Effect of Pravastatin on Placental Expression of Epidermal Growth Factor-like Domain 7 in Early-Onset Pre-Eclampsia: A New Potential Mechanism of Action
Abstract
1. Introduction
2. Materials and Methods
2.1. Study Population, Setting and Data Collection
2.2. Ex Vivo Chorionic Villous Explant Cultures
2.3. qRT-PCR Analysis
2.4. Western Blot Analysis
2.5. Statistical Analysis
3. Results
3.1. Maternal and Neonatal Clinical Data
3.2. Effect of Pravastatin on EGFL7 Expression in Ex Vivo Chorionic Villous Explant Cultures
3.3. Different EGFL7 Expression Modulation after Pravastatin Treatment in Pre-Eclampsia Chorionic Villous Explant
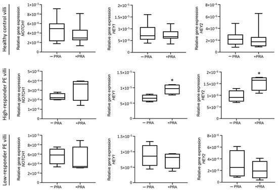
3.4. Effect of Pravastatin Treatment on NOTCH1 Signaling Pathway
4. Discussion
5. Conclusions
Author Contributions
Funding
Institutional Review Board Statement
Informed Consent Statement
Data Availability Statement
Conflicts of Interest
References
- Roberts, J.M.; Taylor, R.N.; Musci, T.J.; Rodgers, G.M.; Hubel, C.A.; McLaughlin, M.K. Preeclampsia: An endothelial cell disorder. Am. J. Obstet. Gynecol. 1989, 161, 1200–1204. [Google Scholar] [CrossRef] [PubMed]
- Redman, C.W.; Sargent, I.L. Pre-eclampsia, the placenta and the maternal systemic inflammatory response—A review. Placenta 2003, 24 (Suppl. A), S21–S27. [Google Scholar] [CrossRef]
- Wikström, A.K.; Larsson, A.; Eriksson, U.J.; Nash, P.; Nordén-Lindeberg, S.; Olovsson, M. Placental growth factor and soluble FMS-like tyrosine kinase-1 in early-onset and late-onset preeclampsia. Obstet. Gynecol. 2007, 109, 1368–1374. [Google Scholar] [CrossRef] [PubMed]
- Hund, M.; Allegranza, D.; Schoedl, M.; Dilba, P.; Verhagen-Kamerbeek, W.; Stepan, H. Multicenter prospective clinical study to evaluate the prediction of short-term outcome in pregnant women with suspected preeclampsia (PROGNOSIS): Study protocol. BMC Pregnancy Childbirth 2014, 14, 324. [Google Scholar] [CrossRef] [PubMed]
- Stepan, H.; Herraiz, I.; Schlembach, D.; Verlohren, S.; Brennecke, S.; Chantraine, F.; Klein, E.; Lapaire, O.; Llurba, E.; Ramoni, A.; et al. Implementation of the sFlt-1/PlGF ratio for prediction and diagnosis of pre-eclampsia in singleton pregnancy: Implications for clinical practice. Ultrasound Obstet. Gynecol. 2015, 45, 241–246. [Google Scholar] [CrossRef]
- Zeisler, H.; Llurba, E.; Chantraine, F.; Vatish, M.; Staff, A.C.; Sennström, M.; Olovsson, M.; Brennecke, S.P.; Stepan, H.; Allegranza, D.; et al. Predictive Value of the sFlt-1:PlGF Ratio in Women with Suspected Preeclampsia. N. Engl. J. Med. 2016, 374, 13–22. [Google Scholar] [CrossRef]
- Zeisler, H.; Llurba, E.; Chantraine, F.J.; Vatish, M.; Staff, A.C.; Sennström, M.; Olovsson, M.; Brennecke, S.P.; Stepan, H.; Allegranza, D.; et al. Soluble fms-like tyrosine kinase-1 to placental growth factor ratio: Ruling out pre-eclampsia for up to 4 weeks and value of retesting. Ultrasound Obstet. Gynecol. 2019, 53, 367–375. [Google Scholar] [CrossRef]
- Fitch, M.J.; Campagnolo, L.; Kuhnert, F.; Stuhlmann, H. Egfl7, a novel epidermal growth factor-domain gene expressed in endothelial cells. Dev. Dyn. 2004, 230, 316–324. [Google Scholar] [CrossRef]
- Soncin, F.; Mattot, V.; Lionneton, F.; Spruyt, N.; Lepretre, F.; Begue, A.; Stehelin, D. VE-statin, an endothelial repressor of smooth muscle cell migration. EMBO J. 2003, 22, 5700–5711. [Google Scholar] [CrossRef]
- Parker, L.H.; Schmidt, M.; Jin, S.W.; Gray, A.M.; Beis, D.; Pham, T.; Frantz, G.; Palmieri, S.; Hillan, K.; Stainier, D.Y.; et al. The endothelial-cell-derived secreted factor Egfl7 regulates vascular tube formation. Nature 2004, 428, 754–758. [Google Scholar] [CrossRef]
- Lacko, L.A.; Massimiani, M.; Sones, J.L.; Hurtado, R.; Salvi, S.; Ferrazzani, S.; Davisson, R.L.; Campagnolo, L.; Stuhlmann, H. Novel expression of EGFL7 in placental trophoblast and endothelial cells and its implication in preeclampsia. Mech. Dev. 2014, 133, 163–176. [Google Scholar] [CrossRef]
- Massimiani, M.; Vecchione, L.; Piccirilli, D.; Spitalieri, P.; Amati, F.; Salvi, S.; Ferrazzani, S.; Stuhlmann, H.; Campagnolo, L. Epidermal growth factor-like domain 7 promotes migration and invasion of human trophoblast cells through activation of MAPK, PI3K and NOTCH signaling pathways. Mol. Hum. Reprod. 2015, 21, 435–451. [Google Scholar] [CrossRef] [PubMed][Green Version]
- Massimiani, M.; Lacko, L.A.; Burke Swanson, C.S.; Salvi, S.; Argueta, L.B.; Moresi, S.; Ferrazzani, S.; Gelber, S.E.; Baergen, R.N.; Toschi, N.; et al. Increased circulating levels of Epidermal Growth Factor-like Domain 7 in pregnant women affected by preeclampsia. Transl. Res. 2019, 207, 19–29. [Google Scholar] [CrossRef] [PubMed]
- Yebyo, H.G.; Aschmann, H.E.; Kaufmann, M.; Puhan, M.A. Comparative effectiveness and safety of statins as a class and of specific statins for primary prevention of cardiovascular disease: A systematic review, meta-analysis, and network meta-analysis of randomized trials with 94,283 participants. Am. Heart J. 2019, 210, 18–28. [Google Scholar] [CrossRef] [PubMed]
- Meyer, N.; Brodowski, L.; Richter, K.; von Kaisenberg, C.S.; Schröder-Heurich, B.; von Versen-Höynck, F. Pravastatin Promotes Endothelial Colony-Forming Cell Function, Angiogenic Signaling and Protein Expression In Vitro. J. Clin. Med. 2021, 10, 183. [Google Scholar] [CrossRef]
- Esteve-Valverde, E.; Ferrer-Oliveras, R.; Gil-Aliberas, N.; Baraldès-Farré, A.; Llurba, E.; Alijotas-Reig, J. Pravastatin for Preventing and Treating Preeclampsia: A Systematic Review. Obstet. Gynecol. Surv. 2018, 73, 40–55. [Google Scholar] [CrossRef]
- Ahmed, A.; Williams, D.J.; Cheed, V.; Middleton, L.J.; Ahmad, S.; Wang, K.; Vince, A.T.; Hewett, P.; Spencer, K.; Khan, K.S.; et al. Pravastatin for early-onset pre-eclampsia: A randomised, blinded, placebo-controlled trial. BJOG Int. J. Obstet. Gynaecol. 2020, 127, 478–488. [Google Scholar] [CrossRef]
- Smith, D.D.; Costantine, M.M. The role of statins in the prevention of preeclampsia. Am. J. Obstet. Gynecol. 2022, 226, S1171–S1181. [Google Scholar] [CrossRef]
- Akbar, M.I.A.; Yosediputra, A.; Pratama, R.E.; Fadhilah, N.L.; Sulistyowati, S.; Amani, F.Z.; Dachlan, E.G.; Dikman Angsar, M.; Dekker, G.A. Pravastatin suppresses inflammatory cytokines and endothelial activation in patients at risk of developing preeclampsia: INOVASIA study. J. Matern. Fetal Neonatal Med. 2022, 35, 5375–5382. [Google Scholar] [CrossRef]
- Costantine, M.M.; West, H.; Wisner, K.L.; Caritis, S.; Clark, S.; Venkataramanan, R.; Stika, C.S.; Rytting, E.; Wang, X.; Ahmed, M.S.; et al. A randomized pilot clinical trial of pravastatin versus placebo in pregnant patients at high risk of preeclampsia. Am. J. Obstet. Gynecol. 2021, 225, 666.e1–666.e15. [Google Scholar] [CrossRef]
- Kupferminc, M.J.; Kliger, C.; Rimon, E.; Asher-Landsberg, J.; Skornick-Rapaport, A.; Gamzu, R.; Yogev, Y. Pravastatin is useful for prevention of recurrent severe placenta-mediated complications–a pilot study. J. Matern. Fetal Neonatal Med. 2022, 35, 8055–8061. [Google Scholar] [CrossRef]
- Marrs, C.C.; Costantine, M.M. Should We Add Pravastatin to Aspirin for Preeclampsia Prevention in High-risk Women? Clin. Obstet. Gynecol. 2017, 60, 161–168. [Google Scholar] [CrossRef] [PubMed][Green Version]
- Brown, M.A.; Magee, L.A.; Kenny, L.C.; Karumanchi, S.A.; McCarthy, F.P.; Saito, S.; Hall, D.R.; Warren, C.E.; Adoyi, G.; Ishaku, S.; et al. International Society for the Study of Hypertension in Pregnancy (ISSHP). The hypertensive disorders of pregnancy: ISSHP classification, diagnosis & management recommendations for international practice. Pregnancy Hypertens. 2018, 13, 291–310. [Google Scholar] [CrossRef] [PubMed]
- Gordijn, S.J.; Beune, I.M.; Thilaganathan, B.; Papageorghiou, A.; Baschat, A.A.; Baker, P.N.; Silver, R.M.; Wynia, K.; Ganzevoort, W. Consensus definition of fetal growth restriction: A Delphi procedure. Ultrasound Obstet. Gynecol. 2016, 48, 333–339. [Google Scholar] [CrossRef] [PubMed]
- Yudkin, P.L.; Aboualfa, M.; Eyre, J.A.; Redman, C.W.; Wilkinson, A.R. New birthweight and head circumference centiles for gestational ages 24 to 42 weeks. Early Hum. Dev. 1987, 15, 45–52. [Google Scholar] [CrossRef]
- Khong, T.Y.; Mooney, E.E.; Ariel, I.; Balmus, N.C.; Boyd, T.K.; Brundler, M.A.; Derricott, H.; Evans, M.J.; Faye-Petersen, O.M.; Gillan, J.E.; et al. Sampling and Definitions of Placental Lesions: Amsterdam Placental Workshop Group Consensus Statement. Arch. Pathol. Lab. Med. 2016, 140, 698–713. [Google Scholar] [CrossRef]
- Miller, R.K.; Genbacev, O.; Turner, M.A.; Aplin, J.D.; Caniggia, I.; Huppertz, B. Human placental explants in culture: Approaches and assessments. Placenta 2005, 26, 439–448. [Google Scholar] [CrossRef]
- Kanda, M.; Kumasawa, K.; Nemoto, K.; Miyatake, R.; Inaba, K.; Sayama, S.; Seyama, T.; Iriyama, T.; Nagamatsu, T.; Fujii, T.; et al. The Effects of Low Concentrations of Pravastatin on Placental Cells. Reprod. Sci. 2024. [Google Scholar] [CrossRef]
- Carson, R.A.; Rudine, A.C.; Tally, S.J.; Franks, A.L.; Frahm, K.A.; Waldman, J.K.; Silswal, N.; Burale, S.; Phan, J.V.; Chandran, U.R.; et al. Statins impact primary embryonic mouse neural stem cell survival, cell death, and fate through distinct mechanisms. PLoS ONE 2018, 13, e0196387. [Google Scholar] [CrossRef]
- Brownfoot, F.C.; Hannan, N.; Onda, K.; Tong, S.; Kaitu’u-Lino, T. Soluble endoglin production is upregulated by oxysterols but not quenched by pravastatin in primary placental and endothelial cells. Placenta 2014, 35, 724–731. [Google Scholar] [CrossRef]
- Fiore, D.; Proto, M.C.; Franceschelli, S.; Pascale, M.; Bifulco, M.; Gazzerro, P. In Vitro Evidence of Statins’ Protective Role against COVID-19 Hallmarks. Biomedicines 2022, 10, 2123. [Google Scholar] [CrossRef] [PubMed]
- Hunkapiller, N.M.; Gasperowicz, M.; Kapidzic, M.; Plaks, V.; Maltepe, E.; Kitajewski, J.; Cross, J.C.; Fisher, S.J. A role for Notch signaling in trophoblast endovascular invasion and in the pathogenesis of pre-eclampsia. Development 2011, 138, 2987–2998. [Google Scholar] [CrossRef]
- Haider, S.; Meinhardt, G.; Velicky, P.; Otti, G.R.; Whitley, G.; Fiala, C.; Pollheimer, J.; Knöfler, M. Notch signaling plays a critical role in motility and differentiation of human first-trimester cytotrophoblasts. Endocrinology 2014, 155, 263–274. [Google Scholar] [CrossRef] [PubMed]
- Cobellis, L.; Mastrogiacomo, A.; Federico, E.; Schettino, M.T.; De Falco, M.; Manente, L.; Coppola, G.; Torella, M.; Colacurci, N.; De Luca, A. Distribution of Notch protein members in normal and preeclampsia-complicated placentas. Cell Tissue Res. 2007, 330, 527–534. [Google Scholar] [CrossRef] [PubMed]
- Fragkiadaki, P.; Soulitzis, N.; Sifakis, S.; Koutroulakis, D.; Gourvas, V.; Vrachnis, N.; Spandidos, D.A. Downregulation of notch signaling pathway in late preterm and term placentas from pregnancies complicated by preeclampsia. PLoS ONE 2015, 10, e0126163. [Google Scholar] [CrossRef]
- Levine, R.J.; Maynard, S.E.; Qian, C.; Lim, K.H.; England, L.J.; Yu, K.F.; Schisterman, E.F.; Thadhani, R.; Sachs, B.P.; Epstein, F.H.; et al. Circulating angiogenic factors and the risk of preeclampsia. N. Engl. J. Med. 2004, 350, 672–683. [Google Scholar] [CrossRef]
- Massimiani, M.; Salvi, S.; Tiralongo, G.M.; Moresi, S.; Stuhlmann, H.; Valensise, H.; Lanzone, A.; Campagnolo, L. Circulating EGFL7 distinguishes between IUGR and PE: An observational case-control study. Sci. Rep. 2021, 11, 17919. [Google Scholar] [CrossRef]
- Kumasawa, K.; Ikawa, M.; Kidoya, H.; Hasuwa, H.; Saito-Fujita, T.; Morioka, Y.; Takakura, N.; Kimura, T.; Okabe, M. Pravastatin induces placental growth factor (PGF) and ameliorates preeclampsia in a mouse model. Proc. Natl. Acad. Sci. USA 2011, 108, 1451–1455. [Google Scholar] [CrossRef]
- Saad, A.F.; Kechichian, T.; Yin, H.; Sbrana, E.; Longo, M.; Wen, M.; Tamayo, E.; Hankins, G.D.; Saade, G.R.; Costantine, M.M. Effects of pravastatin on angiogenic and placental hypoxic imbalance in a mouse model of preeclampsia. Reprod. Sci. 2014, 21, 138–145. [Google Scholar] [CrossRef]
- Brownfoot, F.C.; Tong, S.; Hannan, N.J.; Binder, N.K.; Walker, S.P.; Cannon, P.; Hastie, R.; Onda, K.; Kaitu’u-Lino, T.J. Effects of Pravastatin on Human Placenta, Endothelium, and Women With Severe Preeclampsia. Hypertension 2015, 66, 687–697. [Google Scholar] [CrossRef]
- Brownfoot, F.C.; Tong, S.; Hannan, N.J.; Hastie, R.; Cannon, P.; Kaitu’u-Lino, T.J. Effects of simvastatin, rosuvastatin and pravastatin on soluble fms-like tyrosine kinase 1 (sFlt-1) and soluble endoglin (sENG) secretion from human umbilical vein endothelial cells, primary trophoblast cells and placenta. BMC Pregnancy Childbirth 2016, 16, 117. [Google Scholar] [CrossRef] [PubMed]
- Ma’ayeh, M.; Costantine, M.M. Prevention of preeclampsia. Semin. Fetal Neonatal Med. 2020, 25, 101123. [Google Scholar] [CrossRef] [PubMed]
- Magee, L.A.; Brown, M.A.; Hall, D.R.; Gupte, S.; Hennessy, A.; Karumanchi, S.A.; Kenny, L.C.; McCarthy, F.; Myers, J.; Poon, L.C.; et al. The 2021 International Society for the Study of Hypertension in Pregnancy classification, diagnosis & management recommendations for international practice. Pregnancy Hypertens. 2022, 27, 148–169. [Google Scholar] [CrossRef] [PubMed]
- World Health Organization. WHO Recommendations on Antiplatelet Agents for the Prevention of Pre-Eclampsia; World Health Organization: Geneva, Switzerland, 2021; Available online: https://www.who.int/publications/i/item/9789240037540 (accessed on 18 July 2024).
- NICE. Hypertension in pregnancy: Diagnosis and management (NG 133). In NICE Guidelines: National Institutes for Health and Care Excellence; NICE: London, UK, 2024; Available online: https://www.nice.org.uk/guidance/ng133 (accessed on 18 July 2024).
- Chen, J.; Zacharek, A.; Li, A.; Cui, X.; Roberts, C.; Lu, M.; Chopp, M. Atorvastatin promotes presenilin-1 expression and Notch1 activity and increases neural progenitor cell proliferation after stroke. Stroke 2008, 39, 220–226. [Google Scholar] [CrossRef]
- Zacharek, A.; Chen, J.; Cui, X.; Yang, Y.; Chopp, M. Simvastatin increases notch signaling activity and promotes arteriogenesis after stroke. Stroke 2009, 40, 254–260. [Google Scholar] [CrossRef]
- Kikuchi, R.; Takeshita, K.; Uchida, Y.; Kondo, M.; Cheng, X.W.; Nakayama, T.; Yamamoto, K.; Matsushita, T.; Liao, J.K.; Murohara, T. Pitavastatin-induced angiogenesis and arteriogenesis is mediated by Notch1 in a murine hindlimb ischemia model without induction of VEGF. Lab. Investig. 2011, 91, 691–703. [Google Scholar] [CrossRef]
- Zivkovic, S.; Maric, G.; Cvetinovic, N.; Lepojevic-Stefanovic, D.; Bozic Cvijan, B. Anti-Inflammatory Effects of Lipid-Lowering Drugs and Supplements-A Narrative Review. Nutrients 2023, 15, 1517. [Google Scholar] [CrossRef]
- McCarty, M.F.; Block, K.I. Preadministration of high-dose salicylates, suppressors of NF-kappaB activation, may increase the chemosensitivity of many cancers: An example of proapoptotic signal modulation therapy. Integr. Cancer Ther. 2006, 5, 252–268. [Google Scholar] [CrossRef]
- Dichtl, W.; Dulak, J.; Frick, M.; Alber, H.F.; Schwarzacher, S.P.; Ares, M.P.; Nilsson, J.; Pachinger, O.; Weidinger, F. HMG-CoA reductase inhibitors regulate inflammatory transcription factors in human endothelial and vascular smooth muscle cells. Arterioscler. Thromb. Vasc. Biol. 2003, 23, 58–63. [Google Scholar] [CrossRef]
- Koushki, K.; Shahbaz, S.K.; Mashayekhi, K.; Sadeghi, M.; Zayeri, Z.D.; Taba, M.Y.; Banach, M.; Al-Rasadi, K.; Johnston, T.P.; Sahebkar, A. Anti-inflammatory Action of Statins in Cardiovascular Disease: The Role of Inflammasome and Toll-Like Receptor Pathways. Clin. Rev. Allergy Immunol. 2021, 60, 175–199. [Google Scholar] [CrossRef]
- Prangsaengtong, O.; Jantaree, P.; Lirdprapamongkol, K.; Ngiwsara, L.; Svasti, J.; Koizumi, K. Aspirin suppresses components of lymphangiogenesis and lymphatic vessel remodeling by inhibiting the NF-κB/VCAM-1 pathway in human lymphatic endothelial cells. Vasc. Med. 2018, 23, 201–211. [Google Scholar] [CrossRef]
- Pinte, S.; Caetano, B.; Le Bras, A.; Havet, C.; Villain, G.; Dernayka, R.; Duez, C.; Mattot, V.; Soncin, F. Endothelial Cell Activation Is Regulated by Epidermal Growth Factor-like Domain 7 (Egfl7) during Inflammation. J. Biol. Chem. 2016, 291, 24017–24028. [Google Scholar] [CrossRef]




| Gene | Primer Sequence | AL (bp) | Accession No. |
|---|---|---|---|
| EGFL7 (forward) | 5′-TCGTGCAGCGTGTGTACCAG-3′ | 92 | NM_016215.5 |
| EGFL7 (reverse) | 5′-GCGGTAGGCGGTCCTATAGATG-3′ | ||
| NOTCH1 (forward) | 5′- GCGGGATCCACTGTGAGAA -3′ | 58 | NM_0176617.5 |
| NOTCH1 (reverse) | 5′- CCGTTGAAGCAGGAGCTCTCT -3′ | ||
| HEY1 (forward) | 5′-CATCGAGGTGGAGAAGGAGAGT-3′ | 66 | NM_012258.4 |
| HEY1 (reverse) | 5′-GACATGGAACCTAGAGCCGAACT-3′ | ||
| HEY2 (forward) | 5′-CGACCTCCGAGAGCGACAT-3′ | 67 | NM_012259.3 |
| HEY2 (reverse) | 5′-CTTTGCCCCGAGTAATTGTTCT-3′ | ||
| 18S (forward) | 5′-GAGGCCCTGTAATTGGAATGAG-3′ | 120 | NR_145820 |
| 18S (reverse) | 5′-GCAGCAACTTTAATATACGCTATTGG-3′ |
| Variable | Controls (n = 10) | PE Patients (n = 8) | p-Value |
|---|---|---|---|
| Maternal age (years) | 34.60 ± 1.13 | 31.50 ± 2.51 | 0.244 |
| Parity | 0.00 (0.00) | 0.00 (0.25) | 0.408 |
| Pre-conceptional BMI | 21.64 ± 8.43 | 24.35 ± 14.63 | 0.131 |
| Gestational weight gain | 11.62 ± 1.45 | 12.00 ± 1.00 | 0.835 |
| Second Trimester mean uterine arteries PI > 95° pc | 3/10 (30.00%) | 5/8 (62.50%) | 0.342 |
| Maximum SBP (mmHg) | 115.50 ± 2.83 | 164.63 ± 6.92 | <0.0001 |
| Maximum DBP (mmHg) | 71.20 ± 2.31 | 101.63 ± 4.73 | <0.0001 |
| Minimum PLT count | 219.400 ± 14.740 | 190.630 ± 24.530 | 0.309 |
| Maximum Creatinine (mg/dL) level | 0.43 ± 0.08 | 0.66 ± 0.09 | 0.092 |
| Maximum AST (UI/L) level | 16.00 (18.00) | 14.00 (28.50) | 0.965 |
| Maximum LDH (mg/dL) level | 214.75 ± 17.68 | 245.50 ± 19.98 | 0.268 |
| Maximum 24 h proteinuria (gr/L) level | 0.00 (0.00) | 1.50 (7.20) | 0.006 |
| Variable | Controls (n = 10) | PE Patients (n = 8) | p-Value |
|---|---|---|---|
| Gestational age at delivery (weeks) | 38.78 ± 16.54 | 31.66 ± 8.74 | <0.0001 |
| Birthweight (g) | 3547.00 ± 138.13 | 1277.50 ± 117.59 | <0.0001 |
| Birthweight centile | 66.70 ± 9.18 | 3.57 ± 1.69 | <0.0001 |
| Apgar 5th | 9.56 ± 0.18 | 8.63 ± 0.18 | 0.002 |
| Variable | Low-Responder (n = 4) | High-Responder (n = 4) | p-Value |
|---|---|---|---|
| Maternal age (years) | 35.50 ± 2.22 | 27.50 ± 3.71 | 0.114 |
| Parity | 0.50 (1.00) | 0.00 (0.00) | 0.343 |
| Pre-conceptional BMI | 25.69 ± 2.42 | 23.02 ± 1.71 | 0.402 |
| Gestational weight gain | 12.25 ± 1.60 | 11.75 ± 1.44 | 0.824 |
| LDA | 3/4 (75%) | 0/4 (0%) | 0.028 |
| LMWH | 2/4 (50%) | 0/4 (0%) | 0.102 |
| Uterine arteries mean PI > 95° pc | 4/4 (100%) | 2/4 (50%) | n.a. |
| Maximum SBP (mmHg) | 163.75 ± 6.54 | 165.50 ± 13.43 | 0.911 |
| Maximum DBP (mmHg) | 102.50 ± 7.26 | 100.75 ± 7.16 | 0.869 |
| Minimum PLT count | 184.250 ± 40.171 | 197.000 ± 68.327 | 0.817 |
| Creatinine (mg/dL) maximum level | 0.59 ± 0.18 | 0.72 ± 0.99 | 0.589 |
| Maximum AST (UI/L) level | 47.50 (108.75) | 11.00 (3.00) | 0.200 |
| LDH (mg/dL) maximum level | 236.00 ± 17.34 | 255.00 ± 38.76 | 0.670 |
| Proteinuria maximum (gr/L) | 2.95 (7.20) | 1.50 (4.93) | 0.686 |
| Variable | Low-Responder (n = 4) | High-Responder (n = 4) | p-Value |
|---|---|---|---|
| Gestational age at delivery (weeks) | 32.00 ± 1.67 | 31.32 ± 0.84 | 0.728 |
| Birthweight (g) | 1305.00 ± 233.00 | 1250.00 ± 98.68 | 0.835 |
| Birthweight centile | 1.65 ± 0.62 | 5.45 ± 3.25 | 0.289 |
| Apgar 5th | 8.50 ± 0.29 | 8.75 ± 0.25 | 0.537 |
| Maternal Vascular Perfusion | Low-Responder (n = 4) | High-Responder (n = 4) |
|---|---|---|
| Infarcts | 2/4 (50%) | 0/4 (0%) |
| Accelerated villous maturation | 4/4 (100%) | 4/4 (100%) |
| Villar agglutination | 2/4 (50%) | 3/4 (75%) |
| Villar hypoplasia | 3/4 (75%) | 0/4 (0%) |
| Increased syncytial knots | 4/4 (100%) | 4/4 (100%) |
| Fetal Vascular Perfusion | Low-Responder (n = 4) | High-Responder (n = 4) |
| Avascular villi | 3/4 (75%) | 1/4 (25%) |
| Intramural fibrin deposition | 1/4 (25%) | 0/4 (0%) |
| Stem vessel obliteration | 0/0 (0%) | 0/0 (0%) |
| Thrombosis | 0/0 (0%) | 0/0 (0%) |
Disclaimer/Publisher’s Note: The statements, opinions and data contained in all publications are solely those of the individual author(s) and contributor(s) and not of MDPI and/or the editor(s). MDPI and/or the editor(s) disclaim responsibility for any injury to people or property resulting from any ideas, methods, instructions or products referred to in the content. |
© 2024 by the authors. Licensee MDPI, Basel, Switzerland. This article is an open access article distributed under the terms and conditions of the Creative Commons Attribution (CC BY) license (https://creativecommons.org/licenses/by/4.0/).
Share and Cite
Salvi, S.; Fruci, S.; Lacconi, V.; Totaro Aprile, F.; Rullo, R.; Stuhlmann, H.; Lanzone, A.; Campagnolo, L.; Massimiani, M. Effect of Pravastatin on Placental Expression of Epidermal Growth Factor-like Domain 7 in Early-Onset Pre-Eclampsia: A New Potential Mechanism of Action. Biomedicines 2024, 12, 1929. https://doi.org/10.3390/biomedicines12081929
Salvi S, Fruci S, Lacconi V, Totaro Aprile F, Rullo R, Stuhlmann H, Lanzone A, Campagnolo L, Massimiani M. Effect of Pravastatin on Placental Expression of Epidermal Growth Factor-like Domain 7 in Early-Onset Pre-Eclampsia: A New Potential Mechanism of Action. Biomedicines. 2024; 12(8):1929. https://doi.org/10.3390/biomedicines12081929
Chicago/Turabian StyleSalvi, Silvia, Stefano Fruci, Valentina Lacconi, Federica Totaro Aprile, Roberta Rullo, Heidi Stuhlmann, Antonio Lanzone, Luisa Campagnolo, and Micol Massimiani. 2024. "Effect of Pravastatin on Placental Expression of Epidermal Growth Factor-like Domain 7 in Early-Onset Pre-Eclampsia: A New Potential Mechanism of Action" Biomedicines 12, no. 8: 1929. https://doi.org/10.3390/biomedicines12081929
APA StyleSalvi, S., Fruci, S., Lacconi, V., Totaro Aprile, F., Rullo, R., Stuhlmann, H., Lanzone, A., Campagnolo, L., & Massimiani, M. (2024). Effect of Pravastatin on Placental Expression of Epidermal Growth Factor-like Domain 7 in Early-Onset Pre-Eclampsia: A New Potential Mechanism of Action. Biomedicines, 12(8), 1929. https://doi.org/10.3390/biomedicines12081929

