Primary and Secondary Variants of Callous-Unemotional Traits in Community Youths: Differences in Anticipatory Fear
Abstract
1. Introduction
2. Methods
2.1. Participants
2.2. Measures
2.3. Countdown Task
2.4. Psychophysiological Data Recording and Quantification
2.5. Statistical Analysis
3. Results
3.1. Descriptive Statistics
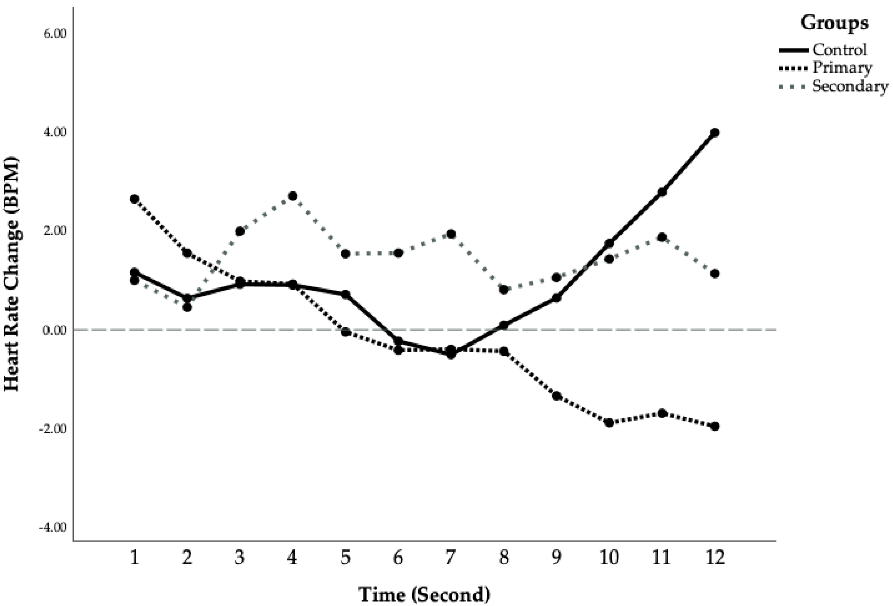
3.2. Group Differences in Anticipatory Fear Responses
4. Discussion
Author Contributions
Funding
Institutional Review Board Statement
Informed Consent Statement
Data Availability Statement
Acknowledgments
Conflicts of Interest
References
- Craig, S.; Goulter, N.; Moretti, M. A systematic review of primary and secondary callous-unemotional traits and psychopathy variants in youth. Clin. Child Fam. Psychol. Rev. 2021, 24, 65–91. [Google Scholar] [CrossRef] [PubMed]
- Frick, P.J.; Kimonis, E.R.; Dandreaux, D.M.; Farell, J.M. The 4 year stability of psychopathic traits in non-referred youth. Behav. Sci. Law 2003, 21, 713–736. [Google Scholar] [CrossRef] [PubMed]
- Moore, A.A.; Blair, R.J.; Hettema, J.M.; Roberson-Nay, R. The genetic underpinnings of callous-unemotional traits: A systematic research review. Neurosci. Biobehav. Rev. 2019, 100, 85–97. [Google Scholar] [CrossRef] [PubMed]
- Bennett, D.C.; Kerig, P.K. Investigating the construct of trauma-related acquired callousness among delinquent youth: Differences in emotion processing. J. Trauma. Stress 2014, 27, 415–422. [Google Scholar] [CrossRef] [PubMed]
- Karpman, B. The myth of the psychopathic personality. Am. J. Psychiatry 1948, 104, 523–534. [Google Scholar] [CrossRef]
- Kahn, R.E.; Frick, P.J.; Youngstrom, E.A.; Kogos Youngstrom, J.; Feeny, N.C.; Findling, R.L. Distinguishing primary and secondary variants of callous-unemotional traits among adolescents in a clinic-referred sample. Psychol. Assess. 2013, 25, 966. [Google Scholar] [CrossRef]
- Kimonis, E.R.; Fanti, K.A.; Isoma, Z.; Donoghue, K. Maltreatment profiles among incarcerated boys with callous-unemotional traits. Child Maltreatment 2013, 18, 108–121. [Google Scholar] [CrossRef]
- Ezpeleta, L.; Granero, R.; de la Osa, N.; Domènech, J.M. Developmental trajectories of callous-unemotional traits, anxiety and oppositionality in 3–7 year-old children in the general population. Personal. Individ. Differ. 2017, 111, 124–133. [Google Scholar] [CrossRef]
- Fanti, K.A.; Kimonis, E. Heterogeneity in externalizing problems at age 3: Association with age 15 biological and environmental outcomes. Dev. Psychol. 2017, 53, 1230. [Google Scholar] [CrossRef] [PubMed]
- Kaouar, S.; Fleming, G.E.; Neo, B.; Hawes, D.J.; Eapen, V.; Kimonis, E.R. Dimensions of warm parenting attributions differentiate conduct problem subtypes in young children. Res. Child Adolesc. Psychopathol. 2023, 52, 223–236. [Google Scholar] [CrossRef] [PubMed]
- Fleming, G.E.; Neo, B.; Kaouar, S.; Kimonis, E.R. Treatment outcomes of children with primary versus secondary callous-unemotional traits. Res. Child Adolesc. Psychopathol. 2023, 51, 1581–1594. [Google Scholar] [CrossRef] [PubMed]
- Marsh, A.A.; Cardinale, E.M. Psychopathy and fear: Specific impairments in judging behaviors that frighten others. Emotion 2012, 12, 892–898. [Google Scholar] [CrossRef] [PubMed]
- Raine, A. The Psychopathology of Crime: Criminal Behavior as a Clinical Disorder; Academic Press: Cambridge, MA, USA, 1993. [Google Scholar]
- Giannouli, V. Crime and legal issues among intellectually disabled individuals. In Handbook of Research on Diagnosing, Treating, and Managing Intellectual Disabilities; IGI Global: Hershey, PA, USA, 2016; pp. 346–369. [Google Scholar]
- Blair, R.J.R. Responsiveness to distress cues in the child with psychopathic tendencies. Personal. Individ. Differ. 1999, 27, 135–145. [Google Scholar] [CrossRef]
- Fanti, K.A.; Panayiotou, G.; Lazarou, C.; Michael, R.; Georgiou, G. The better of two evils? Evidence that children exhibiting continuous conduct problems high or low on callous–unemotional traits score on opposite directions on physiological and behavioral measures of fear. Dev. Psychopathol. 2016, 28, 185–198. [Google Scholar] [CrossRef] [PubMed]
- de Wied, M.; van Boxtel, A.; Matthys, W.; Meeus, W. Verbal, facial and autonomic responses to empathy-eliciting film clips by disruptive male adolescents with high versus low callous-unemotional traits. J. Abnorm. Child Psychol. 2012, 40, 211–223. [Google Scholar] [CrossRef]
- Viding, E.; Sebastian, C.L.; Dadds, M.R.; Lockwood, P.L.; Cecil, C.A.; De Brito, S.A.; McCrory, E.J. Amygdala response to preattentive masked fear in children with conduct problems: The role of callous-unemotional traits. Am. J. Psychiatry 2012, 169, 1109–1116. [Google Scholar] [CrossRef]
- Sharp, C.; Van Goozen, S.; Goodyer, I. Children’s subjective emotional reactivity to affective pictures: Gender differences and their antisocial correlates in an unselected sample of 7–11-year-olds. J. Child Psychol. Psychiatry 2006, 47, 143–150. [Google Scholar] [CrossRef]
- Kimonis, E.R.; Frick, P.J.; Munoz, L.C.; Aucoin, K.J. Callous-unemotional traits and the emotional processing of distress cues in detained boys: Testing the moderating role of aggression, exposure to community violence, and histories of abuse. Dev. Psychopathol. 2008, 20, 569–589. [Google Scholar] [CrossRef]
- Fung, M.T.; Raine, A.; Loeber, R.; Lynam, D.R.; Steinhauer, S.R.; Venables, P.H.; Stouthamer-Loeber, M. Reduced electrodermal activity in psychopathy-prone adolescents. J. Abnorm. Psychol. 2005, 114, 187–196. [Google Scholar] [CrossRef]
- MacDougall, E.A.; Salekin, R.T.; Gillen, C.T. Adolescent psychopathy, heart rate, and skin conductance. Psychophysiology 2019, 56, e13344. [Google Scholar] [CrossRef]
- Wang, P.; Baker, L.A.; Gao, Y.; Raine, A.; Lozano, D.I. Psychopathy and physiological responses to aversive stimuli in children aged 9–10 years. J. Abnorm. Child Psychol. 2012, 40, 759–769. [Google Scholar] [CrossRef]
- Hare, R.D. Electrodermal and cardiovascular correlates of psychopathy. In Psychopathic Behavior: Approaches to Research; Hare, R.D., Schalling, D., Eds.; Wiley: Hoboken, NJ, USA, 1978; pp. 107–143. [Google Scholar]
- Hare, R.D.; Craigen, D. Psychopathy and physiological activity in a mixed-motive game situation. Psychophysiology 1974, 11, 197–206. [Google Scholar] [CrossRef]
- Ogloff, J.R.; Wong, S. Electrodermal and cardiovascular evidence of a coping response in psychopaths. Crim. Justice Behav. 1990, 17, 231–245. [Google Scholar] [CrossRef]
- Fowles, D.C. The three arousal model: Implications of Gray’s two-factor learning theory for heart rate, electrodermal activity, and psychopathy. Psychophysiology 1980, 17, 87–104. [Google Scholar] [CrossRef]
- Hare, R.D.; Quinn, M.J. Psychopathy and autonomic conditioning. J. Abnorm. Psychol. 1971, 77, 223. [Google Scholar] [CrossRef]
- Tharp, V.K.; Maltzman, I.; Syndulko, K.; Ziskind, E. Autonomic activity during anticipation of an aversive tone in noninstitutionalized sociopaths. Psychophysiology 1980, 17, 123–128. [Google Scholar] [CrossRef] [PubMed]
- Hofmann, M.J.; Schneider, S.; Mokros, A. Fearless but anxious? A systematic review on the utility of fear and anxiety levels to classify subtypes of psychopathy. Behav. Sci. Law 2021, 39, 512–540. [Google Scholar] [CrossRef] [PubMed]
- Decety, J. The neurodevelopment of empathy in humans. Dev. Neurosci. 2010, 32, 257–267. [Google Scholar] [CrossRef] [PubMed]
- Frick, P.J.; Morris, A.S. Temperament and developmental pathways to conduct problems. J. Clin. Child Adolesc. Psychol. 2004, 33, 54–68. [Google Scholar] [CrossRef] [PubMed]
- LeDoux, J. The emotional brain, fear, and the amygdala. Cell. Mol. Neurobiol. 2003, 23, 727–738. [Google Scholar] [CrossRef] [PubMed]
- van Honk, J.; Schutter, D.J. Unmasking feigned sanity: A neurobiological model of emotion processing in primary psychopathy. Cognitive Neuropsychiatry 2006, 11, 285–306. [Google Scholar] [CrossRef]
- Kochanska, G. Multiple pathways to conscience for children with different temperaments: From toddlerhood to age 5. Dev. Psychol. 1997, 33, 228. [Google Scholar] [CrossRef]
- Sethi, A.; McCrory, E.; Puetz, V.; Hoffmann, F.; Knodt, A.R.; Radtke, S.R.; Brigidi, B.D.; Hariri, A.R.; Viding, E. Primary and secondary variants of psychopathy in a volunteer sample are associated with different neurocognitive mechanisms. Biol. Psychiatry Cogn. Neurosci. Neuroimaging 2018, 3, 1013–1021. [Google Scholar] [CrossRef]
- Gao, Y.; Borlam, D.; Zhang, W. The association between heart rate reactivity and fluid intelligence in children. Biol. Psychol. 2015, 107, 69–75. [Google Scholar] [CrossRef]
- Frick, P.J. Inventory of Callous-Unemotional Traits; Unpublished rating scale; University of New Orleans: New Orleans, LA, USA, 2004. [Google Scholar]
- Frick, P.J.; Hare, R.D. Antisocial Process Screening Device (APSD): Technical Manual; Multi-Health Systems: North Tonawanda, NY, USA, 2001. [Google Scholar]
- Gao, Y.; Zhang, W. Confirmatory factor analyses of self-and parent-report inventory of callous-unemotional traits in 8-to 10-year-olds. J. Psychopathol. Behav. Assess. 2016, 38, 331–340. [Google Scholar] [CrossRef] [PubMed]
- Achenbach, T.M. Manual for the Child Behavior Checklist/4-18 and 1991 Profile; University of Vermont Department of Psychiatry: Burlington, VT, USA, 1991. [Google Scholar]
- Achenbach, T.M.; Dumenci, L.; Rescorla, L.A. DSM-oriented and empirically based approaches to constructing scales from the same item pools. J. Clin. Child Adolesc. Psychol. 2003, 32, 328–340. [Google Scholar] [CrossRef] [PubMed]
- Price, M.; Higa-McMillan, C.; Ebesutani, C.; Okamura, K.; Nakamura, B.J.; Chorpita, B.F.; Weisz, J. Symptom differentiation of anxiety and depression across youth development and clinic-referred/nonreferred samples: An examination of competing factor structures of the Child Behavior Checklist DSM-oriented scales. Dev. Psychopathol. 2013, 25, 1005–1015. [Google Scholar] [CrossRef] [PubMed]
- Sharf, A.; Kimonis, E.R.; Howard, A. Negative life events and posttraumatic stress disorder among incarcerated boys with callous-unemotional traits. J. Psychopathol. Behav. Assess. 2014, 36, 401–414. [Google Scholar] [CrossRef]
- Bradley, M.M.; Lang, P.J. Measuring emotion: The self-assessment manikin and the semantic differential. J. Behav. Ther. Exp. Psychiatry 1994, 25, 49–59. [Google Scholar] [CrossRef] [PubMed]
- Gao, Y.; Tuvblad, C.; Schell, A.M.; Baker, L.A.; Raine, A. Skin conductance fear conditioning impairments and aggression: A longitudinal study. Psychophysiology 2015, 52, 288–295. [Google Scholar] [CrossRef] [PubMed]
- Dawson, M.E.; Schell, A.M.; Filion, D.L. The electrodermal system. In Handbook of Psychophysiology; Cacioppo, J.T., Ed.; Cambridge University Press: Cambridge, UK, 2016; pp. 217–243. [Google Scholar]
- Cohen, J. Statistical Power Analysis for the Behavioral Sciences, 2nd ed.; Lawrence Erlbaum: Mahwah, NJ, USA, 1988. [Google Scholar]
- Bradley, M.M.; Keil, A.; Lang, P.J. Orienting and emotional perception: Facilitation, attenuation, and interference. Front. Psychol. 2012, 3, 31941. [Google Scholar] [CrossRef]
- Binder, M.; Barry, R.J.; Kaiser, J. Sensitivity of primary phasic heart rate deceleration to stimulus repetition in a habituation procedure: Influence of a subjective measure of activation/arousal on the evoked cardiac response. Int. J. Psychophysiol. 2005, 55, 61–72. [Google Scholar] [CrossRef]
- Barry, R. Preliminary processes in orienting response elicitation. Adv. Psychophysiol. 1987, 2, 131–195. [Google Scholar]
- Hare, R.D.; Blevings, G. Conditioned orienting and defensive responses. Psychophysiology 1975, 12, 289–297. [Google Scholar] [CrossRef]
- Roelofs, K. Freeze for action: Neurobiological mechanisms in animal and human freezing. Philos. Trans. R. Soc. B Biol. Sci. 2017, 372, 20160206. [Google Scholar] [CrossRef] [PubMed]
- Raine, A.; Venables, P.H. Tonic heart rate level, social class and antisocial behaviour in adolescents. Biol. Psychol. 1984, 18, 123–132. [Google Scholar] [CrossRef] [PubMed]
- Vambheim, S.M.; Kyllo, T.M.; Hegland, S.; Bystad, M. Relaxation techniques as an intervention for chronic pain: A systematic review of randomized controlled trials. Heliyon 2021, 7, e07837. [Google Scholar] [CrossRef] [PubMed]
- Kemp, E.C.; Frick, P.J.; Matlasz, T.M.; Clark, J.E.; Robertson, E.L.; Ray, J.V.; Thornton, L.C.; Wall Myers, T.D.; Steinberg, L.; Cauffman, E. Developing cutoff scores for the inventory of callous-unemotional traits (ICU) in justice-involved and community samples. J. Clin. Child Adolesc. Psychol. 2023, 52, 519–532. [Google Scholar] [CrossRef] [PubMed]
- Isen, J.; Raine, A.; Baker, L.; Dawson, M.E.; Bezdjian, S.; Lozano, D.I. Sex-specific association between psychopathic traits and electrodermal reactivity in children. J. Abnorm. Psychol. 2010, 119, 216–225. [Google Scholar] [CrossRef] [PubMed]
- Sng, K.I.; Hawes, D.J.; Hwang, S.; Allen, J.L.; Fung, D.S. Callous-unemotional traits among children and adolescents in Asian cultures: A systematic review. J. Cross-Cult. Psychol. 2020, 51, 576–596. [Google Scholar] [CrossRef]
- Northam, J.C.; Dadds, M.R. Is callous always cold? A critical review of the literature on emotion and the development of callous–unemotional traits in children. Clin. Child Fam. Psychol. Rev. 2020, 23, 265–283. [Google Scholar] [CrossRef]
- Fanti, K.A.; Kyranides, M.N.; Petridou, M.; Demetriou, C.A.; Georgiou, G. Neurophysiological markers associated with heterogeneity in conduct problems, callous unemotional traits, and anxiety: Comparing children to young adults. Dev. Psychol. 2018, 54, 1634. [Google Scholar] [CrossRef]
- Payot, M.; Monseur, C.; Stievenart, M. Primary and secondary variants of callous–unemotional traits in early and middle childhood: Distinction, evaluation and empathic differences. Child Psychiatry Hum. Dev. 2023, 1–13. [Google Scholar] [CrossRef]
- Clancy, J.A.; Mary, D.A.; Witte, K.K.; Greenwood, J.P.; Deuchars, S.A.; Deuchars, J. Non-invasive vagus nerve stimulation in healthy humans reduces sympathetic nerve activity. Brain Stimul. 2014, 7, 871–877. [Google Scholar] [CrossRef]
- Nolan, R.P.; Kamath, M.V.; Floras, J.S.; Stanley, J.S.; Pang, C.; Picton, P.; Young, Q.R. Heart rate variability biofeedback as a behavioral neurocardiac intervention to enhance vagal heart rate control. Am. Heart J. 2005, 149, 1137.e1–e7. [Google Scholar] [CrossRef]

| Overall Sample (n = 92) | Primary Variant (n = 13) | Secondary Variant (n = 16) | Control (n = 16) | Group Comparisons | |
|---|---|---|---|---|---|
| Male (%) | 57% | 83% | 35% | 45% | χ2 (2) = 9.76, p = 0.008 |
| Age | 14.20 (0.73) | 14.77 (0.50) | 14.46 (0.89) | 14.47 (0.78) | F (2, 58) = 1.02, p = 0.37 |
| Race | 32% White, 42% Black, 26% others | 0% White, 78% Black, 22% others | 26% White, 32% Black, 42% others | 41% White, 27% Black, 32% others | χ2 (4) = 14.92, p = 0.005 |
| CU traits | 30.25 (9.44) | 38.78 (2.60) | 42.76 (5.53) | 19.41 (4.61) | F (2, 58) = 164.58, p < 0.001, η2 = 0.85, Secondary > Primary > Control |
| Anxiety | 2.06 (2.71) | 0.89 (1.45) | 3.30 (3.10) | 1.04 (1.17) | F (2, 58) = 8.35, p < 0.001, η2 = 0.73, Secondary > Primary = Control |
| Valance Rating | 2.96 (0.93) | 3.12 (1.00) | 2.74 (0.81) | 3.05 (1.31) | F (2, 52) = 0.68, p = 0.51 |
| Arousal Rating | 2.88 (1.21) | 2.12 (1.17) | 3.11 (1.24) | 3.31 (1.06) | F (2, 52) = 5.39, p = 0.007, η2 = 0.17, Primary < Secondary = Control |
| Sound Unpleasantness Rating | 4.18 (1.73) | 3.94 (1.89) | 4.45 (1.76) | 4.37 (1.83) | F (2, 53) = 0.40, p = 0.67 |
| Skin Conductance Responses | 0.61 (0.73) | 0.28 (0.32) | 0.73 (0.79) | 0.64 (0.58) | F (2, 39) = 0.39, p = 0.68 |
Disclaimer/Publisher’s Note: The statements, opinions and data contained in all publications are solely those of the individual author(s) and contributor(s) and not of MDPI and/or the editor(s). MDPI and/or the editor(s) disclaim responsibility for any injury to people or property resulting from any ideas, methods, instructions or products referred to in the content. |
© 2024 by the authors. Licensee MDPI, Basel, Switzerland. This article is an open access article distributed under the terms and conditions of the Creative Commons Attribution (CC BY) license (https://creativecommons.org/licenses/by/4.0/).
Share and Cite
Gao, Y.; Raine, A. Primary and Secondary Variants of Callous-Unemotional Traits in Community Youths: Differences in Anticipatory Fear. Children 2024, 11, 359. https://doi.org/10.3390/children11030359
Gao Y, Raine A. Primary and Secondary Variants of Callous-Unemotional Traits in Community Youths: Differences in Anticipatory Fear. Children. 2024; 11(3):359. https://doi.org/10.3390/children11030359
Chicago/Turabian StyleGao, Yu, and Adrian Raine. 2024. "Primary and Secondary Variants of Callous-Unemotional Traits in Community Youths: Differences in Anticipatory Fear" Children 11, no. 3: 359. https://doi.org/10.3390/children11030359
APA StyleGao, Y., & Raine, A. (2024). Primary and Secondary Variants of Callous-Unemotional Traits in Community Youths: Differences in Anticipatory Fear. Children, 11(3), 359. https://doi.org/10.3390/children11030359

