Clinical Utility of Serum Cystatin C in Predicting Diabetic Distal Sensorimotor Polyneuropathy
Abstract
1. Introduction
2. Methods
2.1. Setting and Clinical and Laboratory Features
2.2. Nerve Conduction Studies
2.3. Laboratory Testing
2.4. Definition of DM-DSPN and Severity Staging
2.5. Definitions of Study Groups, Sample Size Estimation, and Recruitment
2.6. Statistical Analysis
3. Results
3.1. Comparison of Baseline Characteristics and Laboratory Values in +DM/+DSPN and +DM/−DSPN
3.2. Comparison of NC Attributes in +DM/+DSPN and +DM/−DSPN
3.3. Covariates Predicting DM-DSPN
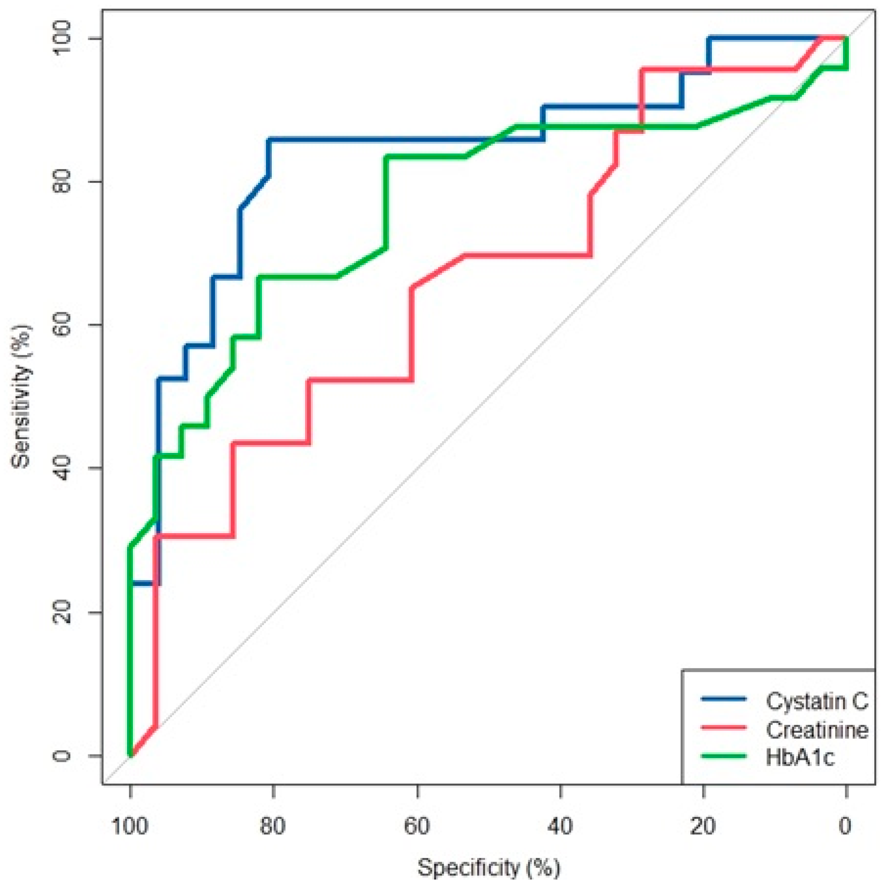
3.4. Receiver Operating Characteristic (ROC) and Area Under the Curve (AUC) Analysis for Covariates Associated with DSPN
3.5. Associations of Serum CysC and NC Attributes
3.6. Covariates Associated with Cystatin C
4. Discussion
5. Conclusions
Supplementary Materials
Author Contributions
Funding
Institutional Review Board Statement
Informed Consent Statement
Data Availability Statement
Acknowledgments
Conflicts of Interest
Abbreviations
References
- Pfannkuche, A.; Alhajjar, A.; Ming, A.; Walter, I.; Piehler, C.; Mertens, P.R. Prevalence and risk factors of diabetic peripheral neuropathy in a diabetics cohort: Register initiative “diabetes and nerves”. Endocr. Metab. Sci. 2020, 1, 100053. [Google Scholar] [CrossRef]
- Pop-Busui, R.; Boulton, A.J.M.; Feldman, E.L.; Bril, V.; Freeman, R.; Malik, R.A.; Sosenko, J.M.; Ziegler, D. Diabetic Neuropathy: A Position Statement by the American Diabetes Association. Diabetes Care 2016, 40, 136–154. [Google Scholar] [CrossRef]
- Dyck, P.J.; Kratz, K.M.; Karnes, J.L.; Litchy, W.J.; Klein, R.; Pach, J.M.; Wilson, D.M.; O’BRien, P.C.; Melton, L.J. The prevalence by staged severity of various types of diabetic neuropathy, retinopathy, and nephropathy in a population-based cohort. Neurology 1993, 43, 817. [Google Scholar] [CrossRef]
- Al Ayed, M.Y.; Ababneh, M.; Robert, A.A.; Al-Musalum, M.; Sabrery, D.; Amer, M.; Al Saeed, A.; Al Dawish, M.A. Prevalence and Risk Factors for Diabetic Peripheral Neuropathy among Patients with Type 2 Diabetes in Saudi Arabia: A Cross-sectional Study. Curr. Diabetes Rev. 2023, 19, e141122210875. [Google Scholar] [CrossRef] [PubMed]
- Boyle, J.P.; Thompson, T.J.; Gregg, E.W.; Barker, L.E.; Williamson, D.F. Projection of the year 2050 burden of diabetes in the US adult population: Dynamic modeling of incidence, mortality, and prediabetes prevalence. Popul. Health Metr. 2010, 8, 29. [Google Scholar] [CrossRef]
- Bansal, D.; Gudala, K.; Muthyala, H.; Esam, H.P.; Nayakallu, R.; Bhansali, A. Prevalence and risk factors of development of peripheral diabetic neuropathy in type 2 diabetes mellitus in a tertiary care setting. J. Diabetes Investig. 2014, 5, 714–721. [Google Scholar] [CrossRef]
- Gordois, A.; Scuffham, P.; Shearer, A.; Oglesby, A.; Tobian, J.A. The health care costs of diabetic peripheral neuropathy in the US. Diabetes Care 2003, 26, 1790–1795. [Google Scholar] [CrossRef] [PubMed]
- Barrett, A.J. The cystatins: A diverse superfamily of cysteine peptidase inhibitors. Biomed. Biochim. Acta 1986, 45, 1363–1374. [Google Scholar] [PubMed]
- Nagai, A.; Terashima, M.; Sheikh, A.M.; Notsu, Y.; Shimode, K.; Yamaguchi, S.; Kobayashi, S.; Kim, S.U.; Masuda, J. Involvement of cystatin C in pathophysiology of CNS diseases. Front. Biosci. 2008, 13, 3470–3479. [Google Scholar] [CrossRef]
- Hu, Y.; Liu, F.; Shen, J.; Zeng, H.; Li, L.; Zhao, J.; Lu, F.; Jia, W. Association between serum cystatin C and diabetic peripheral neuropathy: A cross-sectional study of a Chinese type 2 diabetic population. Eur. J. Endocrinol. 2014, 171, 641–648. [Google Scholar] [CrossRef]
- Compston, A. Aids to the investigation of peripheral nerve injuries. Medical Research Council: Nerve Injuries Research Committee. His Majesty’s Stationery Office: 1942; pp. 48 (iii) and 74 figures and 7 diagrams; with aids to the examination of the peripheral nervous system. By Michael O'Brien for the Guarantors of Brain. Saunders Elsevier: 2010; pp. [8] 64 and 94 Figures. Brain 2010, 133, 2838–2844. [Google Scholar] [CrossRef]
- Albers, J.W.; Brown, M.B.; Sima, A.A.; Greene, D.A. Nerve conduction measures in mild diabetic neuropathy in the Early Diabetes Intervention Trial: The effects of age, sex, type of diabetes, disease duration, and anthropometric factors. Tolrestat Study Group for the Early Diabetes Intervention Trial. Neurology 1996, 46, 85–91. [Google Scholar] [CrossRef] [PubMed]
- Alanazy, M.H.; Alkhawajah, N.M.; Aldraihem, M.O.; Muayqil, T. Electrodiagnostic reference data for motor nerve conduction studies in Saudi Arabia. Neurosci. J. 2020, 25, 25–31. [Google Scholar] [CrossRef]
- Dillingham, T.; Chen, S.; Andary, M.; Buschbacher, R.; Del Toro, D.; Smith, B.; Zimmermann, K.; So, Y. Establishing high-quality reference values for nerve conduction studies: A report from the normative data task force of the American Association of Neuromuscular & Electrodiagnostic Medicine. Muscle Nerve 2016, 54, 366–370. [Google Scholar] [CrossRef] [PubMed]
- Levey, A.S.; Stevens, L.A.; Schmid, C.H.; Zhang, Y.L.; Castro, A.F., 3rd; Feldman, H.I.; Kusek, J.W.; Eggers, P.; Van Lente, F.; Greene, T.; et al. A new equation to estimate glomerular filtration rate. Ann. Intern. Med. 2009, 150, 604–612. [Google Scholar] [CrossRef]
- Davies, J.L.; Lodermeier, K.A.; Klein, D.M.; Carter, R.E.; Dyck, P.J.B.; Litchy, W.J.; Dyck, P.J. Composite nerve conduction scores and signs for diagnosis and somatic staging of diabetic polyneuropathy: Mid North American ethnic cohort survey. Muscle Nerve 2023, 68, 29–38. 19-16. [Google Scholar] [CrossRef] [PubMed]
- Al-Rubeaan, K.; Siddiqui, K.; Al-Ghonaim, M.A.; Youssef, A.M.; Alnaqeeb, D. The Saudi Diabetic Kidney Disease study (Saudi-DKD): Clinical characteristics and biochemical parameters. Ann. Saudi Med. 2018, 38, 46. [Google Scholar] [CrossRef]
- Zhang, Y.Y.; Chen, B.X.; Chen, Z.; Wan, Q. Correlation study of renal function indices with diabetic peripheral neuropathy and diabetic retinopathy in T2DM patients with normal renal function. Front. Public Health 2023, 11, 1302615. [Google Scholar] [CrossRef]
- Retnakaran, R.; Cull, C.A.; Thorne, K.I.; Adler, A.I.; Holman, R.R. Risk factors for renal dysfunction in type 2 diabetes: U.K. Prospective Diabetes Study 74. Diabetes 2006, 55, 1832–1839. [Google Scholar] [CrossRef]
- Dyck, P.J.; Albers, J.W.; Andersen, H.; Arezzo, J.C.; Biessels, G.J.; Bril, V.; Feldman, E.L.; Litchy, W.J.; O’Brien, P.C.; Russell, J.W.; et al. Diabetic polyneuropathies: Update on research definition, diagnostic criteria and estimation of severity. Diabetes Metab. Res. Rev. 2011, 27, 620–628. [Google Scholar] [CrossRef]
- England, J.D.; Asbury, A.K. Peripheral neuropathy. Lancet 2004, 363, 2151–2161. [Google Scholar] [CrossRef]
- Tesfaye, S.; Chaturvedi, N.; Eaton, S.E.; Ward, J.D.; Manes, C.; Ionescu-Tirgoviste, C.; Witte, D.R.; Fuller, J.H. Vascular risk factors and diabetic neuropathy. N. Engl. J. Med. 2005, 352, 341–350. [Google Scholar] [CrossRef] [PubMed]
- Callaghan, B.C.; Xia, R.; Banerjee, M.; de Rekeneire, N.; Harris, T.B.; Newman, A.B.; Satterfield, S.; Schwartz, A.V.; Vinik, A.I.; Feldman, E.L.; et al. Metabolic Syndrome Components Are Associated With Symptomatic Polyneuropathy Independent of Glycemic Status. Diabetes Care 2016, 39, 801–807. [Google Scholar] [CrossRef]
- Moorthi, R.N.; Doshi, S.; Fried, L.F.; Moe, S.M.; Sarnak, M.J.; Satterfield, S.; Schwartz, A.V.; Shlipak, M.; Lange-Maia, B.S.; Harris, T.B.; et al. Chronic kidney disease and peripheral nerve function in the Health, Aging and Body Composition Study. Nephrol. Dial. Transplant. 2019, 34, 625–632. [Google Scholar] [CrossRef]
- Abrahamson, M.; Olafsson, I.; Palsdottir, A.; Ulvsbäck, M.; Lundwall, A.; Jensson, O.; Grubb, A. Structure and expression of the human cystatin C gene. Biochem. J. 1990, 268, 287–294. [Google Scholar] [CrossRef]
- Mussap, M.; Dalla Vestra, M.; Fioretto, P.; Saller, A.; Varagnolo, M.; Nosadini, R.; Plebani, M. Cystatin C is a more sensitive marker than creatinine for the estimation of GFR in type 2 diabetic patients. Kidney Int. 2002, 61, 1453–1461. [Google Scholar] [CrossRef]
- Tangri, N.; Stevens, L.A.; Schmid, C.H.; Zhang, Y.L.; Beck, G.J.; Greene, T.; Coresh, J.; Levey, A.S. Changes in dietary protein intake has no effect on serum cystatin C levels independent of the glomerular filtration rate. Kidney Int. 2011, 79, 471–477. [Google Scholar] [CrossRef]
- Xiong, K.; Zhang, S.; Zhong, P.; Zhu, Z.; Chen, Y.; Huang, W.; Wang, W. Serum cystatin C for risk stratification of prediabetes and diabetes populations. Diabetes Metab. Syndr. 2023, 17, 102882. [Google Scholar] [CrossRef] [PubMed]
- Okura, T.; Jotoku, M.; Irita, J.; Enomoto, D.; Nagao, T.; Desilva, V.R.; Yamane, S.; Pei, Z.; Kojima, S.; Hamano, Y.; et al. Association between cystatin C and inflammation in patients with essential hypertension. Clin. Exp. Nephrol. 2010, 14, 584–588. [Google Scholar] [CrossRef]
- Correa, S.; Morrow, D.A.; Braunwald, E.; Davies, R.Y.; Goodrich, E.L.; Murphy, S.A.; Cannon, C.P.; O’DOnoghue, M.L. Cystatin C for Risk Stratification in Patients After an Acute Coronary Syndrome. J. Am. Heart Assoc. 2018, 7, e009077. [Google Scholar] [CrossRef] [PubMed]
- Wu, C.K.; Lin, J.W.; Caffrey, J.L.; Chang, M.H.; Hwang, J.J.; Lin, Y.S. Cystatin C and long-term mortality among subjects with normal creatinine-based estimated glomerular filtration rates: NHANES III (Third National Health and Nutrition Examination Survey). J. Am. Coll. Cardiol. 2010, 56, 1930–1936. [Google Scholar] [CrossRef] [PubMed]
- Huh, J.H.; Choi, E.H.; Lim, J.S.; Lee, M.Y.; Chung, C.H.; Shin, J.Y. Serum cystatin C levels are associated with asymptomatic peripheral arterial disease in type 2 diabetes mellitus patients without overt nephropathy. Diabetes Res. Clin. Pract. 2015, 108, 258–264. [Google Scholar] [CrossRef] [PubMed]


| Severity Stage | Description |
|---|---|
| N0 | No abnormality of NCs § as assessed by composite NC score § |
| N1 | Abnormality of NC without neuropathy signs |
| N2 | Abnormality of NCs and polyneuropathy signs in feet or legs |
| N3 | Abnormality of NCs and signs of thigh involvement |
| Characteristic | Total N = 52 | +DM/+DSPN N = 24 | +DM/−DSPN N = 28 | p-Value |
|---|---|---|---|---|
| Ethnicity (%) | ||||
| Saudi | 50 (96) | 23 (96) | 27 (96) | 1 ÿ |
| Syrian | 2 (4) | 1 (4) | 1 (4) | |
| Gender (%) | ||||
| Female | 28 (54) | 10 (42) | 18 (64) | 0.176 ÿ |
| Male | 24 (46) | 14 (58) | 10 (36) | |
| Age, median (IQR) years | 60 (55, 66) | 63 (56, 71) | 58 (52, 64) | 0.05 *,† |
| Duration of sensory symptoms in lower limbs, median (IQR) years | 4.5 (2, 10) | 6 (1.75, 10) | 4 (2, 9.5) | 0.65 † |
| Pain, n (%) | 37 (71.2) | 16 (67) | 21 (75) | 0.723 ÿ |
| Prickling, n (%) | 21 (40) | 12 (50) | 9 (32) | 0.305 ÿ |
| Paresthesia, n (%) | 24 (46) | 13 (54) | 11 (39) | 0.427 ÿ |
| Numbness, n (%) | 33 (64) | 16 (67) | 17 (61) | 0.876 ÿ |
| Weakness in lower extremities, n (%) | 10 (19) | 6 (25) | 4 (14) | 0.532 ÿ |
| Dysphagia, n (%) | 4 (8) | 3 (13) | 1 (4) | 0.495 ÿ |
| Orthostatic lightheadedness, n (%) | 21 (40) | 11 (46) | 10 (36) | 0.647 ÿ |
| Heat intolerance, n (%) | 9 (17) | 4 (17) | 5 (18) | 1 ÿ |
| Male impotence, n (%) | 4 (8) | 4 (17) | 0 | 0.084 ÿ |
| Sphincter dysfunction, n (%) | 19 (37) | 13 (54) | 6 (21) | 0.031 *,ÿ |
| Early satiety, n (%) | 10 (19) | 7 (29) | 3 (11) | 0.183 ÿ |
| Onset of diabetes, median (IQR) years | 15 (9, 20.5) | 19.5 (12.3, 25) | 15 (6.5, 20) | 0.044 *,† |
| Diabetes type, n (%) | ||||
| Type 1 | 1 (2) | 0 | 1 (4) | 1 ÿ |
| Type 2 | 50 (98) | 23 (100) | 27 (96) |
| Total N = 52 | +DM/+DSPN N = 24 | +DM/−DSPN N = 28 | p-Value | |
|---|---|---|---|---|
| Anthropometric values, median (IQR) | ||||
| Height, cm | 160 (153, 169) | 161 (152, 169) | 160 (154, 169) | 0.993 † |
| Weight, kg | 77 (65, 86) | 71 (64, 86) | 79 (67, 86) | 0.707 † |
| BMI kg/m2 | 29 (26, 33) | 29 (26, 31) | 28 (26, 3) | 0.993 † |
| Waist circumference (WC-IC), cm | 105 (93, 111) | 110 (93, 115) | 97 (94, 109) | 0.166 † |
| Waist circumference (WC-mid), cm | 98 (89, 109) | 101 (91, 115) | 94 (87, 103) | 0.136 † |
| Sensory examination | ||||
| Pinprick, n (%) | ||||
| Normal | 12 (23) | 2 (8) | 10 (36) | 0.002 *,ÿ |
| Hyperalgesia | 1 (2) | 1 (4) | 0 | |
| Reduced up to ankle | 21 (40) | 6 (25) | 15 (54) | |
| Reduced up to mid-shin | 12 (23) | 9 (38) | 3 (11) | |
| Reduced up to knee | 4 (8) | 4 (17) | 0 | |
| Reduced to above knee | 2 (4) | 2 (8) | 0 | |
| Vibration, n (%) | ||||
| Normal | 12 (23) | 3 (13) | 9 (32) | 0.014 *,ÿ |
| Reduced up to ankle | 18 (35) | 5 (21) | 13 (46) | |
| Reduced up to mid-shin | 1 (2) | 1 (4) | 0 | |
| Reduced up to knee | 8 (15) | 7 (29) | 1 (4) | |
| Reduced to above knee | 13 (25) | 8 (33) | 5 (18) | |
| Impaired joint position at large toe, n (%) | 11 (21) | 10 (42) | 1 (4) | 0.003 *,ÿ |
| Impaired heel walking, n (%) | 5 (10) | 4 (17) | 1 (4) | 0.261 ÿ |
| Impaired toe walking, n (%) | 7 (14) | 7 (30) | 0 | 0.008 *,ÿ |
| Ankle stretch reflex, n (%) | ||||
| Absent | 21(40) | 14 (58) | 7 (25) | 0.035 ÿ |
| Reduced | 6 (12) | 1(4) | 5 (18) | |
| Normal | 25 (48) | 9 (38) | 16 (57) |
Disclaimer/Publisher’s Note: The statements, opinions and data contained in all publications are solely those of the individual author(s) and contributor(s) and not of MDPI and/or the editor(s). MDPI and/or the editor(s) disclaim responsibility for any injury to people or property resulting from any ideas, methods, instructions or products referred to in the content. |
© 2026 by the authors. Licensee MDPI, Basel, Switzerland. This article is an open access article distributed under the terms and conditions of the Creative Commons Attribution (CC BY) license.
Share and Cite
Alhammad, R.M.; Alshoumar, A.; Alorainy, J.; Albulaihe, H.; Mujammami, M.; Alrehaili, M.; Awan, M.I. Clinical Utility of Serum Cystatin C in Predicting Diabetic Distal Sensorimotor Polyneuropathy. Biomedicines 2026, 14, 544. https://doi.org/10.3390/biomedicines14030544
Alhammad RM, Alshoumar A, Alorainy J, Albulaihe H, Mujammami M, Alrehaili M, Awan MI. Clinical Utility of Serum Cystatin C in Predicting Diabetic Distal Sensorimotor Polyneuropathy. Biomedicines. 2026; 14(3):544. https://doi.org/10.3390/biomedicines14030544
Chicago/Turabian StyleAlhammad, Reem M., Abdulaziz Alshoumar, Jehad Alorainy, Hana Albulaihe, Mohammed Mujammami, Marwah Alrehaili, and Mohammad I. Awan. 2026. "Clinical Utility of Serum Cystatin C in Predicting Diabetic Distal Sensorimotor Polyneuropathy" Biomedicines 14, no. 3: 544. https://doi.org/10.3390/biomedicines14030544
APA StyleAlhammad, R. M., Alshoumar, A., Alorainy, J., Albulaihe, H., Mujammami, M., Alrehaili, M., & Awan, M. I. (2026). Clinical Utility of Serum Cystatin C in Predicting Diabetic Distal Sensorimotor Polyneuropathy. Biomedicines, 14(3), 544. https://doi.org/10.3390/biomedicines14030544

