Breath Ammonia Is a Useful Biomarker Predicting Kidney Function in Chronic Kidney Disease Patients
Abstract
1. Introduction
2. Experimental Section
2.1. Patients and Definitions
2.2. Breath Ammonia Collection
2.3. Gas Measurement System
2.4. Statistical Analysis
3. Results
3.1. Patient Characteristics
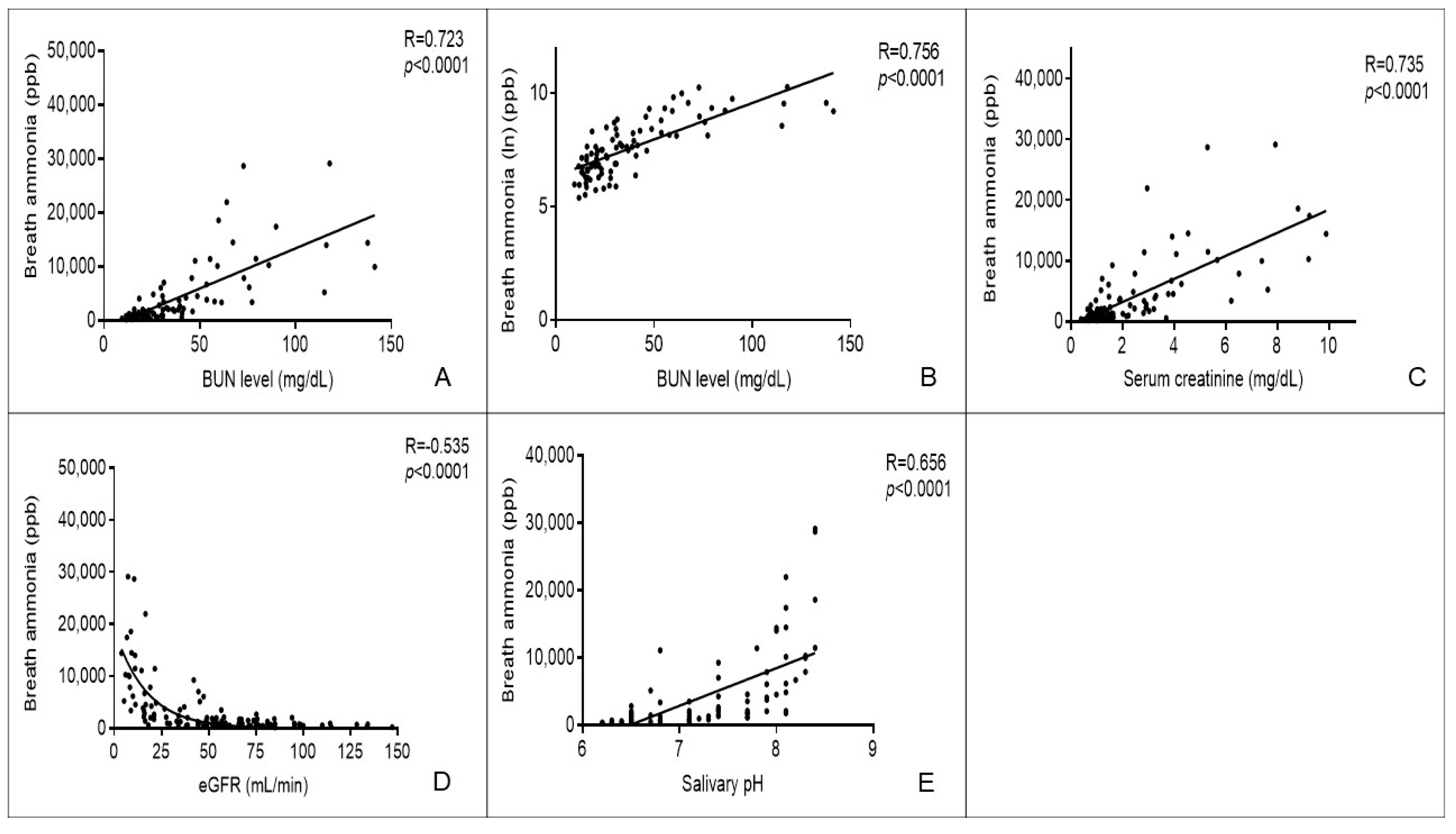
3.2. Breath Ammonia Concentrations Are Correlated with Kidney Function
3.3. Breath Ammonia Concentration Is Increased with CKD Progression
3.4. The Use of Breath Ammonia as a Screening Tool to Predict Patients with CKD
4. Discussion
5. Conclusions
Supplementary Materials
Author Contributions
Funding
Acknowledgments
Conflicts of Interest
References
- Cooper, C. Global, regional, and national age-sex specific mortality for 264 causes of death, 1980–2016: A systematic analysis for the Global Burden of Disease Study 2016. Lancet 2017, 390, 1151–1210. [Google Scholar] [CrossRef]
- Hill, N.R.; Fatoba, S.T.; Oke, J.L.; Hirst, J.A.; O’Callaghan, C.A.; Lasserson, D.S.; Hobbs, F.D. Global Prevalence of Chronic Kidney Disease—A Systematic Review and Meta-Analysis. PLoS ONE 2016, 11, e0158765. [Google Scholar] [CrossRef]
- Silva Junior, G.B.D.; Oliveira, J.G.R.; Oliveira, M.R.B.; Vieira, L.; Dias, E.R. Global costs attributed to chronic kidney disease: A systematic review. Rev. Assoc. Med. Bras. 2018, 64, 1108–1116. [Google Scholar] [CrossRef]
- Verhave, J.C.; Troyanov, S.; Mongeau, F.; Fradette, L.; Bouchard, J.; Awadalla, P.; Madore, F. Prevalence, awareness, and management of CKD and cardiovascular risk factors in publicly funded health care. Clin. J. Am. Soc. Nephrol. 2014, 9, 713–719. [Google Scholar] [CrossRef]
- Nickolas, T.L.; Frisch, G.D.; Opotowsky, A.R.; Arons, R.; Radhakrishnan, J. Awareness of kidney disease in the US population: Findings from the National Health and Nutrition Examination Survey (NHANES) 1999 to 2000. Am. J. Kidney Dis. 2004, 44, 185–197. [Google Scholar] [CrossRef] [PubMed]
- Obermeier, J.; Trefz, P.; Happ, J.; Schubert, J.K.; Staude, H.; Fischer, D.C.; Miekisch, W. Exhaled volatile substances mirror clinical conditions in pediatric chronic kidney disease. PLoS ONE 2017, 12, e0178745. [Google Scholar] [CrossRef] [PubMed]
- Pagonas, N.; Vautz, W.; Seifert, L.; Slodzinski, R.; Jankowski, J.; Zidek, W.; Westhoff, T.H. Volatile organic compounds in uremia. PLoS ONE 2012, 7, e46258. [Google Scholar] [CrossRef] [PubMed]
- Davies, S.; Spanel, P.; Smith, D. Quantitative analysis of ammonia on the breath of patients in end-stage renal failure. Kidney Int. 1997, 52, 223–228. [Google Scholar] [CrossRef]
- Rolla, G.; Bruno, M.; Bommarito, L.; Heffler, E.; Ferrero, N.; Petrarulo, M.; Bagnis, C.; Bugiani, M.; Guida, G. Breath analysis in patients with end-stage renal disease: Effect of haemodialysis. Eur. J. Clin. Investig. 2008, 38, 728–733. [Google Scholar] [CrossRef] [PubMed]
- Adeva, M.M.; Souto, G.; Blanco, N.; Donapetry, C. Ammonium metabolism in humans. Metabolism 2012, 61, 1495–1511. [Google Scholar] [CrossRef] [PubMed]
- Schmidt, F.M.; Vaittinen, O.; Metsala, M.; Lehto, M.; Forsblom, C.; Groop, P.H.; Halonen, L. Ammonia in breath and emitted from skin. J. Breath Res. 2013, 7, 017109. [Google Scholar] [CrossRef] [PubMed]
- Schönermarck, U.; Dengler, C.; Gmeinwieser, A.; Praun, S.; Schelling, G.; Fischereder, M.; Boulesteix, A.L.; Dolch, M.E. Exhaled breath volatile organic and inorganic compound composition in end-stage renal disease. Clin. Nephrol. 2016, 86, 132–140. [Google Scholar] [CrossRef]
- Chen, W.; Laiho, S.; Vaittinen, O.; Halonen, L.; Ortiz, F.; Forsblom, C.; Groop, P.H.; Lehto, M.; Metsala, M. Biochemical pathways of breath ammonia (NH3) generation in patients with end-stage renal disease undergoing hemodialysis. J. Breath Res. 2016, 10, 036011. [Google Scholar] [CrossRef] [PubMed]
- Endre, Z.H.; Pickering, J.W.; Storer, M.K.; Hu, W.P.; Moorhead, K.T.; Allardyce, R.; McGregor, D.O.; Scotter, J.M. Breath ammonia and trimethylamine allow real-time monitoring of haemodialysis efficacy. Physiol. Meas 2011, 32, 115–130. [Google Scholar] [CrossRef]
- Hibbard, T.; Killard, A.J. Breath ammonia levels in a normal human population study as determined by photoacoustic laser spectroscopy. J. Breath Res. 2011, 5, 037101. [Google Scholar] [CrossRef] [PubMed]
- Davies, S.J.; Spanel, P.; Smith, D. Breath analysis of ammonia, volatile organic compounds and deuterated water vapor in chronic kidney disease and during dialysis. Bioanalysis 2014, 6, 843–857. [Google Scholar] [CrossRef]
- Narasimhan, L.R.; Goodman, W.; Patel, C.K. Correlation of breath ammonia with blood urea nitrogen and creatinine during hemodialysis. Proc. Natl. Acad. Sci. USA 2001, 98, 4617–4621. [Google Scholar] [CrossRef]
- Neri, G.; Lacquaniti, A.; Rizzo, G.; Donato, N.; Latino, M.; Buemi, M. Real-time monitoring of breath ammonia during haemodialysis: Use of ion mobility spectrometry (IMS) and cavity ring-down spectroscopy (CRDS) techniques. Nephrol. Dial. Transplant. 2012, 27, 2945–2952. [Google Scholar] [CrossRef]
- Maxim, L.D.; Niebo, R.; Utell, M.J. Screening tests: A review with examples. Inhal. Toxicol. 2014, 26, 811–828. [Google Scholar] [CrossRef]
- Huang, J.; Kumar, S.; Abbassi-Ghadi, N.; Spanel, P.; Smith, D.; Hanna, G.B. Selected ion flow tube mass spectrometry analysis of volatile metabolites in urine headspace for the profiling of gastro-esophageal cancer. Anal. Chem. 2013, 85, 3409–3416. [Google Scholar] [CrossRef]
- Hibbard, T.; Crowley, K.; Kelly, F.; Ward, F.; Holian, J.; Watson, A.; Killard, A.J. Point of Care Monitoring of Hemodialysis Patients with a Breath Ammonia Measurement Device Based on Printed Polyaniline Nanoparticle Sensors. Anal. Chem. 2013, 85, 12158–12165. [Google Scholar] [CrossRef] [PubMed]
- Demirjian, S.; Paschke, K.M.; Wang, X.; Grove, D.; Heyka, R.J.; Dweik, R.A. Molecular breath analysis identifies the breathprint of renal failure. J. Breath Res. 2017, 11, 026009. [Google Scholar] [CrossRef] [PubMed]
- Gouma, P.; Kalyanasundaram, K.; Yun, X.; Stanacevic, M.; Wang, L. Nanosensor and Breath Analyzer for Ammonia Detection in Exhaled Human Breath. IEEE Sens. J. 2010, 10, 49–53. [Google Scholar] [CrossRef]
- Momose, S.; Karasawa, K.; Ushigome, M.; Takasu, R.; Tsuboi, O. Highly selective and sensitive gas sensors for exhaled breath analysis using CuBr thin film. In Proceedings of the 2016 IEEE 11th Annual International Conference on Nano/Micro Engineered and Molecular Systems (NEMS), Sendai, Japan, 17–20 April 2016; pp. 337–341. [Google Scholar]
- Ly, T.N.; Park, S. Highly sensitive ammonia sensor for diagnostic purpose using reduced graphene oxide and conductive polymer. Sci. Rep. 2018, 8, 18030. [Google Scholar] [CrossRef] [PubMed]
- Yu, S.Y.; Tung, T.W.; Yang, H.Y.; Chen, G.Y.; Shih, C.C.; Lee, Y.C.; Chen, C.C.; Zan, H.W.; Meng, H.F.; Lu, C.J.; et al. A Versatile Method to Enhance the Operational Current of Air-Stable Organic Gas Sensor for Monitoring of Breath Ammonia in Hemodialysis Patients. ACS Sens. 2019, 4, 1023–1031. [Google Scholar] [CrossRef]
- Chuang, M.Y.; Chen, C.C.; Zan, H.W.; Meng, H.F.; Lu, C.J. Organic Gas Sensor with an Improved Lifetime for Detecting Breath Ammonia in Hemodialysis Patients. ACS Sens. 2017, 2, 1788–1795. [Google Scholar] [CrossRef]
- Chen, S.; Zhang, L.; Shi, Y.; Yang, X.; Wang, M. Molecular Adsorbent Recirculating System: Clinical experience in patients with liver failure based on hepatitis B in China. Liver 2002, 22, 48–51. [Google Scholar] [CrossRef]
- Chen, C.C.; Hsieh, J.C.; Chao, C.H.; Yang, W.S.; Cheng, H.T.; Chan, C.K.; Lu, C.J.; Meng, H.F.; Zan, H.W. Correlation between breath ammonia and blood urea nitrogen levels in chronic kidney disease and dialysis patients. J. Breath Res. 2020, 14, 036002. [Google Scholar] [CrossRef]
- Momoniat, T.; Ilyas, D.; Bhandari, S. ACE inhibitors and ARBs: Managing potassium and renal function. Cleve Clin. J. Med. 2019, 86, 601–607. [Google Scholar] [CrossRef]
- Ahmed, A.; Jorna, T.; Bhandari, S. Should We STOP Angiotensin Converting Enzyme Inhibitors/Angiotensin Receptor Blockers in Advanced Kidney Disease? Nephron 2016, 133, 147–158. [Google Scholar] [CrossRef]
- Wang, M.H.; Yuk-Fai Lau, S.; Chong, K.C.; Kwok, C.; Lai, M.; Chung, A.H.; Ho, C.S.; Szeto, C.C.; Chung-Ying Zee, B. Estimation of clinical parameters of chronic kidney disease by exhaled breath full-scan mass spectrometry data and iterative PCA with intensity screening algorithm. J. Breath Res. 2017, 11, 036007. [Google Scholar] [CrossRef] [PubMed]
- Bayrakli, I.; Turkmen, A.; Akman, H.; Sezer, M.T.; Kutluhan, S. Applications of external cavity diode laser-based technique to noninvasive clinical diagnosis using expired breath ammonia analysis: Chronic kidney disease, epilepsy. J. Biomed. Opt. 2016, 21, 87004. [Google Scholar] [CrossRef]
- Bevc, S.; Mohorko, E.; Kolar, M.; Brglez, P.; Holobar, A.; Kniepeiss, D.; Podbregar, M.; Piko, N.; Hojs, N.; Knehtl, M.; et al. Measurement of breath ammonia for detection of patients with chronic kidney disease. Clin. Nephrol. 2017, 88, 14–17. [Google Scholar] [CrossRef]
- Enderby, B.; Lenney, W.; Brady, M.; Emmett, C.; Spaněl, P.; Smith, D. Concentrations of some metabolites in the breath of healthy children aged 7–18 years measured using selected ion flow tube mass spectrometry (SIFT-MS). J. Breath Res. 2009, 3, 036001. [Google Scholar] [CrossRef] [PubMed]
- Miekisch, W.; Schubert, J.K.; Noeldge-Schomburg, G.F. Diagnostic potential of breath analysis--focus on volatile organic compounds. Clin. Chim. Acta 2004, 347, 25–39. [Google Scholar] [CrossRef]
- Delanaye, P.; Jager, K.J.; Bokenkamp, A.; Christensson, A.; Dubourg, L.; Eriksen, B.O.; Gaillard, F.; Gambaro, G.; van der Giet, M.; Glassock, R.J.; et al. CKD: A Call for an Age-Adapted Definition. J. Am. Soc. Nephrol. 2019, 30, 1785–1805. [Google Scholar] [CrossRef]
- Raman, M.; Middleton, R.J.; Kalra, P.A.; Green, D. Estimating renal function in old people: An in-depth review. Int. Urol. Nephrol. 2017, 49, 1979–1988. [Google Scholar] [CrossRef]
- Hommos, M.S.; Glassock, R.J.; Rule, A.D. Structural and Functional Changes in Human Kidneys with Healthy Aging. J. Am. Soc. Nephrol. 2017, 28, 2838–2844. [Google Scholar] [CrossRef]
- Shetty, P.; Hegde, M.N.; Eraly, S.M. Evaluation of salivary parameters and dental status in adult hemodialysis patients in an indian population. J. Clin. Exp. Dent. 2018, 10, e419–e424. [Google Scholar] [CrossRef] [PubMed]




| Variable | Stage 1 (n = 19) | Stage 2 (n = 26) | Stage 3 (n = 38) | Stage 4 (n = 21) | Stage 5 (n = 17) | All (n = 121) | p-Value |
|---|---|---|---|---|---|---|---|
| Age (year) | 49.4 ± 4.1 | 58.3 ± 2.3 | 66.4 ± 2.3 | 66.4 ± 3.2 | 66.0 ± 3.6 | 61.9 ± 1.4 | <0.001 |
| Male (%) | 8 (42.1%) | 16 (61.5%) | 19 (50%) | 11 (52.4%) | 8 (47.1%) | 62 (51.2%) | 0.756 |
| Body weight (Kg) | 68.2 ± 3.4 | 70.1 ± 3.0 | 63.2 ± 1.7 | 64.3 ± 2.6 | 60.2 ± 2.0 | 65.3 ± 1.1 | 0.067 |
| Hemoglobin (g/mL) | 12.8 ± 0.7 | 14.9 ± 0.4 | 15.4 ± 1.6 | 13.9 ± 1.6 | 9.8 ± 0.3 | 13.8 ± 0.7 | 0.089 |
| Albumin (g/dL) | 4.29 ± 0.16 | 4.19 ± 0.11 | 4.19 ± 0.08 | 4.04 ± 0.09 | 3.99 ± 0.09 | 4.12 ± 0.04 | 0.251 |
| BUN (mg/dL) | 15.6 ± 1.9 | 17.7 ± 1.1 | 24.4 ± 1.6 | 42.6 ± 2.5 | 85.1 ± 7.5 | 38.7 ± 3.1 | <0.001 |
| Creatinine (mg/dL) | 0.65 ± 0.03 | 0.95 ± 0.04 | 1.34 ± 0.04 | 2.87 ± 0.12 | 6.46 ± 0.50 | 2.13 ± 0.19 | <0.001 |
| eGFR (mL/min) | 116 ± 5.7 | 75 ± 1.4 | 48 ± 1.3 | 20 ± 1.0 | 9 ± 0.6 | 54 ± 3.3 | <0.001 |
| Breath ammonia (ppb) | 636 ± 94 | 1020 ± 120 | 1943 ± 326 | 4421 ± 1042 | 12781 ± 1807 | 3493 ± 484 | <0.001 |
| Salivary pH | 6.52 ± 2.68 | 6.84 ± 0.50 | 7.13 ± 0.54 | 7.61 ± 0.48 | 8.10 ± 0.41 | 7.21 ± 0.68 | <0.001 |
| Comorbidity | |||||||
| CHF | 0 (0%) | 1 (3.8%) | 1 (2.6%) | 1 (4.8%) | 0 (0%) | 3 (2.5%) | 0.814 |
| CAD | 1 (5.3%) | 2 (7.7%) | 4 (10.5%) | 0 (0%) | 4 (23.5%) | 11 (9.1%) | 0.142 |
| HTN | 8 (42.1%) | 21 (80.8%) | 28 (73.7%) | 19 (90.5%) | 12 (70.6%) | 8 (72.7%) | 0.010 |
| DM | 7 (36.8%) | 11 (40.7%) | 13 (34.2%) | 9 (42.9%) | 6 (35.3%) | 46 (38.0%) | 0.950 |
| Medication | |||||||
| Steroids | 6 (31.6%) | 3 (11.5%) | 5 (13.2%) | 3 (14.3%) | 2 (11.8%) | 19 (15.7%) | 0.358 |
| ACEi/ARB | 8 (42.1%) | 20 (76.9%) | 21 (55.3%) | 10 (47.6%) | 6 (35.3%) | 65 (53.7%) | 0.053 |
| PPI use | 0 (0%) | 0 (0%) | 2 (5.3%) | 0 (0%) | 1 (5.9%) | 3 (2.5%) | 0.447 |
| Ammonia | Sensitivity | Specificity |
|---|---|---|
| 680 | 0.868 | 0.489 |
| 690 | 0.855 | 0.489 |
| 701 | 0.842 | 0.489 |
| 710 | 0.842 | 0.511 |
| 720 | 0.842 | 0.533 |
| 744 | 0.829 | 0.533 |
| 765 | 0.829 | 0.556 |
| 770 | 0.816 | 0.556 |
| 775 | 0.816 | 0.578 |
| 782 | 0.816 | 0.600 |
| 812 | 0.816 | 0.622 |
| 849 | 0.803 | 0.622 |
| 870 | 0.803 | 0.644 |
| 881 | 0.803 | 0.667 |
| 886 | 0.803 | 0.689 |
| 888 | 0.789 | 0.689 |
| 907 | 0.776 | 0.689 |
| 944 | 0.776 | 0.711 |
| 974 | 0.776 | 0.733 |
| 984 | 0.763 | 0.733 |
| 993 | 0.750 | 0.733 |
| 1056 | 0.737 | 0.733 |
| 1134 | 0.737 | 0.756 |
| 1188 | 0.737 | 0.778 |
| 1246 | 0.724 | 0.778 |
Publisher’s Note: MDPI stays neutral with regard to jurisdictional claims in published maps and institutional affiliations. |
© 2020 by the authors. Licensee MDPI, Basel, Switzerland. This article is an open access article distributed under the terms and conditions of the Creative Commons Attribution (CC BY) license (http://creativecommons.org/licenses/by/4.0/).
Share and Cite
Chan, M.-J.; Li, Y.-J.; Wu, C.-C.; Lee, Y.-C.; Zan, H.-W.; Meng, H.-F.; Hsieh, M.-H.; Lai, C.-S.; Tian, Y.-C. Breath Ammonia Is a Useful Biomarker Predicting Kidney Function in Chronic Kidney Disease Patients. Biomedicines 2020, 8, 468. https://doi.org/10.3390/biomedicines8110468
Chan M-J, Li Y-J, Wu C-C, Lee Y-C, Zan H-W, Meng H-F, Hsieh M-H, Lai C-S, Tian Y-C. Breath Ammonia Is a Useful Biomarker Predicting Kidney Function in Chronic Kidney Disease Patients. Biomedicines. 2020; 8(11):468. https://doi.org/10.3390/biomedicines8110468
Chicago/Turabian StyleChan, Ming-Jen, Yi-Jung Li, Chao-Ching Wu, Yu-Chen Lee, Hsiao-Wen Zan, Hsin-Fei Meng, Meng-Hsuan Hsieh, Chao-Sung Lai, and Ya-Chung Tian. 2020. "Breath Ammonia Is a Useful Biomarker Predicting Kidney Function in Chronic Kidney Disease Patients" Biomedicines 8, no. 11: 468. https://doi.org/10.3390/biomedicines8110468
APA StyleChan, M.-J., Li, Y.-J., Wu, C.-C., Lee, Y.-C., Zan, H.-W., Meng, H.-F., Hsieh, M.-H., Lai, C.-S., & Tian, Y.-C. (2020). Breath Ammonia Is a Useful Biomarker Predicting Kidney Function in Chronic Kidney Disease Patients. Biomedicines, 8(11), 468. https://doi.org/10.3390/biomedicines8110468

