Effect of a 12-Week Multicomponent Program on Mental Disorders as Well as Biochemical and Immunological Parameters in Teachers with Overweight
Abstract
1. Introduction
2. Materials and Methods
2.1. Participants
2.2. Procedures
2.3. Multicomponent Program
2.4. Study Design
2.5. Biochemical Assessment
2.6. Mental Disorder Assessments
2.7. Statistical Analyses
3. Results
3.1. Participants
3.2. Mental Disorders
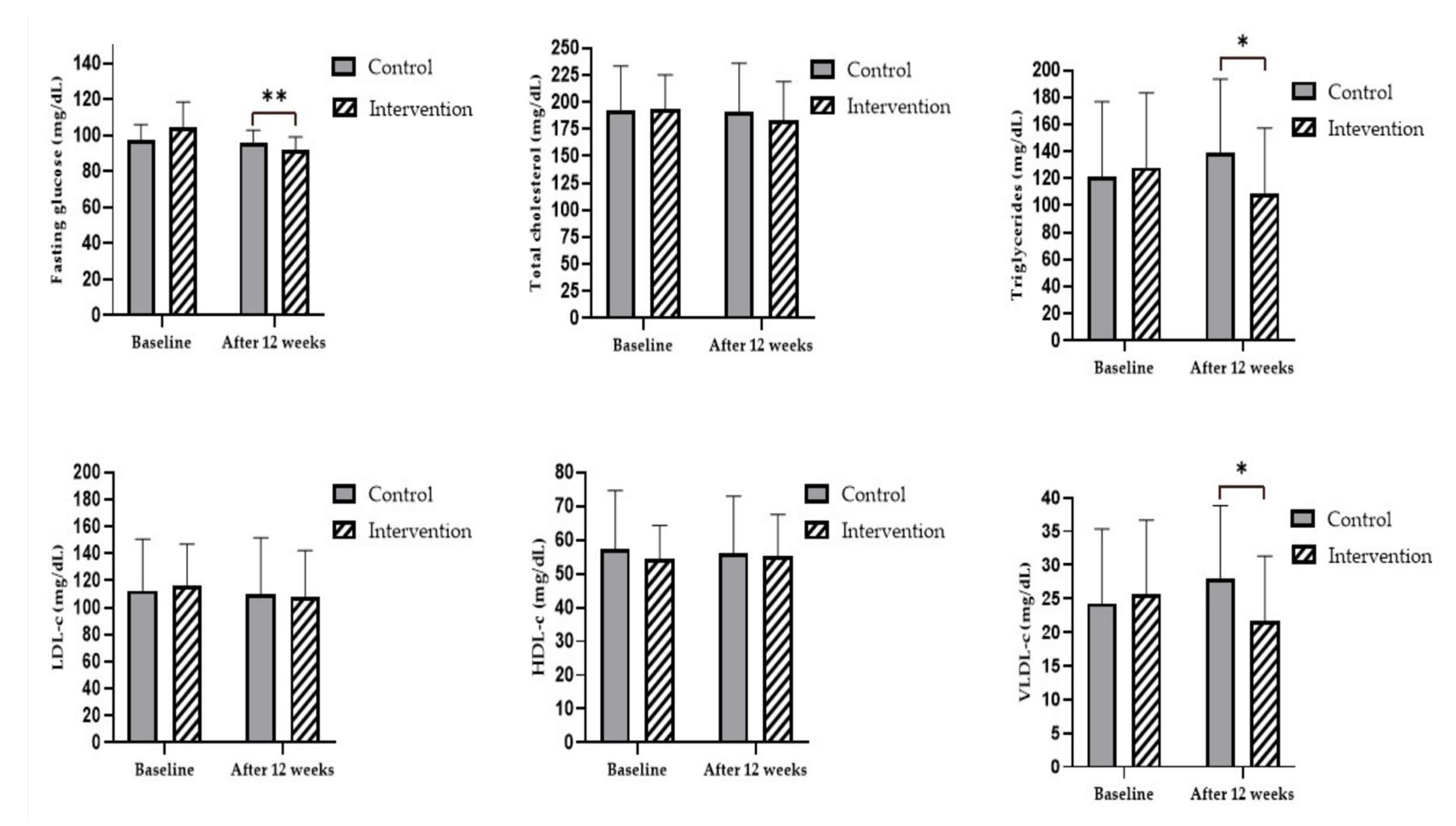
3.3. Biochemical Parameters
3.4. Immunological Parameters
4. Discussion
5. Conclusions
Author Contributions
Funding
Institutional Review Board Statement
Informed Consent Statement
Data Availability Statement
Conflicts of Interest
References
- Agyapong, B.; Obuobi-Donkor, G.; Burback, L.; Wei, Y. Stress, Burnout, Anxiety and Depression among Teachers: A Scoping Review. Int. J. Environ. Res. Public. Health 2022, 19, 10706. [Google Scholar] [CrossRef]
- Morais, É.A.H.d.; Abreu, M.N.S.; Assunção, A.Á. Autoavaliação de saúde e fatores relacionados ao trabalho dos professores da educação básica no Brasil. Ciência Saúde Coletiva 2023, 28, 209–222. [Google Scholar] [CrossRef] [PubMed]
- Haikal, D.S.A.; Prates, T.E.C.; Vieira, M.R.M.; Magalhães, T.A.d.; Baldo, M.P.; Paula, A.M.B.; Ferreira, E.F. Fatores de risco e proteção para doenças crônicas não transmissíveis entre professores da educação básica. Rev. Bras. Saúde Ocup. 2023, 48, e5. [Google Scholar]
- Vancheri, F.; Longo, G.; Vancheri, E.; Henein, M.Y. Mental Stress and Cardiovascular Health-Part, I.J. Clin. Med. 2022, 11, 3353. [Google Scholar] [CrossRef]
- Henein, M.Y.; Vancheri, S.; Longo, G.; Vancheri, F. The Impact of Mental Stress on Cardiovascular Health—Part II. J. Clin. Med. 2022, 11, 4405. [Google Scholar] [CrossRef]
- Rocha, R.E.R.; Ujiie, N.T.; Blaszko, C.E. Qualidade de vida de professores da Educação Básica: Dialogia com a complexidade e a ecoformação. Rev. Diálogo Educ. 2023, 23, 1202–1215. [Google Scholar] [CrossRef]
- Fernandes, F.T.; Filho, A.D.P.C. Prediction of absenteeism in public schools teachers with machine learning. Rev. Saude Publica 2021, 55, 23. [Google Scholar] [CrossRef]
- Tavares, P.; Honda, L. Absenteísmo docente em escolas públicas paulistas: Dimensão e fatores associados. Estud. Econômicos 2021, 51, 601–635. [Google Scholar] [CrossRef]
- Rodriguez-Loureiro, L.; Artazcoz, L.; Lopez-Ruiz, M.; Assunção, A.A.; Benavides, F.G. Joint effect of paid working hours and multiple job holding on work absence due to health problems among basic education teachers in Brazil: The Educatel Study. Cad. Saude Publica 2019, 35 (Suppl. S1), e00081118. [Google Scholar] [CrossRef]
- Li, Y.; Wang, X.; Chen, J.; Lee, J.C.-K.; Yan, Z.; Li, J.B. The Intervention Effects on Teacher Well-being: A Three-Level Meta-Analysis. Educ. Psychol. Rev. 2024, 36, 129. [Google Scholar] [CrossRef]
- Parker, E.A.; McArdle, P.F.; Gioia, D.; Trilling, A.; Bahr-Robertson, M.; Costa, N.; Berman, B.M.; D’Adamo, C.R. An Onsite Fitness Facility and Integrative Wellness Program Positively Impacted Health-Related Outcomes Among Teachers and Staff at an Urban Elementary/Middle School. Glob. Adv. Health Med. 2019, 8, 2164956119873276. [Google Scholar] [CrossRef]
- Keating, X.D.; Shangguan, R.; Xiao, K.; Gao, X.; Sheehan, C.; Wang, L.; Colburn, J.; Fan, Y.; Wu, F. Tracking Changes of Chinese Pre-Service Teachers’ Aerobic Fitness, Body Mass Index, and Grade Point Average Over 4-years of College. Int. J. Environ. Res. Public. Health 2019, 16, 966. [Google Scholar] [CrossRef] [PubMed]
- Dias, J.; Junior, M.D.; Costa, M.A.R.; Francisqueti, V.; Higarashi, I.H. Physical activities practicing among scholar professors: Focus on their quality of life. Escola Anna Nery 2017, 21, e20170110. [Google Scholar] [CrossRef]
- Agyapong, B.; Chishimba, C.; Wei, Y.; Dias, R.L.; Eboreime, E.; Msidi, E.; Abidi, S.S.R.; Mutaka-Loongo, M.; Mwansa, J.; Orji, R.; et al. Improving Mental Health Literacy and Reducing Psychological Problems Among Teachers in Zambia: Protocol for Implementation and Evaluation of a Wellness4Teachers Email Messaging Program. JMIR Res. Protoc. 2023, 12, e44370. [Google Scholar] [CrossRef] [PubMed]
- Beames, J.R.; Spanos, S.; Roberts, A.; McGillivray, L.; Li, S.; Newby, J.M.; O’Dea, B.; Werner-Seidler, A. Intervention Programs Targeting the Mental Health, Professional Burnout, and/or Wellbeing of School Teachers: Systematic Review and Meta-Analyses. Educ. Psychol. Rev. 2023, 35, 26. [Google Scholar] [CrossRef]
- Melo, S.P.C.; Cesse, E.Â.P.; Lira, P.I.C.; Ferreira, L.C.C.N.; Rissin, A.; Filho, M.B. Sobrepeso, obesidade e fatores associados aos adultos em uma área urbana carente do Nordeste Brasileiro. Rev. Bras. Epidemiol. 2020, 23, e200036. [Google Scholar] [CrossRef]
- Karolkiewicz, J.; Krzywicka, M.; Szulińska, M.; Musialik, K.; Musiałowska, D.; Zieliński, J.; Bilska, A.; Ratajczak, M. Effects of a Circuit Training Program on Myokine Levels in Insulin-Resistant Women: A Randomised Controlled Trial. J. Diabetes Res. 2024, 2024, 6624919. [Google Scholar] [CrossRef]
- Day, M.L.; McGuigan, M.R.; Brice, G.; Foster, C. Monitoring exercise intensity during resistance training using the session RPE scale. J. Strength. Cond. Res. 2004, 18, 353–358. [Google Scholar] [CrossRef]
- Fava, D.C.; Andretta, I.; Marin, A.H. Teaching Effectiveness and Children Emotional/Behavioral Difficulties: Outcomes from FAVA Program. Psicol. Teor. E Pesqui. 2022, 38, e38317. [Google Scholar] [CrossRef]
- Vignola, R.C.; Tucci, A.M. Adaptation and validation of the depression, anxiety and stress scale (DASS) to Brazilian Portuguese. J. Affect. Disord. 2014, 155, 104–109. [Google Scholar] [CrossRef]
- Kovess-Masféty, V.; Rios-Seidel, C.; Sevilla-Dedieu, C. Teachers’ mental health and teaching levels. Teach. Teach. Educ. 2007, 23, 1177–1192. [Google Scholar] [CrossRef]
- Ouellette, R.R.; Frazier, S.L.; Shernoff, E.S.; Cappella, E.; Mehta, T.G.; Maríñez-Lora, A.; Cua, G.; Atkins, M.S. Teacher Job Stress and Satisfaction in Urban Schools: Disentangling Individual-, Classroom-, and Organizational-Level Influences. Behav. Ther. 2018, 49, 494–508. [Google Scholar] [CrossRef]
- Fathi, J.; Greenier, V.; Derakhshan, A. Self-efficacy, Reflection, and Burnout among Iranian EFL Teachers: The Mediating Role of Emotion Regulation. Iran. J. Lang. Teach. Res. 2021, 9, 13–37. [Google Scholar] [CrossRef]
- Chu, B.; Marwaha, K.; Sanvictores, T.; Awosika, A.O.; Ayers, D. Physiology, Stress Reaction. In StatPearls; StatPearls Publishing LLC.: Treasure Island, FL, USA, 2025. [Google Scholar]
- Sekhon, S.; Marwaha, R. Depressive cognitive disorders. In StatPearls; StatPearls Publishing LLC.: Treasure Island, FL, USA, 2025. [Google Scholar]
- Demmin, D.L.; Silverstein, S.M.; Shors, T.J. Mental and physical training with meditation and aerobic exercise improved mental health and well-being in teachers during the COVID-19 pandemic. Front. Hum. Neurosci. 2022, 16, 847301. [Google Scholar] [CrossRef]
- Yunus, W.M.A.; Musiat, P.; Brown, J.S.L. Systematic review of universal and targeted workplace interventions for depression. Occup. Environ. Med. 2018, 75, 66–75. [Google Scholar] [CrossRef] [PubMed]
- Joyce, S.; Modini, M.; Christensen, H.; Mykletun, A.; Bryant, R.; Mitchell, P.B.; Harvey, S.B. Workplace interventions for common mental disorders: A systematic meta-review. Psychol. Med. 2016, 46, 683–697. [Google Scholar] [CrossRef]
- Ashdown-Franks, G.; Firth, J.; Carney, R.; Carvalho, A.F.; Hallgren, M.; Koyanagi, A.; Rosenbaum, S.; Schuch, F.; Smith, L.; Solmi, M.; et al. Exercise as Medicine for Mental and Substance Use Disorders: A Meta-review of the Benefits for Neuropsychiatric and Cognitive Outcomes. Sports Med. 2020, 50, 151–170. [Google Scholar] [CrossRef] [PubMed]
- Solmi, M.; Basadonne, I.; Bodini, L.; Rosenbaum, S.; Schuch, F.B.; Smith, L.; Stubbs, B.; Firth, J.; Vancampfort, D.; Ashdown-Franks, G.; et al. Exercise as a transdiagnostic intervention for improving mental health: An umbrella review. J. Psychiatr. Res. 2025, 184, 91–101. [Google Scholar] [CrossRef] [PubMed]
- Gautam, M.; Tripathi, A.; Deshmukh, D.; Gaur, M. Cognitive Behavioral Therapy for Depression. Indian. J. Psychiatry 2020, 62 (Suppl. S2), S223-s9. [Google Scholar] [CrossRef]
- Wang, Z.; Qian, L.; Shen, J.T.; Wang, B.; Shen, X.H.; Shi, G.P. Short-term structured dietary and exercise interventions delay diabetes onset in prediabetic patients: A prospective quasi-experimental study. Front. Endocrinol. 2025, 16, 1413206. [Google Scholar] [CrossRef]
- Paoli, A. The Influence of Physical Exercise, Ketogenic Diet, and Time-Restricted Eating on De Novo Lipogenesis: A Narrative Review. Nutrients 2025, 17, 663. [Google Scholar] [CrossRef]
- Hei, Y.; Xie, Y. Effects of exercise combined with different dietary interventions on cardiovascular health a systematic review and network meta-analysis. BMC Cardiovasc. Disord. 2025, 25, 222. [Google Scholar] [CrossRef]
- Chan, B.S.; Yu, D.S.F.; Wong, C.W.Y.; Li, P.W.C. Multi-modal interventions outperform nutritional or exercise interventions alone in reversing metabolic syndrome: A systematic review and network meta-analysis. Eur. J. Prev. Cardiol. 2025, zwaf167. [Google Scholar] [CrossRef]
- Braggio, M.; Dorelli, G.; Olivato, N.; Lamberti, V.; Valenti, M.T.; Dalle Carbonare, L.; Cominacini, M. Tailored Exercise Intervention in Metabolic Syndrome: Cardiometabolic Improvements Beyond Weight Loss and Diet—A Prospective Observational Study. Nutrients 2025, 17, 872. [Google Scholar] [CrossRef] [PubMed]
- Liu, D.; Zhang, Y.; Wu, Q.; Han, R.; Cheng, D.; Wu, L.; Guo, J.; Yu, X.; Ge, W.; Ni, J.; et al. Exercise-induced improvement of glycemic fluctuation and its relationship with fat and muscle distribution in type 2 diabetes. J. Diabetes 2024, 16, e13549. [Google Scholar] [CrossRef] [PubMed]
- Hejazi, K.; Wong, A. Effects of exercise training on inflammatory and cardiometabolic health markers in overweight and obese adults: A systematic review and meta-analysis of randomized controlled trials. J. Sports Med. Phys. Fit. 2023, 63, 345–359. [Google Scholar] [CrossRef] [PubMed]
- Batrakoulis, A.; Jamurtas, A.Z.; Metsios, G.S.; Perivoliotis, K.; Liguori, G.; Feito, Y.; Riebe, D.; Thompson, W.R.; Angelopoulos, T.J.; Krustrup, P.; et al. Comparative Efficacy of 5 Exercise Types on Cardiometabolic Health in Overweight and Obese Adults: A Systematic Review and Network Meta-Analysis of 81 Randomized Controlled Trials. Circ. Cardiovasc. Qual. Outcomes 2022, 15, e008243. [Google Scholar] [CrossRef]
- Hao, S.; Tan, S.; Li, J.; Li, W.; Li, J.; Cai, X.; Hong, Z. Dietary and exercise interventions for metabolic health in perimenopausal women in Beijing. Asia Pac. J. Clin. Nutr. 2021, 30, 624–631. [Google Scholar] [CrossRef]
- Ortiz, R.; Kluwe, B.; Lazarus, S.; Teruel, M.N.; Joseph, J.J. Cortisol and cardiometabolic disease: A target for advancing health equity. Trends Endocrinol. Metab. 2022, 33, 786–797. [Google Scholar] [CrossRef]
- Chakrabarti, A.; Ellermeier, N.; Tripathi, A.; Thirumurthy, H.; Nugent, R. Diet-focused behavioral interventions to reduce the risk of non-communicable diseases in low- and middle-income countries: A scoping review of existing evidence. Obes. Rev. 2025, e13918. [Google Scholar] [CrossRef]
- Bahr, R.; Hansson, P.; Sejersted, O.M. Triglyceride/fatty acid cycling is increased after exercise. Metabolism 1990, 39, 993–999. [Google Scholar] [CrossRef]
- Børsheim, E.; Bahr, R. Effect of exercise intensity, duration and mode on post-exercise oxygen consumption. Sports Med. 2003, 33, 1037–1060. [Google Scholar] [CrossRef]
- Walzik, D.; Belen, S.; Wilisch, K.; Kupjetz, M.; Kirschke, S.; Esser, T.; Joisten, N.; Schenk, A.; Proschinger, S.; Zimmer, P. Impact of exercise on markers of B cell-related immunity: A systematic review. J. Sport. Health Sci. 2024, 13, 339–352. [Google Scholar] [CrossRef]
- Šimunić-Briški, N.; Zekić, R.; Dukarić, V.; Očić, M.; Frkatović-Hodžić, A.; Deriš, H.; Lauc, G.; Knjaz, D. Physical Exercise Induces Significant Changes in Immunoglobulin G N-Glycan Composition in a Previously Inactive, Overweight Population. Biomolecules 2023, 13. [Google Scholar] [CrossRef]
- Drummond, L.R.; Campos, H.O.; Drummond, F.R.; Oliveira, G.M.; Fernandes, J.; Amorim, R.P.; Monteiro, M.C.; Lara, H.F.G.; Leite, L.H.R.; Coimbra, C.C. Acute and chronic effects of physical exercise on IgA and IgG levels and susceptibility to upper respiratory tract infections: A systematic review and meta-analysis. Pflugers Arch. 2022, 474, 1221–1248. [Google Scholar] [CrossRef]


| Warm-Up | ||
|---|---|---|
| Exercise | Repetition | |
Shoulder and hip flexion posture with spinal extension and posterior chain activation. ![]() | 5 repetitions | |
Knee and hip flexion and extension. ![]() | 5 repetitions | |
Hip and knee flexion and extension in a plank position. ![]() | 5 repetitions | |
Dynamic mobility stretching for hips and shoulders (lunge with arms raised). ![]() | 5 repetitions per leg | |
Bird dog. ![]() | 5 repetitions per arm | |
Lumbar flexion. ![]() | 5 repetitions | |
Cat–cow stretch. ![]() | 5 repetitions | |
Twisting lunge or reverse lunge pose. ![]() | 5 repetitions per side | |
Lateral trunk stretch with floor support (gate pose). ![]() | 5 repetitions per side | |
Hip abduction. ![]() | 5 repetitions per leg | |
| Main part | ||
| Weeks | Muscle/exercise | Sets/repetition |
| 1–4 |
| 3 × 15 |
| 5–8 | 3 × 12 | |
| 9–12 | 3 × 10 | |
| Return to calm | ||
| Main muscle groups | Execution | Duration |
| Hamstring stretch | Lie on your back and extend one leg upward, holding it behind the thigh or calf. Keep the other leg bent or flat on the floor. | 20 to 30 s |
| Quadricep stretch | Stand up, grasp one ankle with the corresponding hand, pulling it toward your buttocks. Keep your knees aligned and your torso upleft. | 20 to 30 s |
| Gluteal stretch | Lie on your back, cross one leg over the other, placing the ankle on the opposite knee. Pull the lower leg toward your chest. | 20 to 30 s |
| Chest Stretch | Stand with your arms extended behind you, interlocking your fingers. Gently lift your arms upward, opening your chest. | 20 to 30 s |
| Back stretch | Sit or stand, interlock your fingers and extend your arms forward, rounding your back and pushing your hands away from your body. | 20 to 30 s |
| Neck stretch | Tilt your head to one side, bringing your ear toward your shoulder, and gently press with the opposite hand | 20 to 30 s |
| Module | Contents | Objectives | Duration |
|---|---|---|---|
| 1 Social skills training and emotional regulation mental health education and cognitive strategies Solution-focused therapy and emotional expression | Discussion groups Psychoeducation Teachers’ suggestion box | Promote cognitive restructuring, awareness and encourage cognitive restructuring and autonomy | 1 h |
| 2 Problem solving and SMART goal setting Guided imagery and cognitive rehearsal | Problem identification and goal setting Vision of the future | Reduce feelings of helplessness and increase the perception of control over professional reality | 1 h |
| 3 Cognitive restructuring and positive self-image Beck’s cognitive triad model | Mirror dynamics Cognitive triad, thought assessment, refocusing Mirror dynamics | Reduce discomfort regarding self-image and professional perception | 1 h |
| Variables | Control (n = 16) | Intervention (n = 17) | |
|---|---|---|---|
| Mean ± SD | Mean ± SD | p-Value | |
| Age (years) | 43.1 ± 6.5 | 43.8 ± 7.7 | 0.763 |
| Body weight (kg) | 83.2 ± 9.1 | 80.9 ± 8.7 | 0.470 |
| Height (m) | 1.62 ± 0.0 | 1.61 ± 0.0 | 0.776 |
| BMI (kg/m2) | 31.8 ± 3.9 | 31.0 ± 3.2 | 0.577 |
| Symptoms | Control (n = 16) | Intervention (n = 17) | ||
|---|---|---|---|---|
| Baseline | After 12 Weeks | Baseline | After 12 Weeks | |
| Mean ± SD | Mean ± SD | Mean ± SD | Mean ± SD | |
| Depression (Score) | 3.2 ± 3.2 | 2.4 ± 3.2 | 5.6 ± 5.8 | 2.1 ± 2.9 * |
| Anxiety (Score) | 3.1 ± 2.7 | 3.8 ± 4.2 | 6.5 ± 5.1 | 2.7 ± 3.2 ** |
| Stress (Score) | 5.2 ± 2.1 | 5.4 ± 4.9 | 8.7 ± 6.3 | 4.2 ± 4.4 * |
| Immunoglobulins | Control (n = 16) | Intervention (n = 17) | ||
|---|---|---|---|---|
| Baseline | After 12 Weeks | Baseline | After 12 Weeks | |
| Mean ± SD | Mean ± SD | Mean ± SD | Mean ± SD | |
| IgA (mg/dL) | 225.3 ± 73.9 | 224.4 ± 73.9 | 232.6 ± 87.3 | 227.1 ± 75.9 |
| IgG (mg/dL) | 1.152 ± 185.8 | 1.158 ± 205.7 | 1.138 ± 271.2 | 1.180 ± 287.5 |
| IgM (mg/dL) | 102.1 ± 41.9 | 100.2 ± 32.7 | 100.0 ± 48.6 | 99.4 ± 49.0 |
Disclaimer/Publisher’s Note: The statements, opinions and data contained in all publications are solely those of the individual author(s) and contributor(s) and not of MDPI and/or the editor(s). MDPI and/or the editor(s) disclaim responsibility for any injury to people or property resulting from any ideas, methods, instructions or products referred to in the content. |
© 2025 by the authors. Licensee MDPI, Basel, Switzerland. This article is an open access article distributed under the terms and conditions of the Creative Commons Attribution (CC BY) license (https://creativecommons.org/licenses/by/4.0/).
Share and Cite
Rocha, R.E.R.d.; Andrade, S.F.d.; Alberti, A.; Cruz, R.M.; Silva, F.N.d.; Bridi, D.A.; Souza, J.T.d.; Pitanga, F.; Bianchi, R.; Pinheiro, D.F.; et al. Effect of a 12-Week Multicomponent Program on Mental Disorders as Well as Biochemical and Immunological Parameters in Teachers with Overweight. Biomedicines 2025, 13, 2354. https://doi.org/10.3390/biomedicines13102354
Rocha RERd, Andrade SFd, Alberti A, Cruz RM, Silva FNd, Bridi DA, Souza JTd, Pitanga F, Bianchi R, Pinheiro DF, et al. Effect of a 12-Week Multicomponent Program on Mental Disorders as Well as Biochemical and Immunological Parameters in Teachers with Overweight. Biomedicines. 2025; 13(10):2354. https://doi.org/10.3390/biomedicines13102354
Chicago/Turabian StyleRocha, Ricelli Endrigo Ruppel da, Sergio Fallone de Andrade, Adriano Alberti, Roberto Moraes Cruz, Fatima Noely da Silva, Diego André Bridi, Jaqueline Tellis de Souza, Fábio Pitanga, Rafael Bianchi, Débora Fernandes Pinheiro, and et al. 2025. "Effect of a 12-Week Multicomponent Program on Mental Disorders as Well as Biochemical and Immunological Parameters in Teachers with Overweight" Biomedicines 13, no. 10: 2354. https://doi.org/10.3390/biomedicines13102354
APA StyleRocha, R. E. R. d., Andrade, S. F. d., Alberti, A., Cruz, R. M., Silva, F. N. d., Bridi, D. A., Souza, J. T. d., Pitanga, F., Bianchi, R., Pinheiro, D. F., Silva, B. B. d., & Zanela, C. L. (2025). Effect of a 12-Week Multicomponent Program on Mental Disorders as Well as Biochemical and Immunological Parameters in Teachers with Overweight. Biomedicines, 13(10), 2354. https://doi.org/10.3390/biomedicines13102354











