Genetic Predisposition to Lone Atrial Fibrillation and the Causal Effect on Cardiovascular Diseases: A Mendelian Randomization Study
Abstract
1. Introduction
2. Method
2.1. Instrumental Variables
2.2. Summary Data Sources for Outcome Analyses
2.3. MR Analysis
3. Result
3.1. GWAS Results
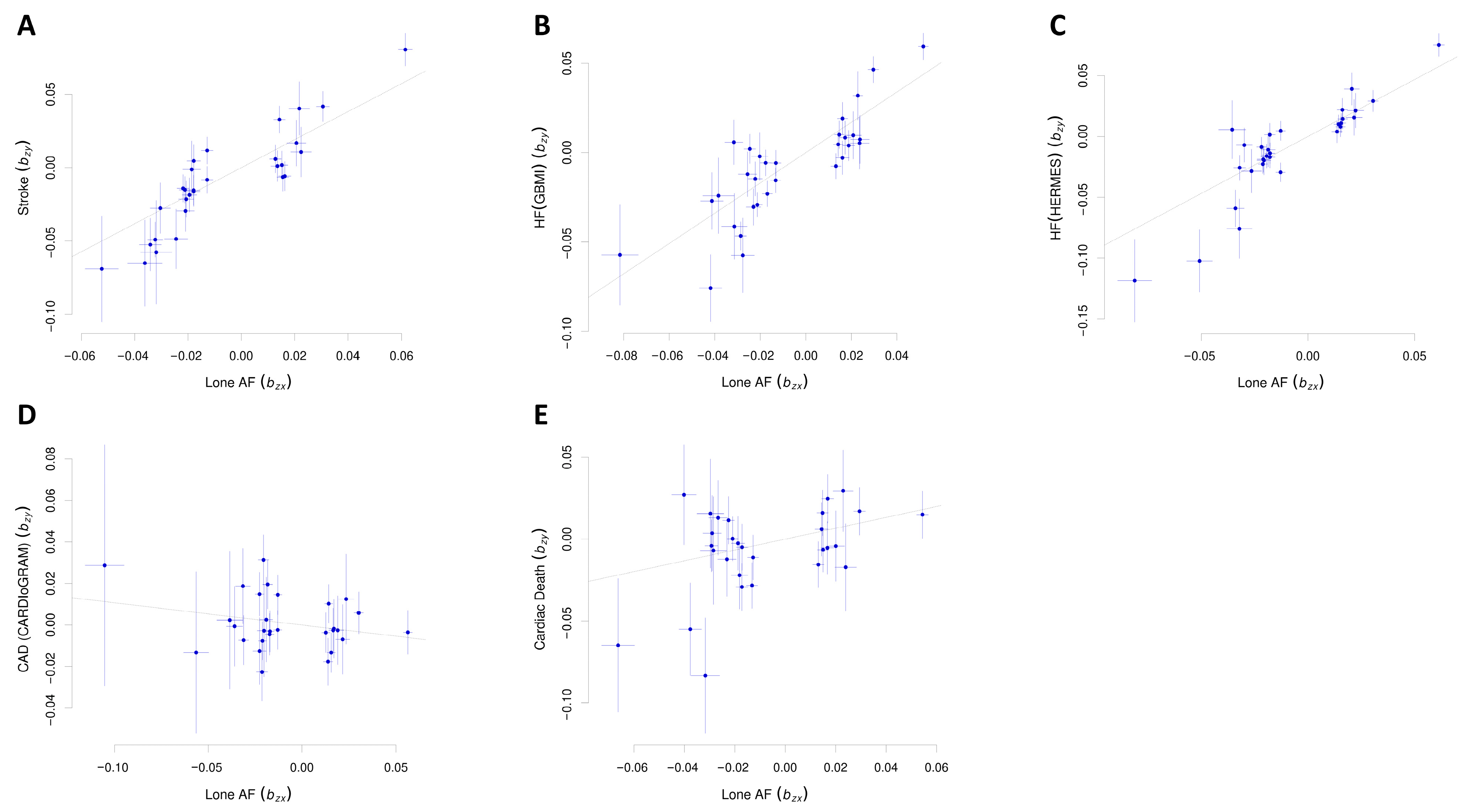
3.2. The Causal Effect of Lone AF on Cardiovascular Outcomes
3.3. The Causal Effect of Common AF on Cardiovascular Outcomes
4. Discussion
Limitations
5. Conclusions
Supplementary Materials
Author Contributions
Funding
Institutional Review Board Statement
Data Availability Statement
Acknowledgments
Conflicts of Interest
References
- Kornej, J.; Benjamin, E.J.; Magnani, J.W. Atrial fibrillation: Global burdens and global opportunities. Heart 2021, 107, 516–518. [Google Scholar] [CrossRef]
- Staerk, L.; Sherer, J.A.; Ko, D.; Benjamin, E.J.; Helm, R.H. Atrial Fibrillation: Epidemiology, Pathophysiology, and Clinical Outcomes. Circ. Res. 2017, 120, 1501–1517. [Google Scholar] [CrossRef] [PubMed]
- Huxley, R.R.; Lopez, F.L.; Folsom, A.R.; Agarwal, S.K.; Loehr, L.R.; Soliman, E.Z.; Maclehose, R.; Konety, S.; Alonso, A. Absolute and attributable risks of atrial fibrillation in relation to optimal and borderline risk factors: The Atherosclerosis Risk in Communities (ARIC) study. Circulation 2011, 123, 1501–1508. [Google Scholar] [CrossRef]
- Bell, K.J.L.; Loy, C.; Cust, A.E.; Teixeira-Pinto, A. Mendelian Randomization in Cardiovascular Research: Establishing Causality When There Are Unmeasured Confounders. Circ. Cardiovasc. Qual. Outcomes 2021, 14, e005623. [Google Scholar] [CrossRef] [PubMed]
- Miyazawa, K.; Ito, K.; Ito, M.; Zou, Z.; Kubota, M.; Nomura, S.; Matsunaga, H.; Koyama, S.; Ieki, H.; Akiyama, M.; et al. Cross-ancestry genome-wide analysis of atrial fibrillation unveils disease biology and enables cardioembolic risk prediction. Nat. Genet. 2023, 55, 187–197. [Google Scholar] [CrossRef] [PubMed]
- Hu, M.; Tan, J.; Yang, J.; Gao, X.; Yang, Y. Use of Mendelian randomization to evaluate the effect of atrial fibrillation on cardiovascular diseases and cardiac death. ESC Heart Fail. 2023, 10, 628–636. [Google Scholar] [CrossRef]
- Anter, E.; Jessup, M.; Callans, D.J. Atrial fibrillation and heart failure: Treatment considerations for a dual epidemic. Circulation 2009, 119, 2516–2525. [Google Scholar] [CrossRef]
- Marini, C.; De Santis, F.; Sacco, S.; Russo, T.; Olivieri, L.; Totaro, R.; Carolei, A. Contribution of atrial fibrillation to incidence and outcome of ischemic stroke: Results from a population-based study. Stroke 2005, 36, 1115–1119. [Google Scholar] [CrossRef]
- Larsson, S.C.; Butterworth, A.S.; Burgess, S. Mendelian randomization for cardiovascular diseases: Principles and applications. Eur. Heart J. 2023, 44, 4913–4924. [Google Scholar] [CrossRef]
- Stewart, S.; Hart, C.L.; Hole, D.J.; McMurray, J.J. A population-based study of the long-term risks associated with atrial fibrillation: 20-year follow-up of the Renfrew/Paisley study. Am. J. Med. 2002, 113, 359–364. [Google Scholar] [CrossRef]
- Koopmann, T.T.; Bezzina, C.R. Genetics of lone atrial fibrillation. Europace 2010, 12, 1351–1352. [Google Scholar] [CrossRef] [PubMed]
- Potpara, T.S.; Lip, G.Y. Lone atrial fibrillation—An overview. Int. J. Clin. Pract. 2014, 68, 418–433. [Google Scholar] [CrossRef] [PubMed]
- Potpara, T.S.; Stankovic, G.R.; Beleslin, B.D.; Polovina, M.M.; Marinkovic, J.M.; Ostojic, M.C.; Lip, G.Y.H. A 12-year follow-up study of patients with newly diagnosed lone atrial fibrillation: Implications of arrhythmia progression on prognosis: The Belgrade Atrial Fibrillation study. Chest 2012, 141, 339–347. [Google Scholar] [CrossRef] [PubMed]
- Jahangir, A.; Lee, V.; Friedman, P.A.; Trusty, J.M.; Hodge, D.O.; Kopecky, S.L.; Packer, D.L.; Hammill, S.C.; Shen, W.K.; Gersh, B.J. Long-term progression and outcomes with aging in patients with lone atrial fibrillation: A 30-year follow-up study. Circulation 2007, 115, 3050–3056. [Google Scholar] [CrossRef]
- Zhu, Z.; Zheng, Z.; Zhang, F.; Wu, Y.; Trzaskowski, M.; Maier, R.; Robinson, M.R.; McGrath, J.J.; Visscher, P.M.; Wray, N.R. Causal associations between risk factors and common diseases inferred from GWAS summary data. Nat. Commun. 2018, 9, 224. [Google Scholar] [CrossRef]
- Malik, R.; Chauhan, G.; Traylor, M.; Sargurupremraj, M.; Okada, Y.; Mishra, A.; Rutten-Jacobs, L.; Giese, A.K.; van der Laan, S.W.; Gretarsdottir, S.; et al. Multiancestry genome-wide association study of 520,000 subjects identifies 32 loci associated with stroke and stroke subtypes. Nat. Genet. 2018, 50, 524–537. [Google Scholar] [CrossRef]
- Shah, S.; Henry, A.; Roselli, C.; Lin, H.; Sveinbjörnsson, G.; Fatemifar, G.; Hedman, Å.K.; Wilk, J.B.; Morley, M.P.; Chaffin, M.D. Genome-wide association and Mendelian randomisation analysis provide insights into the pathogenesis of heart failure. Nat. Commun. 2020, 11, 163. [Google Scholar] [CrossRef]
- Zhou, W.; Kanai, M.; Wu, K.-H.H.; Rasheed, H.; Tsuo, K.; Hirbo, J.B.; Wang, Y.; Bhattacharya, A.; Zhao, H.; Namba, S. Global Biobank Meta-analysis Initiative: Powering genetic discovery across human disease. Cell Genom. 2022, 2, 100192. [Google Scholar] [CrossRef]
- CARDIoGRAMplusC4D Consortium. A comprehensive 1000 Genomes–based genome-wide association meta-analysis of coronary artery disease. Nat. Genet. 2015, 47, 1121–1130. [Google Scholar] [CrossRef]
- Kurki, M.I.; Karjalainen, J.; Palta, P.; Sipilä, T.P.; Kristiansson, K.; Donner, K.M.; Reeve, M.P.; Laivuori, H.; Aavikko, M.; Kaunisto, M.A. FinnGen provides genetic insights from a well-phenotyped isolated population. Nature 2023, 613, 508–518. [Google Scholar] [CrossRef]
- Seo, J.; Kim, G.; Park, S.; Lee, A.; Liang, L.; Park, T.; Chung, W. Assessing the causal effects of type 2 diabetes and obesity-related traits on COVID-19 severity. Hum. Genom. 2025, 19, 43. [Google Scholar] [CrossRef] [PubMed]
- Hemani, G.; Zheng, J.; Elsworth, B.; Wade, K.H.; Haberland, V.; Baird, D.; Laurin, C.; Burgess, S.; Bowden, J.; Langdon, R. The MR-Base platform supports systematic causal inference across the human phenome. eLife 2018, 7, e34408. [Google Scholar] [CrossRef]
- Verbanck, M.; Chen, C.-Y.; Neale, B.; Do, R. Detection of widespread horizontal pleiotropy in causal relationships inferred from Mendelian randomization between complex traits and diseases. Nat. Genet. 2018, 50, 693–698. [Google Scholar] [CrossRef] [PubMed]
- Bowden, J.; Del Greco M, F.; Minelli, C.; Davey Smith, G.; Sheehan, N.A.; Thompson, J.R. Assessing the suitability of summary data for two-sample Mendelian randomization analyses using MR-Egger regression: The role of the I2 statistic. Int. J. Epidemiol. 2016, 45, 1961–1974. [Google Scholar] [CrossRef]
- Bowden, J.; Davey Smith, G.; Haycock, P.C.; Burgess, S. Consistent estimation in Mendelian randomization with some invalid instruments using a weighted median estimator. Genet. Epidemiol. 2016, 40, 304–314. [Google Scholar] [CrossRef] [PubMed]
- Bound, J.; Jaeger, D.A.; Baker, R.M. Problems with Instrumental Variables Estimation When the Correlation between the Instruments and the Endogenous Explanatory Variable Is Weak. J. Am. Stat. Assoc. 1995, 90, 443–450. [Google Scholar] [CrossRef]
- Wu, Z.; Wang, J. Interpretation of two-sample Mendelian randomization for binary exposures and outcome. bioRxiv 2024. [Google Scholar] [CrossRef]
- Choi, S.H.; Jurgens, S.J.; Weng, L.C.; Pirruccello, J.P.; Roselli, C.; Chaffin, M.; Lee, C.J.; Hall, A.W.; Khera, A.V.; Lunetta, K.L.; et al. Monogenic and Polygenic Contributions to Atrial Fibrillation Risk: Results from a National Biobank. Circ. Res. 2020, 126, 200–209. [Google Scholar] [CrossRef]
- Weijs, B.; de Vos, C.B.; Tieleman, R.G.; Peeters, F.E.; Limantoro, I.; Kroon, A.A.; Cheriex, E.C.; Pisters, R.; Crijns, H.J. The occurrence of cardiovascular disease during 5-year follow-up in patients with idiopathic atrial fibrillation. Europace 2013, 15, 18–23. [Google Scholar] [CrossRef]
- Sairenchi, T.; Yamagishi, K.; Iso, H.; Irie, F.; Koba, A.; Nagao, M.; Umesawa, M.; Haruyama, Y.; Takaoka, N.; Watanabe, H.; et al. Atrial Fibrillation with and Without Cardiovascular Risk Factors and Stroke Mortality. J. Atheroscler. Thromb. 2021, 28, 241–248. [Google Scholar] [CrossRef]
- Kwok, M.K.; Schooling, C.M. Mendelian randomization study on atrial fibrillation and cardiovascular disease subtypes. Sci. Rep. 2021, 11, 18682. [Google Scholar] [CrossRef] [PubMed]
- Weijs, B.; Pisters, R.; Nieuwlaat, R.; Breithardt, G.; Le Heuzey, J.Y.; Vardas, P.E.; Limantoro, I.; Schotten, U.; Lip, G.Y.; Crijns, H.J. Idiopathic atrial fibrillation revisited in a large longitudinal clinical cohort. Europace 2012, 14, 184–190. [Google Scholar] [CrossRef] [PubMed]




| Diagnosis | Case | Control | Prevalence | Ancestry | UKB Data Inclusion | Consortium | |
|---|---|---|---|---|---|---|---|
| Exposure | AF | 40,203 | 417,589 | 0.088 | EUR | UKB | |
| Lone AF | 4767 | 417,589 | 0.011 | EUR | UKB | ||
| Outcomes | Coronary artery disease | 60,801 | 123,504 | 0.330 | EUR | No | CARDIoGRAMplusC4D |
| Stroke | 40,585 | 406,111 | 0.091 | EUR | No | MEGASTROKE | |
| Heart Failure | 68,408 | 1,286,331 | 0.050 | EUR | No | GBMI | |
| 47,309 | 930,014 | 0.048 | EUR | Yes | HERMES | ||
| Cardiac death | 7563 | 211,229 | 0.035 | EUR | No | FinnGen |
| rsID | Chromosome | Position (GRCh37) | Gene (Nearest or Within) | Reference Allele | Alternative Allele | RAF | Beta | p-Value |
|---|---|---|---|---|---|---|---|---|
| rs74583115 | 11 | 92,140,057 | FAT3 (intron) | C | G | 0.126 | 0.002 | 2.6 × 10−8 |
| rs1038444414 | 12 | 32,982,194 | PKP2 (intron) | A | T | 0.146 | 0.002 | 4.1 × 10−8 |
| Outcome | Summary Dataset | Exposure | No. of SNPs | OR (95% CI) | p-Value | FDR Value |
|---|---|---|---|---|---|---|
| Stroke | MEGASTROKE | Lone AF | 30 | 2.62 (2.14–3.22) | 2.8 × 10−20 | 2.3 × 10−19 |
| Common AF | 147 | 1.86 (1.69–2.04) | 1.5 × 10−36 | 2.5 × 10−36 | ||
| HF | GBMI | Lone AF | 32 | 2.23 (1.90–2.60) | 1.0 × 10−23 | 1.3 × 10−22 |
| Common AF | 160 | 1.71 (1.59–1.84) | 4.0 × 10−48 | 1.0 × 10−47 | ||
| HERMES | Lone AF | 30 | 2.55 (2.14–3.04) | 1.4 × 10−25 | 1.8 × 10−24 | |
| Common AF | 151 | 1.94 (1.79–2.11) | 3.6 × 10−57 | 1.8 × 10−56 | ||
| CAD | CARDIoGRAM | Lone AF | 33 | 0.90 (0.73–1.10) | 0.307 | 0.307 |
| Common AF | 150 | 1.01 (0.92–1.12) | 0.802 | 0.802 | ||
| Cardiac death | FinnGen | Lone AF | 30 | 1.32 (0.99–1.77) | 0.059 | 0.185 |
| Common AF | 148 | 1.28 (1.12–1.46) | 3.0 × 10−4 | 3.8 × 10−4 |
Disclaimer/Publisher’s Note: The statements, opinions and data contained in all publications are solely those of the individual author(s) and contributor(s) and not of MDPI and/or the editor(s). MDPI and/or the editor(s) disclaim responsibility for any injury to people or property resulting from any ideas, methods, instructions or products referred to in the content. |
© 2026 by the authors. Licensee MDPI, Basel, Switzerland. This article is an open access article distributed under the terms and conditions of the Creative Commons Attribution (CC BY) license.
Share and Cite
Park, S.; Kim, H.; Seo, J.; Kim, D.Y.; Hwang, Y.; Kim, S.-H.; Lee, K.; Chung, W.; Choi, Y. Genetic Predisposition to Lone Atrial Fibrillation and the Causal Effect on Cardiovascular Diseases: A Mendelian Randomization Study. Biomedicines 2026, 14, 413. https://doi.org/10.3390/biomedicines14020413
Park S, Kim H, Seo J, Kim DY, Hwang Y, Kim S-H, Lee K, Chung W, Choi Y. Genetic Predisposition to Lone Atrial Fibrillation and the Causal Effect on Cardiovascular Diseases: A Mendelian Randomization Study. Biomedicines. 2026; 14(2):413. https://doi.org/10.3390/biomedicines14020413
Chicago/Turabian StylePark, Seunghwan, Hwajung Kim, Jieun Seo, Do Young Kim, Youmi Hwang, Sung-Hwan Kim, Kichang Lee, Wonil Chung, and Young Choi. 2026. "Genetic Predisposition to Lone Atrial Fibrillation and the Causal Effect on Cardiovascular Diseases: A Mendelian Randomization Study" Biomedicines 14, no. 2: 413. https://doi.org/10.3390/biomedicines14020413
APA StylePark, S., Kim, H., Seo, J., Kim, D. Y., Hwang, Y., Kim, S.-H., Lee, K., Chung, W., & Choi, Y. (2026). Genetic Predisposition to Lone Atrial Fibrillation and the Causal Effect on Cardiovascular Diseases: A Mendelian Randomization Study. Biomedicines, 14(2), 413. https://doi.org/10.3390/biomedicines14020413

