Imbalance of Serum Bone-Metabolism-Related Factors Associated with Osteonecrosis of the Jaw
Abstract
1. Introduction
2. Materials and Methods
2.1. Data Source
2.2. Patients and Study Design
2.3. Bead-Based Immunoassay Using Flow Cytometry
2.4. Statistical Analysis
3. Results
3.1. Clinical Characteristics of Patients in the Non-MRONJ and MRONJ Groups
3.2. Inter-Correlation of Bone Metabolism Factors Associated with Osteonecrosis of the Jaw
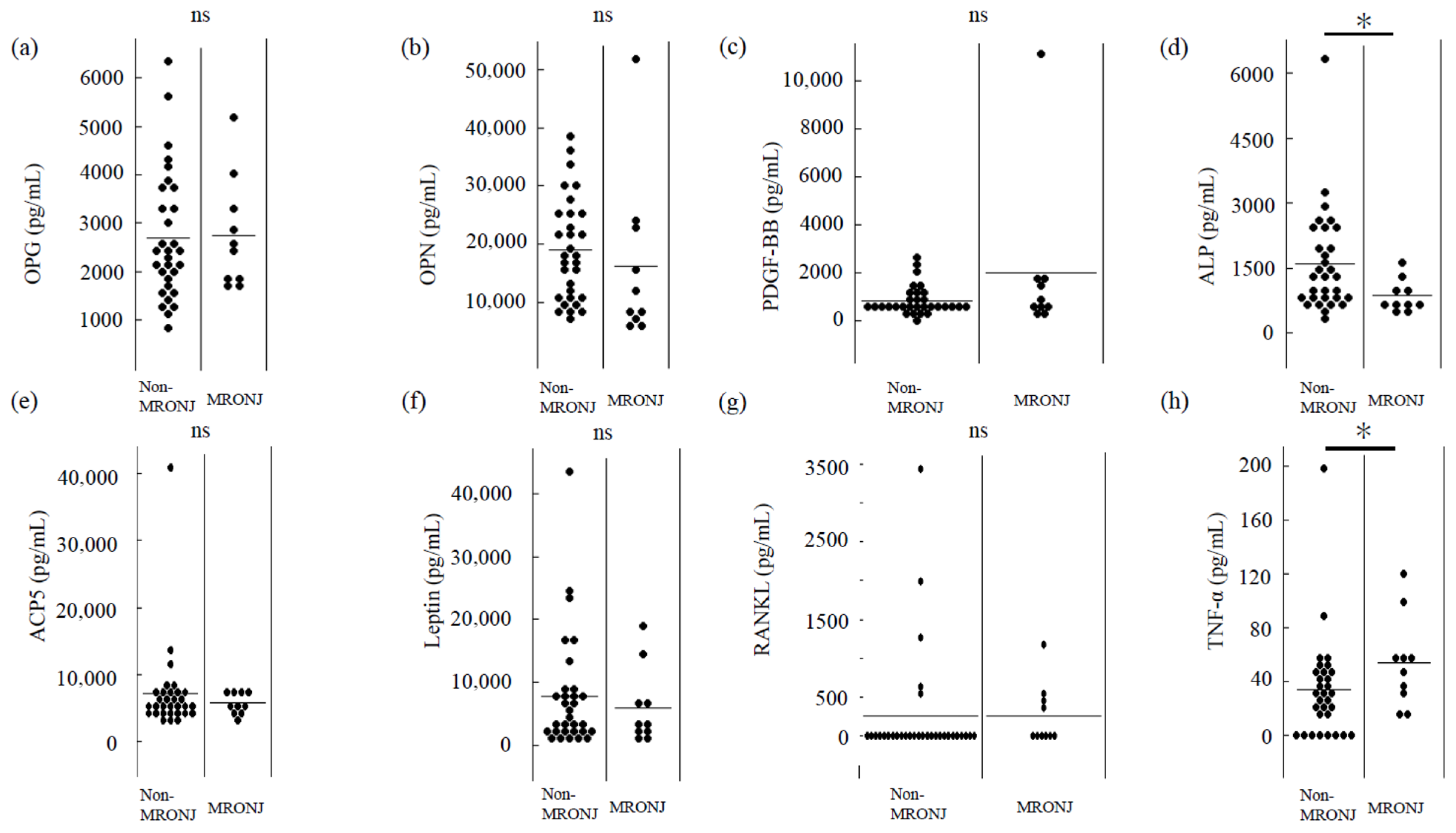
3.3. Alterations in Characteristic Bone Metabolic Factors Associated with Osteonecrosis of the Jaw
4. Discussion
5. Conclusions
Author Contributions
Funding
Institutional Review Board Statement
Informed Consent Statement
Data Availability Statement
Conflicts of Interest
Abbreviations
| MRONJ | Medication-related osteonecrosis of the jaw |
| BMAs | Bone-modifying agents |
| BPs | Bisphosphonates |
| Dmab | Denosumab |
| CTX | C-terminal telopeptide |
| OPG | Osteoprotegerin |
| OPN | Osteopontin |
| PDGF-BB | Platelet-derived growth factor BB |
| ALPL | Alkaline phosphatase liver/bone/kidney |
| ACP5 | Acid phosphatase 5, tartrate-resistant |
| RANKL | Receptor activator of nuclear factor-κB ligand |
| TNF-α | Tumor necrosis factor-α |
| IL-6 | Interleukin 6 |
| PTH | Parathyroid hormone |
| BMP-2 | Bone morphogenetic protein 2 |
| DKK-1 | Dickkopf WNT signaling pathway inhibitor 1 |
| PCA | Principal component analysis |
| 25(OH)D | 25-hydroxyvitamin D |
References
- Delmas, P.D. The use of bisphosphonates in the treatment of osteoporosis. Curr. Opin. Rheumatol. 2005, 17, 462–466. [Google Scholar] [CrossRef]
- Fizazi, K.; Carducci, M.; Smith, M.; Damião, R.; Brown, J.; Karsh, L.; Milecki, P.; Shore, N.; Rader, M.; Wang, H.; et al. Denosumab versus zoledronic acid for treatment of bone metastases in men with castration-resistant prostate cancer: A randomised, double-blind study. Lancet 2011, 377, 813–822. [Google Scholar] [CrossRef] [PubMed]
- Berenson, J.R.; Hillner, B.E.; Kyle, R.A.; Anderson, K.; Lipton, A.; Yee, G.C.; Biermann, J.S. American Society of Clinical Oncology clinical practice guidelines: The role of bisphosphonates in multiple myeloma. J. Clin. Oncol. 2002, 20, 3719–3736. [Google Scholar] [CrossRef] [PubMed]
- Major, P.; Lortholary, A.; Hon, J.; Abdi, E.; Mills, G.; Menssen, H.D.; Yunus, F.; Bell, R.; Body, J.; Quebe-Fehling, E.; et al. Zoledronic acid is superior to pamidronate in the treatment of hypercalcemia of malignancy: A pooled analysis of two randomized, controlled clinical trials. J. Clin. Oncol. 2001, 19, 558–567. [Google Scholar] [CrossRef]
- Otto, S.; Aljohani, S.; Fliefel, R.; Ecke, S.; Ristow, O.; Burian, E.; Troeltzsch, M.; Pautke, C.; Ehrenfeld, M. Infection as an Important Factor in Medication-Related Osteonecrosis of the Jaw (MRONJ). Medicina 2021, 57, 463. [Google Scholar] [CrossRef]
- Otto, S.; Pautke, C.; Van den Wyngaert, T.; Niepel, D.; Schiødt, M. Medication-related osteonecrosis of the jaw: Prevention, diagnosis and management in patients with cancer and bone metastases. Cancer Treat. Rev. 2018, 69, 177–187. [Google Scholar] [CrossRef]
- Marx, R.E.; Cillo, J.E., Jr.; Ulloa, J.J. Oral bisphosphonate-induced osteonecrosis: Risk factors, prediction of risk using serum CTX testing, prevention, and treatment. J. Oral Maxillofac. Surg. 2007, 65, 2397–2410. [Google Scholar] [CrossRef]
- Kwon, Y.D.; Ohe, J.Y.; Kim, D.Y.; Chung, D.J.; Park, Y.D. Retrospective study of two biochemical markers for the risk assessment of oral bisphosphonate-related osteonecrosis of the jaws: Can they be utilized as risk markers? Clin. Oral Implants Res. 2011, 22, 100–105. [Google Scholar] [CrossRef]
- Bagan, L.; Jiménez, Y.; Leopoldo, M.; Rubert, A.; Bagan, J. Serum levels of RANKL and OPG, and the RANKL/OPG ratio in bisphosphonate-related osteonecrosis of the jaw: Are they useful biomarkers for the advanced stages of osteonecrosis? Med. Oral Patol. Oral Cir. Bucal. 2017, 22, e542–e547. [Google Scholar] [CrossRef]
- Chen, M.; Hu, X.; Wu, M.; Yang, J.; Han, R.; Ma, Y.; Zhang, X.; Yuan, Y.; Liu, R.; Wang, M.; et al. Serum Levels of OPG, RANKL, and RANKL/OPG Ratio in Patients with Ankylosing Spondylitis: A Systematic Review and Meta-analysis. Immunol. Investig. 2019, 48, 490–504. [Google Scholar] [CrossRef]
- Mu, H.; Pang, Y.; Liu, L.; Liu, J.; Liu, C. Clinical values of serum Semaphorin 4D (Sema4D) in medication-related osteonecrosis of the jaw. Eur. J. Med. Res. 2023, 28, 140. [Google Scholar] [CrossRef]
- Soares, A.L.; Simon, S.; Gebrim, L.H.; Nazário, A.C.P.; Lazaretti-Castro, M. Prevalence and risk factors of medication-related osteonecrosis of the jaw in osteoporotic and breast cancer patients: A cross-sectional study. Support Care Cancer 2020, 28, 2265–2271. [Google Scholar] [CrossRef]
- Kanda, Y. Investigation of the freely available easy-to-use software ‘EZR’ for medical statistics. Bone Marrow Transplant. 2013, 48, 452–458. [Google Scholar] [CrossRef]
- Veiga, E.C.A.; Korkes, H.A.; Salomão, K.B.; Cavalli, R.C. Association of LEPTIN and other inflammatory markers with preeclampsia: A systematic review. Front. Pharmacol. 2022, 13, 966400. [Google Scholar] [CrossRef] [PubMed]
- Taylor, E.B. The complex role of adipokines in obesity, inflammation, and autoimmunity. Clin. Sci. 2021, 135, 731–752. [Google Scholar] [CrossRef]
- Olejniczak-Staruch, I.; Narbutt, J.; Ceryn, J.; Skibińska, M.; Bednarski, I.; Woźniacka, A.; Sieniawska, J.; Kraska-Gacka, M.; Ciążyńska, M.; Śmigielski, J.; et al. AntiTNF-alpha therapy normalizes levels of lipids and adipokines in psoriatic patients in the real-life settings. Sci. Rep. 2021, 11, 9289. [Google Scholar] [CrossRef] [PubMed]
- Maruna, P.; Gürlich, R.; Frasko, R.; Haluzík, M. Serum leptin levels in septic men correlate well with C-reactive protein (CRP) and TNF-alpha but not with BMI. Physiol. Res. 2001, 50, 589–594. [Google Scholar] [CrossRef] [PubMed]
- Shannon, J.; Shannon, J.; Modelevsky, S.; Grippo, A.A. Bisphosphonates and osteonecrosis of the jaw. J. Am. Geriatr. Soc. 2011, 59, 2350–2355. [Google Scholar] [CrossRef]
- Loyson, T.; Van Cann, T.; Schöffski, P.; Clement, P.M.; Bechter, O.; Spriet, I.; Coropciuc, R.; Politis, C.; Vandeweyer, R.O.; Schoenaers, J.; et al. Incidence of osteonecrosis of the jaw in patients with bone metastases treated sequentially with bisphosphonates and denosumab. Acta Clin. Belg. 2018, 73, 100–109. [Google Scholar] [CrossRef]
- Peddi, P.; Lopez-Olivo, M.A.; Pratt, G.F.; Suarez-Almazor, M.E. Denosumab in patients with cancer and skeletal metastases: A systematic review and meta-analysis. Cancer Treat. Rev. 2013, 39, 97–104. [Google Scholar] [CrossRef]
- Jiang, L.; Cui, X.; Ma, H.; Tang, X. Comparison of denosumab and zoledronic acid for the treatment of solid tumors and multiple myeloma with bone metastasis: A systematic review and meta-analysis based on randomized controlled trials. J. Orthop. Surg. Res. 2021, 16, 400. [Google Scholar] [CrossRef]
- Ikesue, H.; Mouri, M.; Tomita, H.; Hirabatake, M.; Ikemura, M.; Muroi, N.; Yamamoto, S.; Takenobu, T.; Tomii, K.; Kawakita, M.; et al. Associated characteristics and treatment outcomes of medication-related osteonecrosis of the jaw in patients receiving denosumab or zoledronic acid for bone metastases. Support Care Cancer 2021, 29, 4763–4772. [Google Scholar] [CrossRef] [PubMed]
- Fliefel, R.; Tröltzsch, M.; Kühnisch, J.; Ehrenfeld, M.; Otto, S. Treatment strategies and outcomes of bisphosphonate-related osteonecrosis of the jaw (BRONJ) with characterization of patients: A systematic review. Int. J. Oral Maxillofac. Surg. 2015, 44, 568–585. [Google Scholar] [CrossRef] [PubMed]
- Rupel, K.; Ottaviani, G.; Gobbo, M.; Contardo, L.; Tirelli, G.; Vescovi, P.; Di Lenarda, R.; Biasotto, M. A systematic review of therapeutical approaches in bisphosphonates-related osteonecrosis of the jaw (BRONJ). Oral Oncol. 2014, 50, 1049–1057. [Google Scholar] [CrossRef] [PubMed]
- Hayashida, S.; Yanamoto, S.; Fujita, S.; Hasegawa, T.; Komori, T.; Kojima, Y.; Miyamoto, H.; Shibuya, Y.; Ueda, N.; Kirita, T.; et al. Drug holiday clinical relevance verification for antiresorptive agents in medication-related osteonecrosis cases of the jaw. J. Bone Miner. Metab. 2020, 38, 126–134. [Google Scholar] [CrossRef]
- Vescovi, P.; Merigo, E.; Meleti, M.; Manfredi, M.; Guidotti, R.; Nammour, S. Bisphosphonates-related osteonecrosis of the jaws: A concise review of the literature and a report of a single-centre experience with 151 patients. J. Oral Pathol. Med. 2012, 41, 214–221. [Google Scholar] [CrossRef]
- Hayashida, S.; Soutome, S.; Yanamoto, S.; Fujita, S.; Hasegawa, T.; Komori, T.; Kojima, Y.; Miyamoto, H.; Shibuya, Y.; Ueda, N.; et al. Evaluation of the Treatment Strategies for Medication-Related Osteonecrosis of the Jaws (MRONJ) and the Factors Affecting Treatment Outcome: A Multicenter Retrospective Study with Propensity Score Matching Analysis. J. Bone Miner. Res. 2017, 32, 2022–2029. [Google Scholar] [CrossRef]
- Guirguis, R.H.; Tan, L.P.; Hicks, R.M.; Hasan, A.; Duong, T.D.; Hu, X.; Hng, J.Y.S.; Hadi, M.H.; Owuama, H.C.; Matthyssen, T.; et al. In Vitro Cytotoxicity of Antiresorptive and Antiangiogenic Compounds on Oral Tissues Contributing to MRONJ: Systematic Review. Biomolecules 2023, 13, 973. [Google Scholar] [CrossRef]
- Yusa, K.; Ishikawa, S.; Hemmi, T.; Takano, H.; Fukuda, M.; Iino, M. Influences of compressive force and zoledronic acid on osteoblast proliferation and differentiation: An in vitro study. Appl. Sci. 2021, 11, 11273. [Google Scholar] [CrossRef]
- Hemmi, T.; Yusa, K.; Ishikawa, S.; Takano, H.; Fukuda, M.; Iino, M. Synergistic effect of zoledronate and compressive force suppresses proliferation and differentiation of human gingival fibroblasts. Br. J. Oral Maxillofac. Surg. 2024, 62, 63–70. [Google Scholar] [CrossRef]
- Dal Prá, K.J.; Lemos, C.A.; Okamoto, R.; Soubhia, A.M.; Pellizzer, E.P. Efficacy of the C-terminal telopeptide test in predicting the development of bisphosphonate-related osteonecrosis of the jaw: A systematic review. Int. J. Oral Maxillofac. Surg. 2017, 46, 151–156. [Google Scholar] [CrossRef]
- Thumbigere-Math, V.; Michalowicz, B.S.; Hughes, P.J.; Basi, D.L.; Tsai, M.L.; Swenson, K.K.; Rockwell, L.; Gopalakrishnan, R. Serum Markers of Bone Turnover and Angiogenesis in Patients With Bisphosphonate-Related Osteonecrosis of the Jaw After Discontinuation of Long-Term Intravenous Bisphosphonate Therapy. J. Oral Maxillofac. Surg. 2016, 74, 738–746. [Google Scholar] [CrossRef]
- Heim, N.; Warwas, F.B.; Wilms, C.T.; Reich, R.H.; Martini, M. Vitamin D (25-OHD) deficiency may increase the prevalence of medication-related osteonecrosis of the jaw. J. Craniomaxillofac. Surg. 2017, 45, 2068–2074. [Google Scholar] [CrossRef] [PubMed]
- American Association of Oral and Maxillofacial Surgeons position paper on bisphosphonate-related osteonecrosis of the jaws. J. Oral Maxillofac. Surg. 2007, 65, 369–376. [CrossRef] [PubMed]
- Baim, S.; Miller, P.D. Assessing the clinical utility of serum CTX in postmenopausal osteoporosis and its use in predicting risk of osteonecrosis of the jaw. J. Bone Miner. Res. 2009, 24, 561–574. [Google Scholar] [CrossRef] [PubMed]
- Khan, A.A.; Morrison, A.; Hanley, D.A.; Felsenberg, D.; McCauley, L.K.; O’Ryan, F.; Reid, I.R.; Ruggiero, S.L.; Taguchi, A.; Tetradis, S.; et al. Diagnosis and management of osteonecrosis of the jaw: A systematic review and international consensus. J. Bone Miner. Res. 2015, 30, 3–23. [Google Scholar] [CrossRef]
- Park, J.H.; Cho, S.; Kim, S.J.; Jeong, T.D.; Mun, Y.C.; Kim, J.W. Serum biomarkers for bisphosphonate-related osteonecrosis of the jaw: A prospective clinical study. Osteoporos. Int. 2022, 33, 367–377. [Google Scholar] [CrossRef]
- Park, J.H.; Park, W.; Nguyen, L.P.; Kim, J.W.; Cho, S.; Jo, H.; Kim, H.J.; Jung, Y.S.; Kim, J.Y. Treatment period and changes in bone markers according to the application of teriparatide in treating medication-related osteonecrosis of the jaw. BMC Oral Health 2025, 25, 528. [Google Scholar] [CrossRef]
- Li, L.; Hai, J.; Li, Z.; Zhang, Y.; Peng, H.; Li, K.; Weng, X. Resveratrol modulates autophagy and NF-κB activity in a murine model for treating non-alcoholic fatty liver disease. Food Chem. Toxicol. 2014, 63, 166–173. [Google Scholar] [CrossRef]
- Zheng, L.W.; Wang, W.C.; Mao, X.Z.; Luo, Y.H.; Tong, Z.Y.; Li, D. TNF-α regulates the early development of avascular necrosis of the femoral head by mediating osteoblast autophagy and apoptosis via the p38 MAPK/NF-κB signaling pathway. Cell Biol. Int. 2020, 44, 1881–1889. [Google Scholar] [CrossRef]
- Okazaki, S.; Nishitani, Y.; Nagoya, S.; Kaya, M.; Yamashita, T.; Matsumoto, H. Femoral head osteonecrosis can be caused by disruption of the systemic immune response via the toll-like receptor 4 signalling pathway. Rheumatology 2009, 48, 227–232. [Google Scholar] [CrossRef]
- Hadad, H.; Matheus, H.R.; Chen, J.E.; Jounaidi, Y.; Souza, F.; Guastaldi, F.P.S. Dose-dependent effects of zoledronic acid on the osteogenic differentiation of human bone marrow stem cells (hBMSCs). J. Stomatol. Oral Maxillofac. Surg. 2023, 124, 101479. [Google Scholar] [CrossRef]
- Peisker, A.; Raschke, G.F.; Fahmy, M.D.; Guentsch, A.; Roshanghias, K.; König, K.C.; Schultze-Mosgau, S. Cross-Sectional Study of four Serological Bone Turnover Markers for the Risk Assessment of Medication-Related Osteonecrosis of the Jaw. J. Craniofac. Surg. 2018, 29, e137–e140. [Google Scholar] [CrossRef] [PubMed]
- Morris, P.G.; Fazio, M.; Farooki, A.; Estilo, C.; Mallam, D.; Conlin, A.; Patil, S.; Fleisher, M.; Cremers, S.; Huryn, J.; et al. Serum N-telopeptide and bone-specific alkaline phosphatase levels in patients with osteonecrosis of the jaw receiving bisphosphonates for bone metastases. J. Oral Maxillofac. Surg. 2012, 70, 2768–2775. [Google Scholar] [CrossRef] [PubMed]
- Zhang, W.; Gao, L.; Ren, W.; Li, S.; Zheng, J.; Li, S.; Jiang, C.; Yang, S.; Zhi, K. The Role of the Immune Response in the Development of Medication-Related Osteonecrosis of the Jaw. Front. Immunol. 2021, 12, 606043. [Google Scholar] [CrossRef] [PubMed]
- Gkouveris, I.; Soundia, A.; Gouveris, P.; Zouki, D.; Hadaya, D.; Tetradis, S. Macrophage Involvement in Medication-Related Osteonecrosis of the Jaw (MRONJ): A Comprehensive, Short Review. Cancers 2022, 14, 330. [Google Scholar] [CrossRef]
- Lorenzo-Pouso, A.I.; Bagán, J.; Bagán, L.; Gándara-Vila, P.; Chamorro-Petronacci, C.M.; Castelo-Baz, P.; Blanco-Carrión, A.; Blanco-Fernández, M.; Álvarez-Calderón, Ó.; Carballo, J.; et al. Medication-Related Osteonecrosis of the Jaw: A Critical Narrative Review. J. Clin. Med. 2021, 10, 4367. [Google Scholar] [CrossRef]
- Tetradis, S.; Allen, M.R.; Ruggiero, S.L. Pathophysiology of Medication-Related Osteonecrosis of the Jaw—A Minireview. JBMR Plus 2023, 7, e10785. [Google Scholar] [CrossRef]




| Variable | Non-MRONJ | MRONJ | p Value |
|---|---|---|---|
| Patients (n) | 31 | 10 | |
| Age (years); mean ± SD (range) | 82.1 ± 4.7 | 81.5 ± 4.7 | 0.73 |
| Sex (n) | |||
| Male | 5 | 2 | 0.84 |
| Female | 26 | 8 | |
| Induction for medication (n) | |||
| Osteoporosis | 30 | 7 | 0.06 |
| Bone metastasis | 1 | 3 | |
| Bone-modifying agent received | |||
| Alendronate | 9 | 1 | <0.01 |
| Minodronate | 13 | 2 | |
| Ibandronate | 6 | 1 | |
| Risedronate | 3 | 0 | |
| Bisphosphonate (details unknown) | 0 | 1 | |
| Denosumab | 0 | 5 | |
| Route of administration | |||
| Intravenous/subcutaneous | 5 | 6 | 0.02 |
| Oral | 26 | 4 | |
| Location of MRONJ | |||
| Mandible | — | 7 | |
| Maxilla | — | 2 | |
| Mandible and maxilla | — | 1 | |
| Stage of MRONJ | |||
| I | — | 0 | |
| II | — | 7 | |
| III | — | 3 |
| Non-MRONJ | |||
|---|---|---|---|
| Factor 1 | Factor 2 | Factor 3 | |
| ACP5 | 0.56 | 0.52 | 0.32 |
| ALPL | 0.33 | 0.91 | 0.23 |
| Leptin | −0.12 | −0.32 | |
| OPG | 0.43 | 0.18 | 0.88 |
| OPN | 0.27 | 0.45 | 0.28 |
| PDGF-BB | 0.76 | 0.17 | |
| RANKL | 0.57 | 0.22 | |
| TNF-α | 0.46 | ||
| MRONJ | |||
| Factor 1 | Factor 2 | Factor 3 | |
| ACP5 | 0.64 | −0.20 | |
| ALPL | 0.13 | −0.27 | −0.68 |
| Leptin | −0.11 | 0.78 | 0.35 |
| OPG | 0.80 | 0.16 | 0.58 |
| OPN | 0.96 | −0.17 | |
| PDGF-BB | −0.32 | −0.34 | 0.14 |
| RANKL | −0.17 | 0.75 | |
| TNF-α | 0.82 |
| Marker | PC1 | PC2 | PC3 | PC4 | PC5 | PC6 |
|---|---|---|---|---|---|---|
| (35.5%) | (50.8%) | (64.8%) | (76.3%) | (84.6%) | (92.4%) | |
| OPG | −0.47 | −0.04 | −0.30 | −0.09 | 0.30 | −0.14 |
| OPN | −0.38 | 0.38 | −0.07 | 0.18 | 0.61 | −0.19 |
| PDGF-BB | −0.07 | −0.65 | 0.45 | 0.003 | 0.50 | 0.35 |
| ALPL | −0.47 | 0.12 | 0.13 | 0.13 | −0.35 | 0.42 |
| ACP5 | −0.50 | 0.11 | 0.15 | −0.10 | −0.24 | 0.32 |
| Leptin | 0.11 | 0.42 | 0.39 | −0.78 | 0.17 | 0.08 |
| RANKL | −0.33 | −0.27 | 0.42 | −0.11 | −0.27 | −0.74 |
| TNF-α | −0.17 | −0.39 | −0.58 | −0.57 | −0.06 | 0.05 |
Disclaimer/Publisher’s Note: The statements, opinions and data contained in all publications are solely those of the individual author(s) and contributor(s) and not of MDPI and/or the editor(s). MDPI and/or the editor(s) disclaim responsibility for any injury to people or property resulting from any ideas, methods, instructions or products referred to in the content. |
© 2025 by the authors. Licensee MDPI, Basel, Switzerland. This article is an open access article distributed under the terms and conditions of the Creative Commons Attribution (CC BY) license (https://creativecommons.org/licenses/by/4.0/).
Share and Cite
Yusa, K.; Takeda, Y.; Sasahara, N.; Hemmi, T.; Ishikawa, S.; Konta, T. Imbalance of Serum Bone-Metabolism-Related Factors Associated with Osteonecrosis of the Jaw. Biomedicines 2025, 13, 2410. https://doi.org/10.3390/biomedicines13102410
Yusa K, Takeda Y, Sasahara N, Hemmi T, Ishikawa S, Konta T. Imbalance of Serum Bone-Metabolism-Related Factors Associated with Osteonecrosis of the Jaw. Biomedicines. 2025; 13(10):2410. https://doi.org/10.3390/biomedicines13102410
Chicago/Turabian StyleYusa, Kazuyuki, Yuji Takeda, Nobuyuki Sasahara, Tomoharu Hemmi, Shigeo Ishikawa, and Tsuneo Konta. 2025. "Imbalance of Serum Bone-Metabolism-Related Factors Associated with Osteonecrosis of the Jaw" Biomedicines 13, no. 10: 2410. https://doi.org/10.3390/biomedicines13102410
APA StyleYusa, K., Takeda, Y., Sasahara, N., Hemmi, T., Ishikawa, S., & Konta, T. (2025). Imbalance of Serum Bone-Metabolism-Related Factors Associated with Osteonecrosis of the Jaw. Biomedicines, 13(10), 2410. https://doi.org/10.3390/biomedicines13102410

