Clinical Significance of Soluble L1CAM Serum Levels in Patients with High-Risk Endometrial Cancer
Abstract
1. Introduction
2. Materials and Methods
2.1. Patients and Biological Samples
2.2. Measurement of sL1CAM in Serum
2.3. Statistical Methods
3. Results
3.1. High sL1CAM Levels Are Associated with Advanced Age and Non-Endometrioid Histological Type
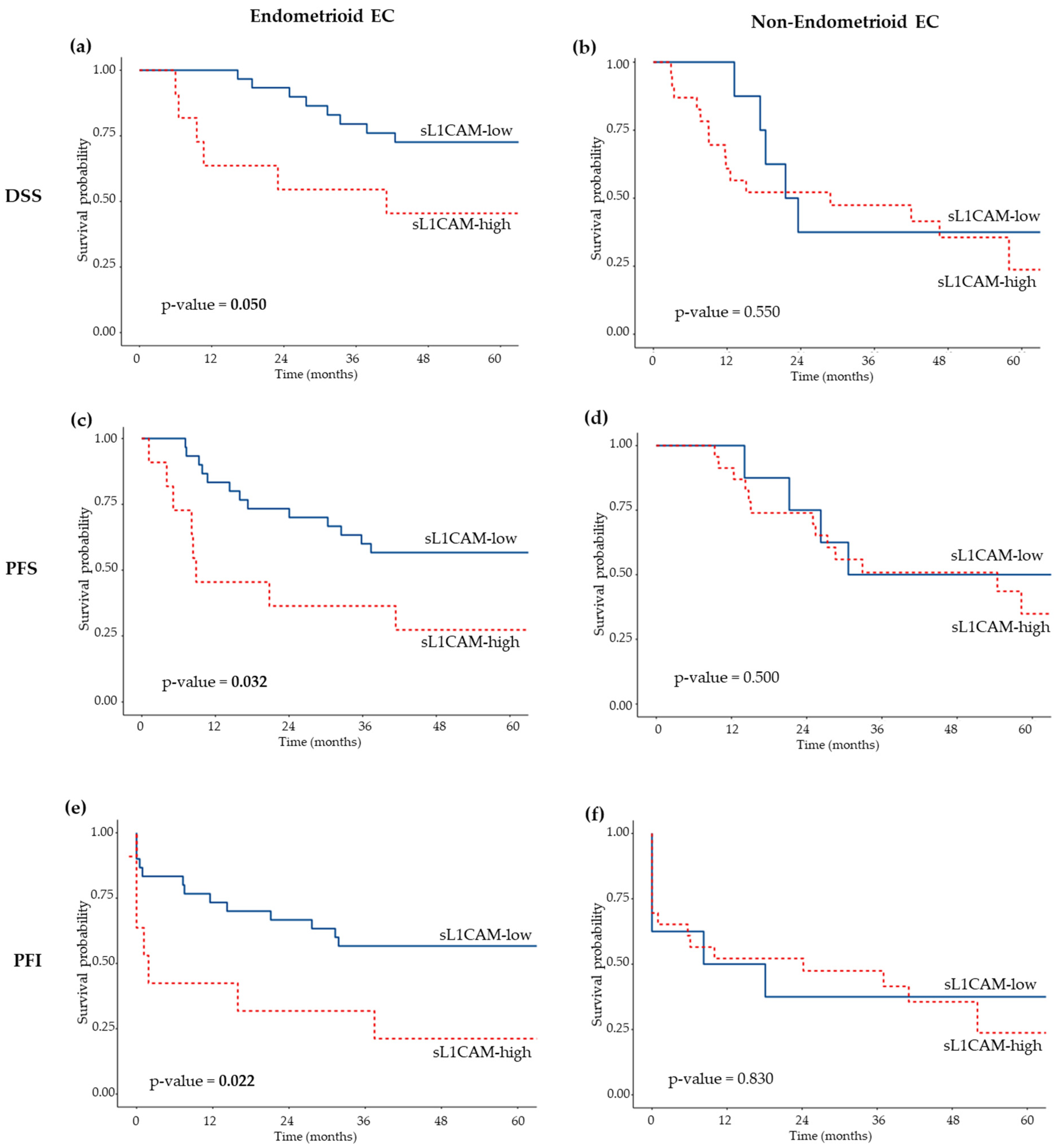
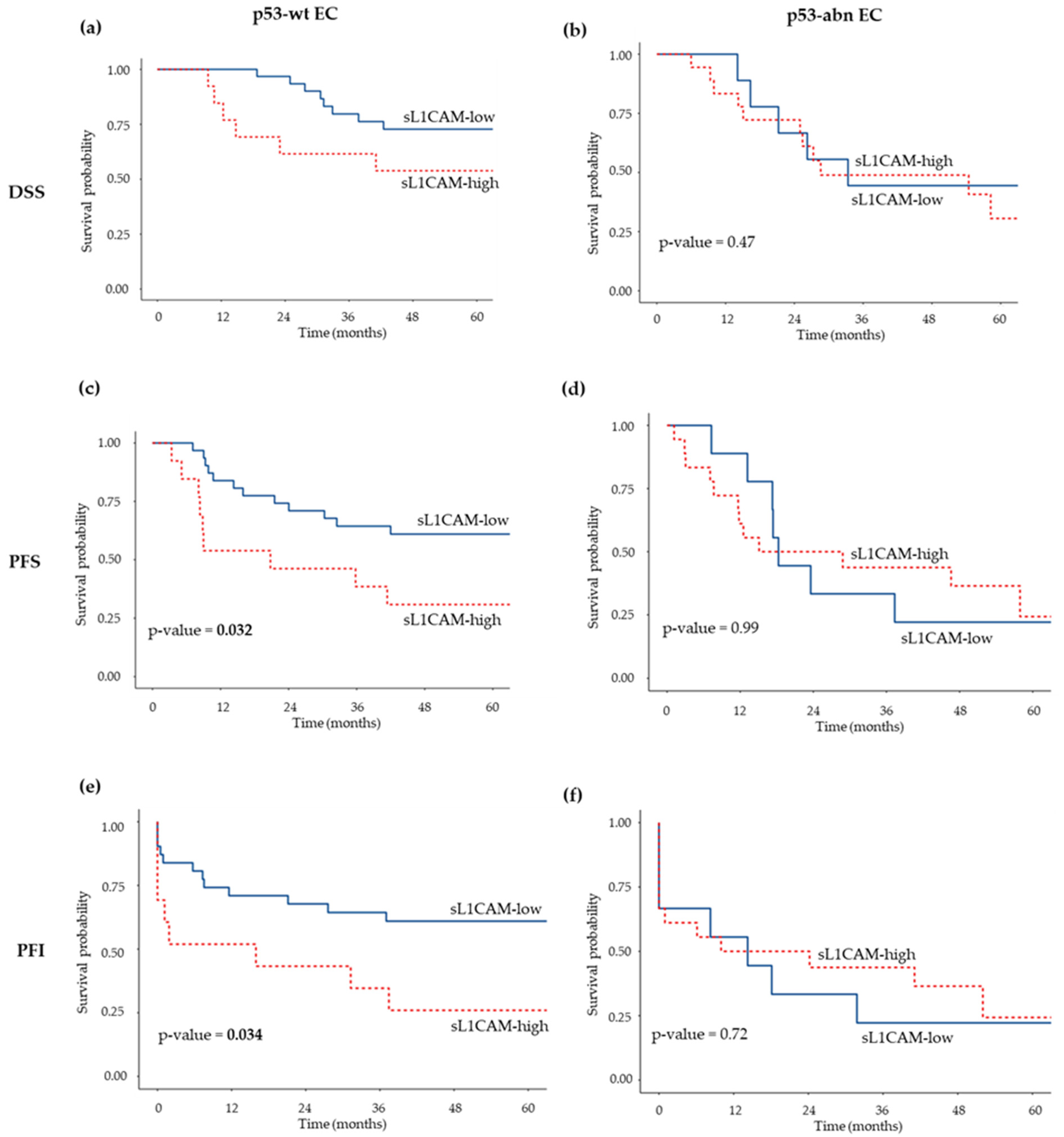
3.2. High sL1CAM Levels Predict Poor Outcome in Endometrioid EC and p53-wt EC
3.3. Elevated sL1CAM Levels Are Associated with Shorter Time to Recurrence and Predict Early Relapse After Platinum-Based First-Line Chemotherapy
4. Discussion
Author Contributions
Funding
Institutional Review Board Statement
Informed Consent Statement
Data Availability Statement
Acknowledgments
Conflicts of Interest
References
- Rižner, T.L.; Romano, A. The Discovery of Biomarkers for Endometrial Cancer: Update over the Last Years. Expert Rev. Mol. Diagn. 2025, 25, 425–452. [Google Scholar] [CrossRef]
- Raza, A.; Abaidullah, R.; Alshabrmi, F.M.; Fatima, I. A Comprehensive Systematic Review of Prognostic Factors, Survival Outcomes, and the Role of Targeted Therapies in Endometrial Cancer. Ir. J. Med. Sci. 2025, 194, 1209–1222. [Google Scholar] [CrossRef]
- Kalampokas, E.; Giannis, G.; Kalampokas, T.; Papathanasiou, A.-A.; Mitsopoulou, D.; Tsironi, E.; Triantafyllidou, O.; Gurumurthy, M.; Parkin, D.E.; Cairns, M.; et al. Current Approaches to the Management of Patients with Endometrial Cancer. Cancers 2022, 14, 4500. [Google Scholar] [CrossRef]
- León-Castillo, A.; de Boer, S.M.; Powell, M.E.; Mileshkin, L.R.; Mackay, H.J.; Leary, A.; Nijman, H.W.; Singh, N.; Pollock, P.M.; Bessette, P.; et al. Molecular Classification of the PORTEC-3 Trial for High-Risk Endometrial Cancer: Impact on Prognosis and Benefit From Adjuvant Therapy. J. Clin. Oncol. 2020, 38, 3388–3397. [Google Scholar] [CrossRef]
- Perera, J.; Hoskin, P. Adjuvant Therapy for High-Risk Endometrial Carcinoma. Clin. Oncol. 2021, 33, 560–566. [Google Scholar] [CrossRef]
- Francoeur, A.A.; Ayoub, N.; Greenberg, D.; Tewari, K.S. Drug Discovery in Advanced and Recurrent Endometrial Cancer: Recent Advances. Oncol. Res. 2025, 33, 1511–1530. [Google Scholar] [CrossRef] [PubMed]
- Concin, N.; Matias-Guiu, X.; Vergote, I.; Cibula, D.; Mirza, M.R.; Marnitz, S.; Ledermann, J.; Bosse, T.; Chargari, C.; Fagotti, A.; et al. ESGO/ESTRO/ESP Guidelines for the Management of Patients with Endometrial Carcinoma. Int. J. Gynecol. Cancer 2021, 31, 12–39. [Google Scholar] [CrossRef]
- Gavert, N.; Ben-Shmuel, A.; Raveh, S.; Ben-Ze’ev, A. L1-CAM in Cancerous Tissues. Expert Opin. Biol. Ther. 2008, 8, 1749–1757. [Google Scholar] [CrossRef] [PubMed]
- Kiefel, H.; Bondong, S.; Hazin, J.; Ridinger, J.; Schirmer, U.; Riedle, S.; Altevogt, P. L1CAM—A Major Driver for Tumor Cell Invasion and Motility. Cell Adhes. Migr. 2012, 6, 374–384. [Google Scholar] [CrossRef] [PubMed]
- Altevogt, P.; Doberstein, K.; Fogel, M. L1CAM in Human Cancer. Int. J. Cancer 2016, 138, 1565–1576. [Google Scholar]
- Altevogt, P.; Ben-Ze’ev, A.; Gavert, N.; Schumacher, U.; Schäfer, H.; Sebens, S. Recent Insights into the Role of L1CAM in Cancer Initiation and Progression. Int. J. Cancer 2020, 147, 3292–3296. [Google Scholar] [CrossRef]
- Riedle, S.; Kiefel, H.; Gast, D.; Bondong, S.; Wolterink, S.; Gutwein, P.; Altevogt, P. Nuclear Translocation and Signalling of L1-CAM in Human Carcinoma Cells Requires ADAM10 and Presenilin/γ-Secretase Activity. Biochem. J. 2009, 420, 391–402. [Google Scholar] [CrossRef]
- Dräger, O.; Metz, K.; Busch, M.; Dünker, N. Role of L1CAM in Retinoblastoma Tumorigenesis: Identification of Novel Therapeutic Targets. Mol. Oncol. 2022, 16, 957–981. [Google Scholar] [CrossRef]
- van der Maten, M.; Reijnen, C.; Pijnenborg, J.M.A.; Zegers, M.M. L1 Cell Adhesion Molecule in Cancer, a Systematic Review on Domain-Specific Functions. Int. J. Mol. Sci. 2019, 20, 4180. [Google Scholar] [CrossRef] [PubMed]
- Romani, C.; Capoferri, D.; Reijnen, C.; Lonardi, S.; Ravaggi, A.; Ratti, M.; Bugatti, M.; Zanotti, L.; Tognon, G.; Sartori, E.; et al. L1CAM Expression as a Predictor of Platinum Response in High-risk Endometrial Carcinoma. Int. J. Cancer 2022, 151, 637–648. [Google Scholar] [CrossRef] [PubMed]
- Pradhan, M.; Kildal, W.; Vlatkovic, L.; Tobin, K.A.R.; Lindemann, K.; Kristensen, G.B.; Kleppe, A.; Askautrud, H.A. Prognostic Value of Tertiary Lymphoid Structures in Molecular Subgroups of Endometrial Carcinoma. Int. J. Gynecol. Cancer 2025, 35, 101915. [Google Scholar] [CrossRef] [PubMed]
- Loukovaara, M.; Pasanen, A.; Bützow, R. Molecular Subgroup-Specific Prognostic Value of Semiquantitative Lymphovascular Space Invasion in Early-Stage Endometrioid Endometrial Cancer. Gynecol. Oncol. 2025, 197, 96–101. [Google Scholar] [CrossRef]
- Li, Y.; Yan, J.; Deng, Y.; Wang, P.; Bai, X.; Qin, W. Multifactorial Construction of Low-grade and High-grade Endometrial Cancer Recurrence Prediction Models. Int. J. Gynecol. Obstet. 2025, 170, 816–826. [Google Scholar] [CrossRef]
- Ozdemir, C.Y.; Arioz, D.T.; Pektaş, M.K.; Ozdemir, C.; Cicekli, N.; Bilir, F.; Dur, R.; Goztepe, E. How Can “No Specific Molecular Profile” Heterogeneity Be Reduced in Molecularly Classified Endometrial Cancer?: Prognostic Significance of L1 Cell Adhesion Molecule. Int. J. Gynecol. Pathol. 2025, 44, 230–236. [Google Scholar]
- Kim, J.C.; Ahn, B.; Lee, Y.J.; Nam, E.J.; Kim, S.W.; Kim, S.; Kim, Y.T.; Park, E.; Lee, J.-Y. Mismatch Repair, P53, and L1 Cell Adhesion Molecule Status Influence the Response to Chemotherapy in Advanced and Recurrent Endometrial Cancer. BMC Cancer 2024, 24, 1586. [Google Scholar] [CrossRef]
- Ravaggi, A.; Capoferri, D.; Ardighieri, L.; Ghini, I.; Ferrari, F.; Romani, C.; Bugatti, M.; Zanotti, L.; Vrede, S.; Tognon, G.; et al. Integrated Biomarker Analysis Reveals L1CAM as a Potential Stratification Marker for No Specific Molecular Profile High-Risk Endometrial Carcinoma. Cancers 2022, 14, 5429. [Google Scholar] [CrossRef] [PubMed]
- Fogel, M.; Gutwein, P.; Mechtersheimer, S.; Riedle, S.; Stoeck, A.; Smirnov, A.; Edler, L.; Ben-Arie, A.; Huszar, M.; Altevogt, P. L1 Expression as a Predictor of Progression and Survival in Patients with Uterine and Ovarian Carcinomas. Lancet 2003, 362, 869–875. [Google Scholar] [CrossRef] [PubMed]
- Bednarikova, M.; Vinklerova, P.; Gottwaldova, J.; Ovesna, P.; Hausnerova, J.; Minar, L.; Felsinger, M.; Valik, D.; Cermakova, Z.; Weinberger, V. The Clinical Significance of DJ1 and L1CAM Serum Level Monitoring in Patients with Endometrial Cancer. J. Clin. Med. 2021, 10, 2640. [Google Scholar] [CrossRef] [PubMed]
- Pasanen, A.; Loukovaara, M.; Tuomi, T.; Butzow, R. Preoperative Risk Stratification of Endometrial Carcinoma. Int. J. Gynecol. Cancer 2017, 27, 1318–1324. [Google Scholar] [CrossRef]
- Sertel, E.; Demir, M.; Dogan, S.; Corakci, A. Could Soluble L1 Cell Adhesion Molecule (SL1CAM) in Serum Be a New Biomarker for Endometrial Cancer? Ginekol. Polska 2022, 94, 463–469. [Google Scholar] [CrossRef]
- Tangen, I.L.; Kopperud, R.K.; Visser, N.C.; Staff, A.C.; Tingulstad, S.; Marcickiewicz, J.; Amant, F.; Bjørge, L.; Pijnenborg, J.M.; Salvesen, H.B.; et al. Expression of L1CAM in Curettage or High L1CAM Level in Preoperative Blood Samples Predicts Lymph Node Metastases and Poor Outcome in Endometrial Cancer Patients. Br. J. Cancer 2017, 117, 840–847. [Google Scholar] [CrossRef]
- Wojciechowski, M.; Głowacka, E.; Wilczyński, M.; Pękala-Wojciechowska, A.; Malinowski, A. The SL1CAM in Sera of Patients with Endometrial and Ovarian Cancers. Arch. Gynecol. Obstet. 2017, 295, 225–232. [Google Scholar] [CrossRef]
- Lausen, B.; Schumacher, M. Maximally Selected Rank Statistics. Biometrics 1992, 48, 73. [Google Scholar] [CrossRef]
- Hua, T.; Liu, S.; Xin, X.; Jin, Z.; Liu, Q.; Chi, S.; Wang, X.; Wang, H. Prognostic Significance of L1 Cell Adhesion Molecule in Cancer Patients: A Systematic Review and Meta-Analysis. Oncotarget 2016, 7, 85196–85207. [Google Scholar] [CrossRef]
- Kommoss, F.; Kommoss, F.; Grevenkamp, F.; Bunz, A.-K.; Taran, F.-A.; Fend, F.; Brucker, S.Y.; Wallwiener, D.; Schönfisch, B.; Greif, K.; et al. L1CAM: Amending the “Low-Risk” Category in Endometrial Carcinoma. J. Cancer Res. Clin. Oncol. 2017, 143, 255–262. [Google Scholar] [CrossRef]
- Corrado, G.; Laquintana, V.; Loria, R.; Carosi, M.; de Salvo, L.; Sperduti, I.; Zampa, A.; Cicchillitti, L.; Piaggio, G.; Cutillo, G.; et al. Endometrial Cancer Prognosis Correlates with the Expression of L1CAM and MiR34a Biomarkers. J. Exp. Clin. Cancer Res. 2018, 37, 139. [Google Scholar] [CrossRef]
- Guo, M.; Gong, H.; Nie, D.; Li, Z. High L1CAM Expression Predicts Poor Prognosis of Patients with Endometrial Cancer. Medicine 2021, 100, e25330. [Google Scholar] [CrossRef]
- van der Putten, L.J.; Visser, N.C.; van de Vijver, K.; Santacana, M.; Bronsert, P.; Bulten, J.; Hirschfeld, M.; Colas, E.; Gil-Moreno, A.; Garcia, A.; et al. L1CAM Expression in Endometrial Carcinomas: An ENITEC Collaboration Study. Br. J. Cancer 2016, 115, 716–724. [Google Scholar] [CrossRef]
- Geels, Y.P.; Pijnenborg, J.M.A.; Gordon, B.B.M.; Fogel, M.; Altevogt, P.; Masadah, R.; Bulten, J.; van Kempen, L.C.; Massuger, L.F.A.G. L1CAM Expression Is Related to Non-Endometrioid Histology, and Prognostic for Poor Outcome in Endometrioid Endometrial Carcinoma. Pathol. Oncol. Res. 2016, 22, 863–868. [Google Scholar] [CrossRef] [PubMed]
- Momeni-Boroujeni, A.; Dahoud, W.; Vanderbilt, C.M.; Chiang, S.; Murali, R.; Rios-Doria, E.V.; Alektiar, K.M.; Aghajanian, C.; Abu-Rustum, N.R.; Ladanyi, M.; et al. Clinicopathologic and Genomic Analysis of TP53-Mutated Endometrial Carcinomas. Clin. Cancer Res. 2021, 27, 2613–2623. [Google Scholar] [CrossRef]
- Chen, D.; Zeng, Z.; Yang, J.; Ren, C.; Wang, D.; Wu, W.; Xu, R. L1cam Promotes Tumor Progression and Metastasis and Is an Independent Unfavorable Prognostic Factor in Gastric Cancer. J. Hematol. Oncol. 2013, 6, 43. [Google Scholar] [CrossRef] [PubMed]
- Hai, J.; Zhu, C.-Q.; Bandarchi, B.; Wang, Y.-H.; Navab, R.; Shepherd, F.A.; Jurisica, I.; Tsao, M.-S. L1 Cell Adhesion Molecule Promotes Tumorigenicity and Metastatic Potential in Non–Small Cell Lung Cancer. Clin. Cancer Res. 2012, 18, 1914–1924. [Google Scholar] [CrossRef] [PubMed]
- Ben, Q.; An, W.; Fei, J.; Xu, M.; Li, G.; Li, Z.; Yuan, Y. Downregulation of L1CAM Inhibits Proliferation, Invasion and Arrests Cell Cycle Progression in Pancreatic Cancer Cells in Vitro. Exp. Ther. Med. 2014, 7, 785–790. [Google Scholar] [CrossRef]
- Stoeck, A.; Gast, D.; Sanderson, M.P.; Issa, Y.; Gutwein, P.; Altevogt, P. L1-CAM in a Membrane-Bound or Soluble Form Augments Protection from Apoptosis in Ovarian Carcinoma Cells. Gynecol. Oncol. 2007, 104, 461–469. [Google Scholar]
- Chen, J.; Gao, F.; Liu, N. L1CAM Promotes Epithelial to Mesenchymal Transition and Formation of Cancer Initiating Cells in Human Endometrial Cancer. Exp. Ther. Med. 2018, 15, 2792–2797. [Google Scholar] [CrossRef]
- Raveh, S.; Gavert, N.; Ben-Ze’ev, A. L1 Cell Adhesion Molecule (L1CAM) in Invasive Tumors. Cancer Lett. 2009, 282, 137–145. [Google Scholar] [CrossRef] [PubMed]
- Gutwein, P.; Stoeck, A.; Riedle, S.; Gast, D.; Runz, S.; Condon, T.P.; Marmé, A.; Phong, M.-C.; Linderkamp, O.; Skorokhod, A.; et al. Cleavage of L1 in Exosomes and Apoptotic Membrane Vesicles Released from Ovarian Carcinoma Cells. Clin. Cancer Res. 2005, 11, 2492–2501. [Google Scholar] [CrossRef] [PubMed]
- Hood, J.D.; Frausto, R.; Kiosses, W.B.; Schwartz, M.A.; Cheresh, D.A. Differential Av Integrin–Mediated Ras-ERK Signaling during Two Pathways of Angiogenesis. J. Cell Biol. 2003, 162, 933–943. [Google Scholar] [CrossRef]
- Roberts, C.M.; Tran, M.A.; Pitruzzello, M.C.; Wen, W.; Loeza, J.; Dellinger, T.H.; Mor, G.; Glackin, C.A. TWIST1 Drives Cisplatin Resistance and Cell Survival in an Ovarian Cancer Model, via Upregulation of GAS6, L1CAM, and Akt Signalling. Sci. Rep. 2016, 6, 37652. [Google Scholar] [CrossRef]
- Berek, J.S.; Matias-Guiu, X.; Creutzberg, C.; Fotopoulou, C.; Gaffney, D.; Kehoe, S.; Lindemann, K.; Mutch, D.; Concin, N. FIGO Staging of Endometrial Cancer: 2023. Int. J. Gynaecol. Obstet. 2023, 162, 383–394. [Google Scholar] [CrossRef] [PubMed]



| N. of Patients (%) | ||||
|---|---|---|---|---|
| Variable | sL1CAM-High | sL1CAM-Low | tot | p-Value 1 |
| Age at diagnosis (years) | 0.005 | |||
| ≤66 | 13 (35) | 24 (65) | 37 | |
| >66 | 24 (69) | 11 (31) | 35 | |
| FIGO stage 2 | 0.675 | |||
| I–II | 12 (48) | 13 (52) | 25 | |
| III–IV | 25 (53) | 22 (47) | 47 | |
| WHO grading | 0.303 | |||
| Grade 2 | 5 (38) | 8 (62) | 13 | |
| Grade 3 | 32 (54) | 27 (46) | 59 | |
| Histology | <0.001 | |||
| Endometrioid | 14 (34) | 27 (66) | 41 | |
| Non-endometrioid 3 | 23 (74) | 8 (26) | 31 | |
| Myometrial invasion | 0.535 | |||
| M1 | 10 (56) | 8 (44) | 18 | |
| M2 | 24 (47) | 27 (53) | 51 | |
| Unknown | 3 | 0 | 3 | |
| Lymph node status | 0.363 | |||
| Negative | 16 (52) | 15 (48) | 31 | |
| Positive | 12 (40) | 18 (60) | 30 | |
| Unknown | 9 | 2 | 11 | |
| Lymphovascular invasion | 0.284 | |||
| Absent | 3 (33) | 6 (67) | 9 | |
| Present | 31 (52) | 29 (48) | 60 | |
| Unknown | 3 | 0 | 3 | |
| Risk Group | 0.061 | |||
| High–intermediate | 3 (23) | 10 (77) | 13 | |
| High | 23 (55) | 19 (45) | 42 | |
| Advanced Metastatic | 11 (65) | 6 (35) | 17 | |
| DSS | PFS | PFI | |||||||
|---|---|---|---|---|---|---|---|---|---|
| HR | 95% CI | p-Value | HR | 95% CI | p-Value | HR | 95% CI | p-Value | |
| Univariate analysis | |||||||||
| Age (years) | |||||||||
| >66 vs. ≤66 | 2.14 | 1.06–4.32 | 0.033 | 1.88 | 1.02–3.46 | 0.042 | 1.71 | 0.93–3.16 | 0.083 |
| FIGO stage | |||||||||
| III–IV vs. I–II | 7.37 | 2.25–24.2 | 0.001 | 4.48 | 1.98–10.1 | <0.001 | 4.44 | 1.96–10.1 | <0.001 |
| Histological Type | |||||||||
| Non-end vs. end | 2.05 | 1.03–4.1 | 0.042 | 1.42 | 0.77–2.61 | 0.264 | 1.45 | 0.79–2.67 | 0.230 |
| WHO grading | |||||||||
| G3 vs. G2 | 1.71 | 0.6–4.86 | 0.318 | 1.41 | 0.59–3.35 | 0.436 | 1.50 | 0.63–3.57 | 0.359 |
| Myometrial invasion | |||||||||
| M2 vs. M1 | 1.89 | 0.72–4.94 | 0.193 | 1.70 | 0.78–3.70 | 0.132 | 1.79 | 0.82–3.91 | 0.141 |
| Lymph node status | |||||||||
| Pos. vs. Neg. | 3.51 | 1.39–8.85 | 0.008 | 2.08 | 1.02–4.27 | 0.045 | 2.16 | 1.05–4.42 | 0.036 |
| LVSI 1 | |||||||||
| Yes vs. No | 5.78 | 0.79–42.4 | 0.085 | 1.62 | 0.58–4.57 | 0.358 | 1.69 | 0.60–4.75 | 0.321 |
| sL1CAM | |||||||||
| High vs. Low | 2.22 | 1.09–4.55 | 0.028 | 1.91 | 1.03–3.55 | 0.041 | 1.82 | 0.98–3.39 | 0.059 |
| Multivariate analysis | |||||||||
| FIGO stage | |||||||||
| III–IV vs. I–II | 8.46 | 2.56–27.9 | <0.001 | 5.15 | 2.26–11.8 | <0.001 | 5.22 | 2.28–12.0 | <0.001 |
| WHO grading | |||||||||
| G3 vs. G2 | 2.02 | 0.69–5.90 | 0.198 | 1.59 | 0.64–3.99 | 0.319 | 1.81 | 0.72–4.52 | 0.204 |
| sL1CAM | |||||||||
| High vs. Low | 2.13 | 1.03–4.40 | 0.041 | 1.93 | 1.01–3.70 | 0.048 | 1.75 | 0.91–3.37 | 0.095 |
| DSS | PFS | PFI | |||||||
|---|---|---|---|---|---|---|---|---|---|
| HR | 95% CI | p-Value | HR | 95% CI | p-Value | HR | 95% CI | p-Value | |
| Univariate analysis | |||||||||
| EC groups | |||||||||
| sL1CAM-low EEC | 1 | - | - | 1 | - | - | 1 | - | - |
| sL1CAM-high EEC | 2.90 | 1.02–8.18 | 0.045 | 2.58 | 1.08–6.16 | 0.033 | 2.69 | 1.12–6.47 | 0.027 |
| non-EEC | 2.81 | 1.25–6.32 | 0.013 | 1.83 | 0.92–3.63 | 0.086 | 1.89 | 0.95–3.76 | 0.069 |
| Multivariate analysis | |||||||||
| EC groups | |||||||||
| sL1CAM-low EEC | 1 | - | - | 1 | - | - | 1 | - | - |
| sL1CAM-high EEC | 2.96 | 1.03–8.50 | 0.043 | 2.45 | 1.02–5.88 | 0.045 | 2.97 | 1.22–7.21 | 0.017 |
| non-EEC | 3.17 | 1.36–7.38 | 0.007 | 2.06 | 1.01–4.22 | 0.048 | 2.31 | 1.13–4.72 | 0.022 |
| FIGO stage | |||||||||
| I–II | 1 | - | - | 1 | - | - | 1 | - | - |
| III–IV | 9.34 | 2.81–31.1 | <0.001 | 5.36 | 2.33–12.3 | <0.001 | 6.02 | 2.59–14.0 | <0.001 |
| Tumor grade | |||||||||
| G2 | 1 | - | - | 1 | - | - | 1 | - | - |
| G3 | 2.09 | 0.71–6.17 | 0.182 | 1.73 | 0.70–4.24 | 0.233 | 2.02 | 0.83–4.93 | 0.124 |
Disclaimer/Publisher’s Note: The statements, opinions and data contained in all publications are solely those of the individual author(s) and contributor(s) and not of MDPI and/or the editor(s). MDPI and/or the editor(s) disclaim responsibility for any injury to people or property resulting from any ideas, methods, instructions or products referred to in the content. |
© 2025 by the authors. Licensee MDPI, Basel, Switzerland. This article is an open access article distributed under the terms and conditions of the Creative Commons Attribution (CC BY) license (https://creativecommons.org/licenses/by/4.0/).
Share and Cite
Ravaggi, A.; Bergamaschi, C.; Zanotti, L.; Gozzini, E.; Momi, M.; Tognon, G.; Odicino, F.; Bignotti, E. Clinical Significance of Soluble L1CAM Serum Levels in Patients with High-Risk Endometrial Cancer. Biomedicines 2025, 13, 2670. https://doi.org/10.3390/biomedicines13112670
Ravaggi A, Bergamaschi C, Zanotti L, Gozzini E, Momi M, Tognon G, Odicino F, Bignotti E. Clinical Significance of Soluble L1CAM Serum Levels in Patients with High-Risk Endometrial Cancer. Biomedicines. 2025; 13(11):2670. https://doi.org/10.3390/biomedicines13112670
Chicago/Turabian StyleRavaggi, Antonella, Cosetta Bergamaschi, Laura Zanotti, Elisa Gozzini, Marina Momi, Germana Tognon, Franco Odicino, and Eliana Bignotti. 2025. "Clinical Significance of Soluble L1CAM Serum Levels in Patients with High-Risk Endometrial Cancer" Biomedicines 13, no. 11: 2670. https://doi.org/10.3390/biomedicines13112670
APA StyleRavaggi, A., Bergamaschi, C., Zanotti, L., Gozzini, E., Momi, M., Tognon, G., Odicino, F., & Bignotti, E. (2025). Clinical Significance of Soluble L1CAM Serum Levels in Patients with High-Risk Endometrial Cancer. Biomedicines, 13(11), 2670. https://doi.org/10.3390/biomedicines13112670

