Studies in Epidemiology (STROBE) statement: Guidelines for reporting observational studies. BMJ 2007, 335, 806–808. [Google Scholar] [CrossRef] [PubMed]
- Varni, J.W.; Sherman, S.A.; Burwinkle, T.M.; Dickinson, P.E.; Dixon, P. The PedsQL Family Impact Module: Preliminary reliability and validity. Health Qual. Life Outcomes 2004, 2, 55. [Google Scholar] [CrossRef] [PubMed]
- Kroenke, K.; Spitzer, R.L.; Williams, J.B.; Lowe, B. An ultra-brief screening scale for anxiety and depression: The PHQ-4. Psychosomatics 2009, 50, 613–621. [Google Scholar] [CrossRef]
- Sveen, J.; Bondjers, K.; Willebrand, M. Psychometric properties of the PTSD Checklist for DSM-5: A pilot study. Eur. J. Psychotraumatol. 2016, 7, 30165. [Google Scholar] [CrossRef]
- Baldacchino, D.R.; Buhagiar, A. Psychometric evaluation of the Spiritual Coping Strategies scale in English, Maltese, back-translation and bilingual versions. J. Adv. Nurs. 2003, 42, 558–570. [Google Scholar] [CrossRef] [PubMed]
- Jones, B.L.; Nagin, D.S.; Roeder, K. A SAS procedure based on mixture models for estimating developmental trajectories. Sociol. Methods Res. 2001, 29, 19. [Google Scholar] [CrossRef]
- Nagin, D.S.; Odgers, C.L. Group-based trajectory modeling in clinical research. Annu. Rev. Clin. Psychol. 2010, 6, 29. [Google Scholar] [CrossRef] [PubMed]
- Department of Statistics Singapore. Census of Population 2020 Statistical Release 1: Demographic Characteristics, Education, Language and Religion; Government of Singapore: Singapore, 2020.
- Ministry of Trade & Industry. Key Households Income Trends 2023; Government of Singapore: Singapore, 2023.
- Andrist, E.; Riley, C.L.; Brokamp, C.; Taylor, S.; Beck, A.F. Neighborhood Poverty and Pediatric Intensive Care Use. Pediatrics 2019, 144, e20190748. [Google Scholar] [CrossRef] [PubMed]
- Carlton, E.F.; Moniz, M.H.; Scott, J.W.; Prescott, H.C.; Becker, N.V. Financial outcomes after pediatric critical illness among commercially insured families. Crit. Care 2023, 27, 227. [Google Scholar] [CrossRef] [PubMed]
- O’Meara, A.; Akande, M.; Yagiela, L.; Hummel, K.; Whyte-Nesfield, M.; Michelson, K.N.; Radman, M.; Traube, C.; Manning, J.C.; Hartman, M.E. Family Outcomes after the Pediatric Intensive Care Unit: A Scoping Review. J. Intensive Care Med. 2022, 37, 1179–1198. [Google Scholar] [CrossRef]
- Poh, P.F.; Carey, M.C.; Manning, J.C.; Lee, J.H.; Latour, J.M. Ethnic differences in parental experiences during the first six months after PICU discharge in Singapore: A qualitative study. Front. Pediatr. 2023, 11, 1288507. [Google Scholar] [CrossRef]
- Woodruff, A.G.; Choong, K. Long-term outcomes and the post-intensive care syndrome in critically ill children: A north american perspective. Children 2021, 8, 254. [Google Scholar] [CrossRef] [PubMed]
- Rennick, J.E.; St-Sauveur, I.; Knox, A.M.; Ruddy, M. Exploring the experiences of parent caregivers of children chronic medical complexity during pediatric intensive care unit hospitalization: An interpretive descriptive study. BMC Pediatr. 2019, 19, 272. [Google Scholar] [CrossRef]
- Rennick, J.E.; Knox, A.M.; Treherne, S.C.; Dryden-Palmer, K.; Stremler, R.; Chambers, C.T.; McRae, L.; Ho, M.; Stack, D.M.; Dougherty, G.; et al. Family Members’ Perceptions of Their Psychological Responses One Year Following Pediatric Intensive Care Unit (PICU) Hospitalization: Qualitative Findings From the Caring Intensively Study. Front. Pediatr. 2021, 9, 724155. [Google Scholar] [CrossRef]
- Indrayan, A.; Mishra, A. The importance of small samples in medical research. J. Postgrad. Med. 2021, 67, 219–223. [Google Scholar] [CrossRef] [PubMed]
- Grandjean, C.; Rahmaty, Z.; Perez, M.-H.; Ramelet, A.-S.; Lauria, A.-L.; Polito, A.; Bochaton, N.; Trachsel, D.; Marston, M.; Schnidrig, S.; et al. Psychosocial outcomes in mothers and fathers of chronic critically ill children: A national prospective longitudinal study. Intensive Care Med.—Paediatr. Neonatal 2024, 2, 9. [Google Scholar] [CrossRef]
- Yagiela, L.M.; Carlton, E.F.; Meert, K.L.; Odetola, F.O.; Cousino, M.K. Parent Medical Traumatic Stress and Associated Family Outcomes after Pediatric Critical Illness: A Systematic Review. Pediatr. Crit. Care Med. 2019, 20, 759–768. [Google Scholar] [CrossRef]
- Logan, G.E.; Sahrmann, J.M.; Gu, H.; Hartman, M.E. Parental Mental Health Care after Their Child’s Pediatric Intensive Care Hospitalization. Pediatr. Crit. Care Med. 2020, 21, 941–948. [Google Scholar] [CrossRef] [PubMed]
- Terp, K.; Weis, J.; Lundqvist, P. Parents’ Views of Family-Centered Care at a Pediatric Intensive Care Unit-A Qualitative Study. Front. Pediatr. 2021, 9, 725040. [Google Scholar] [CrossRef] [PubMed]
- Ladak, L.A.; Premji, S.S.; Amanullah, M.M.; Haque, A.; Ajani, K.; Siddiqui, F.J. Family-centered rounds in Pakistani pediatric intensive care settings: Non-randomized pre- and post-study design. Int. J. Nurs. Stud. 2013, 50, 717–726. [Google Scholar] [CrossRef]
- Miller, L.; Richard, M.; Krmpotic, K.; Kennedy, A.; Seabrook, J.; Slumkoski, C.; Walls, M.; Foster, J. Parental presence at the bedside of critically ill children in the pediatric intensive care unit: A scoping review. Eur. J. Pediatr. 2022, 181, 823–831. [Google Scholar] [CrossRef]
- Baker, S.C.; Gledhill, J.A. Systematic Review of Interventions to Reduce Psychiatric Morbidity in Parents and Children after PICU Admissions. Pediatr. Crit. Care Med. 2017, 18, 343–348. [Google Scholar] [CrossRef] [PubMed]



| Variables | Total (n = 128) | Mild Trajectory (n = 54) | Moderate Trajectory (n = 68) | Severe Trajectory (n = 6) |
|---|---|---|---|---|
| Parents’ age, mean (SD) | 39.3 (8.1) | 39.0 (9.5) | 40.1 (6.4) | 34.0 (12.1) |
| Mother, n (%) | 91.0 (71.1) | 33.0 (61.1) | 53.0 (77.9) | 5.0 (83.3) |
| Marital status, n (%) | 128 | 54 | 68 | 6 |
| Divorced/Separated | 5.0 (3.9) | 1.0 (1.9) | 3.0 (4.4) | 1.0 (16.7) |
| Married | 118.0 (92.2) | 48.0 (88.9) | 65.0 (95.6) | 5.0 (83.3) |
| Highest education, n (%) | 128 | 54 | 68 | 6 |
| Secondary | 28 (22.0) | 13 (24.0) | 12 (19.0) | 2 (33.0) |
| Polytechnic | 33.0 (25.8) | 16.0 (29.6) | 15.0 (22.1) | 2.0 (33.3) |
| Post-graduate | 36.0 (28.1) | 13.0 (24.1) | 22.0 (32.4) | 1.0 (16.7) |
| Undergraduate | 31.0 (24.2) | 12.0 (22.2) | 18.0 (26.5) | 1.0 (16.7) |
| Race, n (%) | 128 | 54 | 68 | 6 |
| Chinese | 73.0 (57.0) | 27.0 (50.0) | 43.0 (63.2) | 3.0 (50.0) |
| Indian | 8.0 (6.3) | 5.0 (9.3) | 3.0 (4.4) | 0 |
| Malay | 38.0 (29.7) | 17.0 (31.5) | 18.0 (26.5) | 3.0 (50.0) |
| Others | 9.0 (7.0) | 5.0 (9.3) | 4.0 (5.9) | 0 |
| Employment status, n (%) | 128 | 54 | 68 | 6 |
| Unemployed | 91.0 (71.1) | 40.0 (74.1) | 49.0 (72.1) | 2.0 (33.3) |
| Yes, full-time | 14.0 (10.9) | 5.0 (9.3) | 8.0 (11.8) | 1.0 (16.7) |
| Household income, SGD n (%) | 128 | 54 | 68 | 6 |
| <$1100 | 10.0 (7.8) | 5.0 (9.3) | 3.0 (4.4) | 2.0 (33.3) |
| $1101–2250 | 17.0 (13.3) | 10.0 (18.5) | 6.0 (08.8) | 1.0 (16.7) |
| $2251–4499 | 32.0 (25.0) | 16.0 (29.6) | 15.0 (22.1) | 1.0 (16.7) |
| $5000–6800 | 46.0 (35.9) | 19.0 (35.2) | 25.0 (36.8) | 2.0 (33.3) |
| $9000–11,249 | 11.0 (8.6) | 3.0 (5.6) | 8.0 (11.8) | 0 |
| >$11,250 | 12.0 (9.4) | 1.0 (1.9) | 11.0 (16.2) | 0 |
| Variables | Total (n = 128) | Mild Trajectory (n = 54) | Moderate Trajectory (n = 68) | Severe Trajectory (n = 6) |
|---|---|---|---|---|
| Male, n (%) | 71 (55.9) | 30 (55.6) | 38 (56.7) | 3 (50.0) |
| Child’s age (years), mean (SD) | 5 (5.4) | 5 (5.1) | 6 (5.6) | 4 (5.4) |
| Weight (kg), mean (SD) | 24 (20.0) | 24 (21.0) | 23 (18.8) | 28 (26.4) |
| Height (cm), mean (SD) | 111 (35.7) | 111 (33.5) | 111 (37.5) | 108 (41.4) |
| Pre-existing illness, n (%) | 56 (44.1) | 23 (42.6) | 30 (44.8) | 3 (50.0) |
| PIM III illness severity score, mean (SD) | 3 (4.01) | 3 (4.46) | 2 (3.62) | 3 (4.2) |
| Admission diagnosis, n (%) | ||||
| Cardiac | 29 (22.8) | 14 (25.9) | 15 (22.4) | 0 |
| Medical | 58 (45.7) | 26 (48.1) | 30 (44.8) | 2 (33.3) |
| Neurology | 13 (10.2) | 4 (07.4) | 8 (11.9) | 1 (16.7) |
| Oncology | 13 (10.2) | 4 (07.4) | 8 (11.9) | 1 (16.7) |
| Surgical | 14 (11.0) | 6 (11.1) | 6 (9.0) | 2 (33.3) |
| Use of inotropes, n (%) | 52 (41.6) | 26 (49.1) | 25 (37.9) | 1 (16.7) |
| Use of sedation, n (%) | 79 (63.2) | 32 (59.3) | 43 (66.2) | 4 (66.7) |
| Use of analgesia, n (%) | 89 (70.1) | 34 (63.0) | 50 (74.6) | 5 (83.3) |
| Mechanical ventilation (MV), n (%) | 85 (66.9) | 32 (59.3) | 48 (71.6) | 5 (83.3) |
| Duration of MV, days, mean (SD) | 5 (8.91) | 4 (5.07) | 4 (7.99) | 18 (25.8) |
| Tracheostomy creation, n (%) | 5 (3.9) | 1 (1.9) | 2 (3.0) | 2 (33.3) |
| ECMO, n (%) | 4 (3.2) | 1 (2.0) | 3 (4.5) | 0 |
| Duration of ECMO, days, mean (SD) | 6 (2.08) | 4 (NA) | 7 (1.53) | 0 |
| Early mobilisation, n (%) | 67 (53.2) | 29 (54.7) | 35 (51.5) | 3 (60.0) |
| Length of PICU admission, days, mean (SD) | 9 (22.6) | 9 (25.0) | 7 (10.3) | 38 (61.5) |
| PICU readmission, n (%) | 17 (13.4) | 9 (16.7) | 7 (10.4) | 1 (16.7) |
| Length of hospitalisation, days, mean (SD) | 34 (61.09) | 34 (69.1) | 28 (36.7) | 105 (138.4) |
| Hospital readmission, n (%) | 39 (31.0) | 12 (22.2) | 23 (34.8) | 4 (66.7) |
| Group | Outcome | PICU Discharge vs. 1 Month Mean Diff (95% CI) | p-Value | 1 Month vs. 3 Month Mean Diff (95% CI) | p-Value | 3 Month vs. 6 Month Mean Diff (95% CI) | p-Value |
|---|---|---|---|---|---|---|---|
| Mild | Physical | −4.40 (−10.23, 1.43) | 0.139 | −5.15 (−11.33, 1.04) | 0.103 | −5.32 (−11.92, 1.27) | 0.113 |
| Cognitive | 2.77 (−15.41, 20.95) | 0.765 | −0.53 (−20.55, 19.49) | 0.959 | 13.62 (−7.63, 34.87) | 0.208 | |
| Emotional | −11.79 (−17.77, −5.81) | <0.001 | −3.73 (−10.08, 2.62) | 0.249 | −0.60 (−7.37, 6.17) | 0.861 | |
| Social | −7.99 (−13.95, −2.03) | 0.009 | −1.17 (−7.50, 5.16) | 0.716 | 0.14 (−6.61, 6.88) | 0.968 | |
| Moderate | Physical | −0.81 (−5.94, 4.32) | 0.756 | −4.53 (−9.87, 0.81) | 0.096 | −1.30 (−6.82, 4.22) | 0.644 |
| Cognitive | 3.82 (−1.04, 8.68) | 0.123 | −3.90 (−8.95, 1.15) | 0.130 | −0.81 (−6.03, 4.41) | 0.761 | |
| Emotional | −1.98 (−7.25, 3.29) | 0.460 | −9.82 (−15.31, −4.34) | 0.001 | 0.98 (−4.70, 6.66) | 0.734 | |
| Social | 2.80 (−2.45, 8.05) | 0.294 | −11.52 (−16.98, −6.05) | <0.0001 | −0.52 (−6.18, 5.14) | 0.857 | |
| Severe | Physical | −17.67 (−36.77, 1.43) | 0.070 | −3.54 (−24.57, 17.48) | 0.740 | 35.38 (12.96, 57.81) | 0.002 |
| Cognitive | −2.32 (−7.85, 3.21) | 0.411 | −6.34 (−12.19, −0.48) | 0.034 | −0.65 (−6.90, 5.60) | 0.838 | |
| Emotional | −23.70 (−43.21, −4.19) | 0.017 | 0.84 (−20.61, 22.29) | 0.939 | 38.95 (15.95, 61.95) | 0.001 | |
| Social | −25.85 (−45.28, −6.42) | 0.009 | 8.59 (−12.77, 29.96) | 0.429 | 34.07 (11.16, 56.98) | 0.004 |
Disclaimer/Publisher’s Note: The statements, opinions and data contained in all publications are solely those of the individual author(s) and contributor(s) and not of MDPI and/or the editor(s). MDPI and/or the editor(s) disclaim responsibility for any injury to people or property resulting from any ideas, methods, instructions or products referred to in the content. |
© 2024 by the authors. Licensee MDPI, Basel, Switzerland. This article is an open access article distributed under the terms and conditions of the Creative Commons Attribution (CC BY) license (https://creativecommons.org/licenses/by/4.0/).
Share and Cite
Poh, P.-F.; Lee, J.H.; Sultana, R.; Manning, J.C.; Carey, M.C.; Latour, J.M. Physical, Cognitive, Emotional, and Social Health Outcomes of Parents in the First Six Months after Childhood Critical Illness: A Prospective Single Centre Study. Children 2024, 11, 948. https://doi.org/10.3390/children11080948
Poh P-F, Lee JH, Sultana R, Manning JC, Carey MC, Latour JM. Physical, Cognitive, Emotional, and Social Health Outcomes of Parents in the First Six Months after Childhood Critical Illness: A Prospective Single Centre Study. Children. 2024; 11(8):948. https://doi.org/10.3390/children11080948
Chicago/Turabian StylePoh, Pei-Fen, Jan Hau Lee, Rehena Sultana, Joseph C. Manning, Matthew C. Carey, and Jos M. Latour. 2024. "Physical, Cognitive, Emotional, and Social Health Outcomes of Parents in the First Six Months after Childhood Critical Illness: A Prospective Single Centre Study" Children 11, no. 8: 948. https://doi.org/10.3390/children11080948
APA StylePoh, P.-F., Lee, J. H., Sultana, R., Manning, J. C., Carey, M. C., & Latour, J. M. (2024). Physical, Cognitive, Emotional, and Social Health Outcomes of Parents in the First Six Months after Childhood Critical Illness: A Prospective Single Centre Study. Children, 11(8), 948. https://doi.org/10.3390/children11080948

