Antibiotic Prescribing Practices and Clinical Outcomes of Pediatric Patients with Campylobacter Enterocolitis
Abstract
1. Introduction
2. Materials and Methods
2.1. Study Patients and Definition
2.2. Data Collection and Analysis
2.3. Statistical Analysis
3. Results
3.1. Patients Characteristics
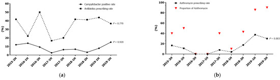
3.2. Antibiotic Prescribing Practices
3.3. Clinical Outcomes
4. Discussion
5. Conclusions
Supplementary Materials
Author Contributions
Funding
Institutional Review Board Statement
Informed Consent Statement
Data Availability Statement
Conflicts of Interest
References
- Same, R.G.; Tamma, P.D. Campylobacter Infections in Children. Pediatr. Rev. 2018, 39, 533–541. [Google Scholar] [CrossRef] [PubMed]
- Kaakoush, N.O.; Castaño-Rodríguez, N.; Mitchell, H.M.; Man, S.M. Global Epidemiology of Campylobacter Infection. Clin. Microbiol. Rev. 2015, 28, 687–720. [Google Scholar] [CrossRef] [PubMed]
- Troeger, C.; Blacker, B.F.; Khalil, I.A.; Rao, P.C.; Cao, S.; Zimsen, S.R.; Albertson, S.B.; Stanaway, J.D.; Deshpande, A.; Abebe, Z.; et al. Estimates of the global, regional, and national morbidity, mortality, and aetiologies of diarrhoea in 195 countries: A systematic analysis for the Global Burden of Disease Study 2016. Lancet Infect. Dis. 2018, 18, 1211–1228. [Google Scholar] [CrossRef]
- Swanson, D.; Koren, C.; Hopp, P.; Jonsson, M.E.; Rø, G.I.; White, R.A.; Grøneng, G.M. A One Health real-time surveillance system for nowcasting Campylobacter gastrointestinal illness outbreaks, Norway, week 30 2010 to week 11 2022. EuroSurveillance 2022, 27, 2101121. [Google Scholar] [CrossRef]
- World Health Organization. Campylobacter. Available online: https://www.who.int/news-room/fact-sheets/detail/campylobacter (accessed on 11 November 2022).
- Centers for Disease Control and Prevention. Campylobacter (Campylobacteriosis). Available online: https://www.cdc.gov/campylobacter/technical.html (accessed on 11 November 2022).
- Mortensen, N.; Jonasson, S.A.; Lavesson, I.V.; Emberland, K.E.; Litleskare, S.; Wensaas, K.A.; Rortveit, G.; Langeland, N.; Hanevik, K. Characteristics of hospitalized patients during a large waterborne outbreak of Campylobacter jejuni in Norway. PLoS ONE 2021, 16, e0248464. [Google Scholar] [CrossRef]
- Bae, J.Y.; Lee, D.H.; Ko, K.O.; Lim, J.W.; Cheon, E.J.; Song, Y.H.; Yoon, J.M. Clinical manifestation of Campylobacter enteritis in children. Korean J. Pediatr. 2018, 61, 84–89. [Google Scholar] [CrossRef] [PubMed][Green Version]
- Munoz, G.A.; Riveros-Ramirez, M.D.; Chea-Woo, E.; Ochoa, T.J. Clinical Course of Children with Campylobacter Gastroenteritis with and Without Co-Infection in Lima, Peru. Am. J. Trop. Med. Hyg. 2022, 106, 1384–1388. [Google Scholar] [CrossRef]
- Sakran, W.; Hexner-Erlichman, Z.; Spiegel, R.; Batheesh, H.; Halevy, R.; Koren, A. Campylobacter gastroenteritis in children in north-eastern Israel comparison with other common pathogens. Sci. Rep. 2020, 10, 5823. [Google Scholar] [CrossRef]
- Kotloff, K.L. Bacterial diarrhoea. Curr. Opin. Pediatr. 2022, 34, 147–155. [Google Scholar] [CrossRef] [PubMed]
- Kim, Y.J.; Park, K.H.; Park, D.A.; Park, J.; Bang, B.W.; Lee, S.S.; Lee, E.J.; Lee, H.J.; Hong, S.K.; Kim, Y.R. Guideline for the Antibiotic Use in Acute Gastroenteritis. Infect. Chemother. 2019, 51, 217–243. [Google Scholar] [CrossRef]
- Shane, A.L.; Mody, R.K.; Crump, J.A.; Tarr, P.I.; Steiner, T.S.; Kotloff, K.; Langley, J.M.; Wanke, C.; Warren, C.A.; Cheng, A.C.; et al. 2017 Infectious Diseases Society of America Clinical Practice Guidelines for the Diagnosis and Management of Infectious Diarrhea. Clin. Infect. Dis. 2017, 65, 1963–1973. [Google Scholar] [CrossRef]
- Korea Disease Control and Prevention Agency. Infectious Diseases Surveillance Yearbook. 2021. Available online: https://www.kdca.go.kr/index.es?sid=a3 (accessed on 30 November 2022).
- Lee, C.N.; Chen, C.J.; Tang, K.S.; Huang, F.C. Avoidance of antibiotic administration to Campylobacter enterocolitis mimicking severe salmonellosis by clinical and laboratory features. J. Trop. Pediatr. 2015, 61, 25–31. [Google Scholar] [CrossRef] [PubMed][Green Version]
- Moffatt, C.R.M.; Kennedy, K.J.; O’Neill, B.; Selvey, L.; Kirk, M.D. Bacteraemia, antimicrobial susceptibility and treatment among Campylobacter-associated hospitalisations in the Australian Capital Territory: A review. BMC Infect. Dis. 2021, 21, 848. [Google Scholar] [CrossRef] [PubMed]
- Grass, J.E.; Kim, S.; Huang, J.Y.; Morrison, S.M.; McCullough, A.E.; Bennett, C.; Friedman, C.R.; Bowen, A. Quinolone nonsusceptibility among enteric pathogens isolated from international travelers—Foodborne Diseases Active Surveillance Network (FoodNet) and National Antimicrobial Monitoring System (NARMS), 10 United States sites, 2004–2014. PLoS ONE 2019, 14, e0225800. [Google Scholar] [CrossRef] [PubMed]
- Collins, J.P.; King, L.M.; Collier, S.A.; Person, J.; Gerdes, M.E.; Crim, S.M.; Bartoces, M.; Fleming-Dutra, K.E.; Friedman, C.R.; Francois Watkins, L.K. Antibiotic prescribing for acute gastroenteritis during ambulatory care visits-United States, 2006–2015. Infect. Control Hosp. Epidemiol. 2022, 43, 1880–1889. [Google Scholar] [CrossRef]
- He, W.Q.; Kirk, M.D.; Hall, J.; Liu, B. Prescribing Antimicrobial Drugs for Acute Gastroenteritis, Primary Care, Australia, 2013-2018. Emerg. Infect. Dis. 2021, 27, 1462–1467. [Google Scholar] [CrossRef]
- Lee, H.J.; Park, K.H.; Park, D.A.; Park, J.; Bang, B.W.; Lee, S.S.; Lee, E.J.; Kim, Y.J.; Hong, S.K.; Kim, Y.R. Prescription of Antibiotics for Adults with Acute Infectious Diarrhea in Korea: A Population-based Study. Infect. Chemother. 2019, 51, 295–304. [Google Scholar] [CrossRef]
- Park, S.Y.; Moon, S.M.; Kim, B.; Lee, M.J.; Park, J.Y.; Hwang, S.; Yu, S.N.; Lee, Y.M.; Lee, H.J.; Hong, K.W.; et al. Appropriateness of antibiotic prescriptions during hospitalization and ambulatory care: A multicentre prevalence survey in Korea. J. Glob. Antimicrob. Resist. 2022, 29, 253–258. [Google Scholar] [CrossRef]
- Ternhag, A.; Asikainen, T.; Giesecke, J.; Ekdahl, K. A meta-analysis on the effects of antibiotic treatment on duration of symptoms caused by infection with Campylobacter species. Clin. Infect. Dis. 2007, 44, 696–700. [Google Scholar] [CrossRef]
- Vukelic, D.; Trkulja, V.; Salkovic-Petrisic, M. Single oral dose of azithromycin versus 5 days of oral erythromycin or no antibiotic in treatment of Campylobacter enterocolitis in children: A prospective randomized assessor-blind study. J. Pediatr. Gastroenterol. Nutr. 2010, 50, 404–410. [Google Scholar] [CrossRef]
- Truong, J.; Cointe, A.; Le Roux, E.; Bidet, P.; Michel, M.; Boize, J.; Mariani-Kurkdjian, P.; Caseris, M.; Hobson, C.A.; Desmarest, M.; et al. Clinical impact of a gastrointestinal PCR panel in children with infectious diarrhoea. Arch. Dis. Child. 2022, 107, 601–605. [Google Scholar] [CrossRef] [PubMed]
- Sever, A.; Ben Zvi, H.; Barnea Melamed, S.; Sachs, N.; Krause, I.; Bilavsky, E. Clinical Impact of Biofire Gastrointestinal Panel Testing for Hospitalized Children with Acute Gastroenteritis. Acta Paediatr. 2022. [Google Scholar] [CrossRef]




| Characteristics | Total N = 157 | Age < 7 Years N = 45 | Age ≥ 7 Years N = 112 | p-Value |
|---|---|---|---|---|
| Sex, male (%) | 94 (59.9) | 18 (40.0) | 76 (67.9) | 0.002 |
| Age, years, median (range) | 10.7 (0.3–17.5) | 4.1 (0.3–6.8) | 13.0 (7.0–17.5) | NA |
| Occurrence in summer season, Jun ~ Aug (%) | 85 (54.1) | 27 (60.0) | 58 (51.8) | 0.380 |
| Clinical manifestation before or at admission | ||||
| Fever (%) | 146 (93.0) | 43 (95.6) | 103 (92.0) | 0.730 |
| Fever duration, days, median (range) | 3 (1–7) | 2 (1–6) | 3 (1–7) | 0.328 |
| Abdominal pain (%) | 134 (85.4) | 32 (71.1) | 102 (91.1) | 0.002 |
| Bloody diarrhea (%) | 39 (24.8) | 22 (48.9) | 17 (15.2) | <0.001 |
| Fever during hospitalization | 125 (79.6) | 35 (77.8) | 90 (80.4) | 0.827 |
| Initial laboratory findings | ||||
| White blood cell count (/mm3), median (range) | 10,100 (3300–22,400) | 9600 (4200–22,400) | 10,200 (3300–20,200) | 0.958 |
| Absolute neutrophil count (/mm3), median (range) | 7811 (250–20,518) | 7228 (250–20,518) | 8057 (2225–17,756) | 0.267 |
| C-reactive protein (mg/L), median (range) | 58.4 (1–211.3) | 48.3 (1–142.8) | 60.9 (2.1–211.3) | 0.073 |
| Positive for stool white blood cell (%) | 75 (47.8) | 20 (44.4) | 55 (49.1) | 0.724 |
| Positive for stool occult blood (%) | 97 (61.8) | 28 (62.2) | 69 (61.6) | >0.999 |
| Abdominal CT or ultrasonography performed (%) | 71 (45.2) | 14 (31.1) | 57 (50.9) | 0.033 |
| Abnormal findings in imaging study 1 (%) | 69/71 (97.2) | 14/14 (100.0) | 55/57 (96.5) | >0.999 |
| Bowel involvement in imaging study | NA | |||
| Ileum (%) | 35/71 (49.3) | 7/14 (50.0) | 28/57 (49.1) | |
| Cecum (%) | 23/71 (32.4) | 6/14 (42.9) | 17/57 (29.8) | |
| Ascending colon (%) | 20/71 (28.2) | 4/14 (28.6) | 16/57 (28.1) | |
| Transverse colon (%) | 10/71 (14.1) | 1/14 (7.1) | 9/57 (15.8) | |
| Descending colon (%) | 6/71 (8.4) | 1/14 (7.1) | 5/57 (8.8) | |
| Sigmoid colon/Rectum (%) | 11/71 (15.5) | 1/14 (7.1) | 10/57 (17.5) | |
| Whole colon (%) | 21/71 (29.6) | 4/14 (28.6) | 17/57 (29.8) |
| Antibiotic Prescribing Patterns | N = 57 |
|---|---|
| Initial antibiotic therapy (%) | |
| Penicillins | 8 (14.0) |
| Cephalosporins | 24 (42.1) |
| Azithromycin | 17 (29.8) |
| Azithromycin + Penicillins | 2 (3.5) |
| Azithromycin + Cephalosporins | 5 (8.8) |
| Others | 1 (1.8) |
| Early antibiotic group 1 | 52 (91.2) |
| With azithromycin 2 | 21/52 (40.4) |
| Without azithromycin | 31/52 (59.6) |
| Patients confirmed with Campylobacter (+) before discharge (%) | 19 (33.3) |
| Empirical therapy with azithromycin | 3/19 (15.8) |
| Targeted therapy with azithromycin after confirming the result | 5/19 (26.3) |
| Stop antibiotics other than azithromycin after confirming the result | 4/19 (21.1) |
| Maintenance or initiation of antibiotics other than azithromycin after confirming the result | 7/19 (36.8) |
| Variables | Early Antibiotic Group 1 (N = 52) | No-Antibiotic Group 2 (N = 100) | p-Value |
|---|---|---|---|
| Age, years, median (range) | 12.7 (0.3–17.5) | 10.3 (1.2–17.0) | 0.109 |
| Summer season, Jun–Aug (%) | 27 (51.9) | 56 (56.0) | 0.732 |
| Clinical manifestations before or at admission | |||
| Fever (%) | 52 (100.0) | 90 (90.0) | 0.016 |
| Duration of fever, days, median (IQR) | 3 (2-3) | 3 (2–4) | 0.897 |
| Abdominal pain (%) | 47 (90.4) | 84 (84.0) | 0.330 |
| Bloody stool (%) | 6 (11.5) | 32 (32.0) | 0.006 |
| Fever on hospital day 1 or 2 | 47 (90.4) | 74 (74.0) | 0.019 |
| Laboratory findings on admission | |||
| White blood cell count (/mm3), median (range) | 12,550 (4900–20,200) | 9150 (4200–22,400) | 0.001 |
| C-reactive protein (mg/L), median (range) | 93.2 (12.1–196.1) | 46.2 (1.0–211.3) | <0.001 |
| Imaging studies performed at admission (%) | 33 (63.5) | 35 (35.0) | 0.001 |
| Abnormal findings in imaging studies (%) | 31/33 (93.9) | 35/35 (100.0) | 0.232 |
| Days from admission to result reporting, median (range) | 5 (1–7) | 5 (1–9) | 0.471 |
| Variables | Univariable Analysis | Multiple Logistic Analysis | ||
|---|---|---|---|---|
| Odds Ratio (95% CI) | p-Value | Odds Ratio (95% CI) | p-Value | |
| Bloody diarrhea | 0.28 (0.11–0.72) | 0.006 | 0.36 (0.12–0.97) | 0.054 |
| Fever on hospital day 1 or 2 | 3.30 (1.23–8.31) | 0.019 | 1.64 (0.60–4.79) | 0.344 |
| PB WBCs ≥ 12,000/mm3 | 3.69 (1.82–7.31) | <0.001 | 3.95 (1.76–9.27) | 0.001 |
| CRP ≥ 50 mg/L | 4.56 (2.10–9.67) | <0.001 | 4.19 (1.84–10.21) | 0.001 |
| Imaging study performed | 3.23 (1.64–6.27) | 0.001 | 3.44 (1.55–7.99) | 0.003 |
Disclaimer/Publisher’s Note: The statements, opinions and data contained in all publications are solely those of the individual author(s) and contributor(s) and not of MDPI and/or the editor(s). MDPI and/or the editor(s) disclaim responsibility for any injury to people or property resulting from any ideas, methods, instructions or products referred to in the content. |
© 2022 by the authors. Licensee MDPI, Basel, Switzerland. This article is an open access article distributed under the terms and conditions of the Creative Commons Attribution (CC BY) license (https://creativecommons.org/licenses/by/4.0/).
Share and Cite
Wi, D.; Choi, S.-H. Antibiotic Prescribing Practices and Clinical Outcomes of Pediatric Patients with Campylobacter Enterocolitis. Children 2023, 10, 40. https://doi.org/10.3390/children10010040
Wi D, Choi S-H. Antibiotic Prescribing Practices and Clinical Outcomes of Pediatric Patients with Campylobacter Enterocolitis. Children. 2023; 10(1):40. https://doi.org/10.3390/children10010040
Chicago/Turabian StyleWi, Dasom, and Soo-Han Choi. 2023. "Antibiotic Prescribing Practices and Clinical Outcomes of Pediatric Patients with Campylobacter Enterocolitis" Children 10, no. 1: 40. https://doi.org/10.3390/children10010040
APA StyleWi, D., & Choi, S.-H. (2023). Antibiotic Prescribing Practices and Clinical Outcomes of Pediatric Patients with Campylobacter Enterocolitis. Children, 10(1), 40. https://doi.org/10.3390/children10010040

