Unraveling the Complex Molecular Interplay and Vascular Adaptive Changes in Hypertension-Induced Kidney Disease
Abstract
1. Introduction
2. Materials and Methods
2.1. Experimental Animals
2.2. Tissue Preparation
2.3. Morphometric Analysis of CD
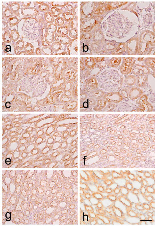
2.4. Immunohistochemistry
2.5. Semi-Quantitative Analysis
2.6. Statistical Analysis
3. Results
3.1. Measurement of BP
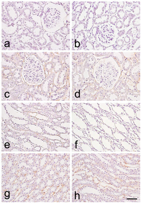
3.2. Immunohistochemical Expression and Semi-Quantitative Assessment
3.2.1. APLNR Expression
3.2.2. nNOS Expression
3.2.3. VEGF Expression
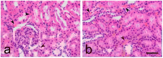
3.3. Analysis of CD
3.4. Statistical Assessment
3.4.1. ANOVA and Post-Hoc Tukey HSD Tests
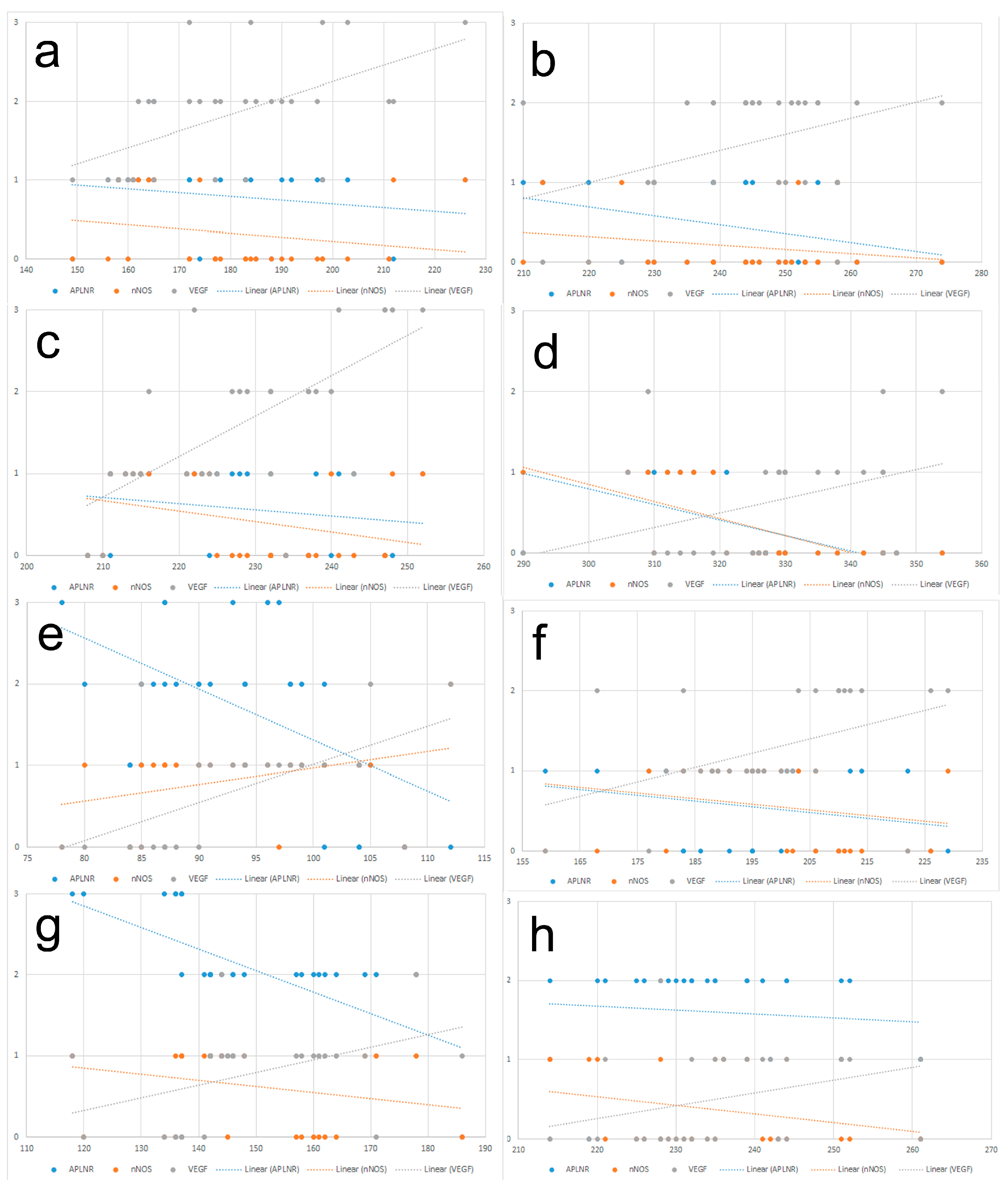
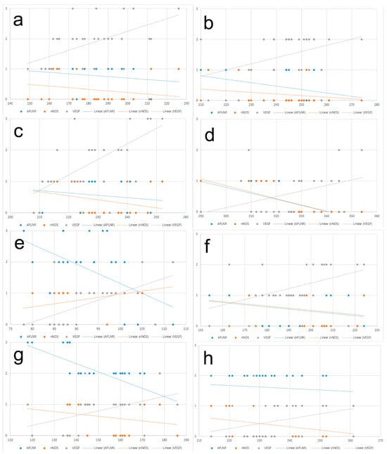
3.4.2. Correlations
4. Discussion
5. Conclusions
Author Contributions
Funding
Institutional Review Board Statement
Informed Consent Statement
Data Availability Statement
Conflicts of Interest
References
- Dudley, A.C.; Griffioen, A.W. Pathological angiogenesis: Mechanisms and therapeutic strategies. Angiogenesis 2023, 26, 313–347. [Google Scholar] [CrossRef] [PubMed]
- Zhang, A.; Fang, H.; Chen, J.; He, L.; Chen, Y. Role of VEGF-A and LRG1 in abnormal angiogenesis associated with diabetic nephropathy. Front. Physiol. 2020, 11, 1064. [Google Scholar] [CrossRef]
- Vidal, S.; Horvath, E.; Kovacs, K.; Scheithauer, B.W.; Lloyd, R.V. Morphologic approaches to the assessment of angiogenesis. Microsc. Anal. 2002, 92, 23–25. [Google Scholar]
- Murray, C.J.L.; Lopez, A.D. Measuring the global burden of disease. N. Engl. J. Med. 2013, 369, 448–457. [Google Scholar] [CrossRef] [PubMed]
- Whelton, P.K.; Carey, R.M.; Aronow, W.S.; Casey, D.E., Jr.; Collins, K.J.; Dennison Himmelfarb, C.; DePalma, S.M.; Gidding, S.; Jamerson, K.A.; Jones, D.W.; et al. 2017 ACC/AHA/AAPA/ABC/ACPM/AGS/APhA/ASH/ASPC/NMA/PCNA guideline for the prevention, detection, evaluation, and management of high blood pressure in adults: A report of the American College of Cardiology/American Heart AssociationTask Force on Clinical Practice Guidelines. Hypertension 2018, 71, e13–e115. [Google Scholar]
- Muntner, P.; Anderson, A.; Charleston, J.; Chen, Z.; Ford, V.; Makos, G.; O’Connor, A.; Perumal, K.; Rahman, M.; Steigerwalt, S.; et al. Hypertension awareness, treatment, and control in adults with CKD: Results from the Chronic Renal Insufficiency Cohort (CRIC) study. Am. J. Kidney Dis. 2010, 55, 441–451. [Google Scholar] [CrossRef]
- Cheung, A.K.; Rahman, M.; Reboussin, D.M.; Craven, T.E.; Greene, T.; Kimmel, P.L.; Cushman, W.C.; Hawfield, A.T.; Johnson, K.C.; Lewis, C.E.; et al. Effects of intensive BP control in CKD. J. Am. Soc. Nephrol. 2017, 28, 2812–2823. [Google Scholar] [CrossRef] [PubMed]
- Braun, M.C.; Herring, S.M.; Gokul, N.; Monita, M.; Bell, R.; Hicks, M.J.; Wenderfer, S.E.; Doris, P.A. Hypertensive renal disease: Susceptibility and resistance in inbred hypertensive rat lines. J. Hypertens. 2013, 31, 2050–2059. [Google Scholar] [CrossRef]
- Xue, H.Y.; Yuan, L.; Cao, Y.J.; Fan, Y.P.; Chen, X.L.; Huang, X.Z. Resveratrol ameliorates renal injury in spontaneously hypertensive rats by inhibiting renal microinflammation. Biosci. Rep. 2016, 36, e00339. [Google Scholar] [CrossRef]
- Wang, M.; Han, W.; Zhang, M.; Fang, W.; Zhai, X.; Guan, S.; Qu, X. Long-term renal sympathetic denervation ameliorates renal fibrosis and delays the onset of hypertension in spontaneously hypertensive rats. Am. J. Transl. Res. 2018, 10, 4042–4053. [Google Scholar]
- Kida, Y. Peritubular Capillary Rarefaction: An Underappreciated Regulator of CKD Progression. Int. J. Mol. Sci. 2020, 21, 8255. [Google Scholar] [CrossRef] [PubMed]
- van der Weijden, J.; De Hoogt, P.A.; Leufkens, M.M.E. The relationship of peritubular capillary density with glomerular volume and kidney function in living kidney donors. J. Nephrol. 2023, 36, 2111–2124. [Google Scholar] [CrossRef] [PubMed]
- Basile, D.P.; Friedrich, J.L.; Spahic, J.; Knipe, N.; Mang, H.; Leonard, E.C.; Changizi-Ashtiyani, S.; Bacallao, R.L.; Molitoris, B.A.; Sutton, T.A. Impaired endothelial proliferation and mesenchymal transition contribute to vascular rarefaction following acute kidney injury. Am. J. Physiol. Renal Physiol. 2011, 300, F721–F733. [Google Scholar] [CrossRef]
- Song, Q.; Wang, X.; Cao, Z.; Xin, C.; Zhang, J.; Li, S. The Apelin/APJ System: A Potential Therapeutic Target for Sepsis. J. Inflamm. Res. 2024, 17, 313–330. [Google Scholar] [CrossRef]
- Hus-Citharel, A.; Bouby, N.; Frugière, A.; Bodineau, L.; Gasc, J.M.; Llorens-Cortes, C. Effect of apelin on glomerular hemodynamic function in the rat kidney. Kidney Int. 2008, 74, 486–494. [Google Scholar] [CrossRef]
- de Oliveira, A.A.; Vergara, A.; Wang, X.; Vederas, J.C.; Oudit, G.Y. Apelin pathway in cardiovascular, kidney, and metabolic diseases: Therapeutic role of apelin analogs and apelin receptor agonists. Peptides 2022, 147, 170697. [Google Scholar] [CrossRef] [PubMed]
- Sekerci, R.; Acar, N.; Tepekoy, F.; Ustunel, I.; Keles-Celik, N. Apelin/APJ expression in the heart and kidneys of hypertensive rats. Acta Histochem. 2018, 120, 196–204. [Google Scholar] [CrossRef] [PubMed]
- Nagano, K.; Ishida, J.; Unno, M.; Matsukura, T.; Fukamizu, A. Apelin elevates blood pressure in ICR mice with LNAMEinduced endothelial dysfunction. Mol. Med. Rep. 2013, 7, 1371–1375. [Google Scholar] [CrossRef] [PubMed]
- Chapman, F.A.; Nyimanu, D.; Maguire, J.J.; Davenport, A.P.; Newby, D.E.; Dhaun, N. The therapeutic potential of apelin in kidney disease. Nat. Rev. Nephrol. 2021, 17, 840–853. [Google Scholar] [CrossRef]
- Schreiber, C.A.; Holditch, S.J.; Generous, A.; Ikeda, Y. Sustained ELABELA Gene Therapy in High-salt Diet-induced Hypertensive Rats. Curr. Gene Ther. 2017, 16, 349–360. [Google Scholar] [CrossRef]
- Tian, G.; Zheng, Q.; Zhang, Q.; Liu, X.; Lu, X. Serum Elabela expression is decreased in hypertensive patients and could be associated with the progression of hypertensive renal damage. Eur. J. Med. Res. 2024, 29, 94. [Google Scholar] [CrossRef]
- Nyimanu, D.; Chapman, F.A.; Gallacher, P.J.; Kuc, R.E.; Williams, T.L.; Newby, D.E.; Maguire, J.J.; Davenport, A.P.; Dhaun, N. Apelin is expressed throughout the human kidney, is elevated in chronic kidney disease & associates independently with decline in kidney function. Br. J. Clin. Pharmacol. 2022, 88, 5295–5306. [Google Scholar] [PubMed]
- Xu, T.; Jia, J.; Xu, N.; Ye, C.; Zheng, F.; Yuan, Y.; Zhu, G.Q.; Zhan, Y.Y. Apelin receptor upregulation in spontaneously hypertensive rat contributes to the enhanced vascular smooth muscle cell proliferation by activating autophagy. Ann. Transl. Med. 2021, 9, 627. [Google Scholar] [CrossRef] [PubMed]
- Zeng, G.G.; Tang, S.S.; Jiang, W.L.; Yu, J.; Nie, G.Y.; Tang, C.K. Apelin-13: A Protective Role in Vascular Diseases. Curr. Probl. Cardioln. 2024, 49, 102088. [Google Scholar] [CrossRef] [PubMed]
- Huang, F.; Zhu, P.; Huang, Q.; Yuan, Y.; Lin, F.; Li, Q. Associations between gene polymorphisms of the apelin- APJ system and the risk of hypertension. Blood Press 2016, 25, 257–262. [Google Scholar] [CrossRef] [PubMed]
- Sullivan, J.C.; Pardieck, J.L.; Hyndman, K.A.; Pollock, J.S. Renal NOS activity, expression, and localization in male and female spontaneously hypertensive rats. Am. J. Physiol. Regul. Integr. Comp. Physiol. 2010, 298, R61–R69. [Google Scholar] [CrossRef]
- Ahmad, A.; Dempsey, S.K.; Daneva, Z.; Azam, M.; Li, N.; Li, P.L.; Ritter, J.K. Role of Nitric Oxide in the Cardiovascular and Renal Systems. Int. J. Mol. Sci. 2018, 19, 2605. [Google Scholar] [CrossRef] [PubMed]
- Mount, P.F.; Power, D.A. Nitric oxide in the kidney: Functions and regulation of synthesis. Acta Physiol. 2006, 187, 433–446. [Google Scholar] [CrossRef] [PubMed]
- Lee, B.; Postnov, D.D.; Sørensen, C.M.; Sosnovtseva, O. The assessment of cortical hemodynamic responses induced by tubuloglomerular feedback using in vivo imaging. Physiol. Rep. 2023, 11, e15648. [Google Scholar] [CrossRef]
- Wu, F.; Park, F.; Cowley, A.W., Jr.; Mattson, D.L. Quantification of nitric oxide synthase activity in microdissected segments of the rat kidney. Am. J. Physiol. Renal Physiol. 1999, 276, F874–F881. [Google Scholar] [CrossRef]
- Kuczeriszka, M.; Wąsowicz, K. Animal models of hypertension: The status of nitric oxide and oxidative stress and the role of the renal medulla. Nitric Oxide 2022, 125, 40–46. [Google Scholar] [CrossRef] [PubMed]
- Huang, C.F.; Hsu, C.N.; Chien, S.J.; Lin, Y.J.; Huang, L.T.; Tain, Y.L. Aminoguanidine attenuates hypertension, whereas 7-nitroindazole exacerbates kidney damage in spontaneously hypertensive rats: The role of nitric oxide. Eur. J. Pharmacol. 2013, 699, 233–240. [Google Scholar] [CrossRef] [PubMed]
- Majzunova, M.; Kvandova, M.; Berenyiova, A.; Balis, P.; Dovinova, I.; Cacanyiova, S. Chronic NOS Inhibition Affects Oxidative State and Antioxidant Response Differently in the Kidneys of Young Normotensive and Hypertensive Rats. Oxid. Med. Cell. Longev. 2019, 22, 2019–5349398. [Google Scholar] [CrossRef] [PubMed]
- Shibuya, M. Vascular Endothelial Growth Factor (VEGF) and Its Receptor (VEGFR) Signaling in Angiogenesis: A Crucial Target for Anti- and Pro Angiogenic Therapies. Genes Cancer 2011, 2, 1097–1105. [Google Scholar] [CrossRef] [PubMed]
- Bartlett, C.S.; Jeansson, M.; Quaggin, S.E. Vascular Growth Factors and Glomerular Disease. Annu. Rev. Physiol. 2016, 78, 437–461. [Google Scholar] [CrossRef] [PubMed]
- Simon, M.; Gröne, H.J.; Jöhren, O.; Kullmer, J.; Plate, K.H.; Risau, W.; Fuchs, E. Expression of vascular endothelial growth factor and its receptors in human renal ontogenesis and in adult kidney. Am. J. Physiol. 1995, 268, F240–F250. [Google Scholar] [CrossRef] [PubMed]
- Brown, L.F.; Berse, B.; Tognazzi, K.; Manseau, E.J.; Van de Water, L.; Senger, D.R.; Dvorak, H.F.; Rosen, S. Vascular permeability factor mRNA and protein expression in human kidney. Kidney Int. 1992, 42, 1457–1461. [Google Scholar] [CrossRef] [PubMed]
- Marti, H.H.; Risau, W. Systemic hypoxia changes the organ-specific distribution of vascular endothelial growth factor and its receptors. Proc. Natl. Acad. Sci. USA 1998, 95, 15809–15814. [Google Scholar] [CrossRef] [PubMed]
- Kang, D.H.; Joly, A.H.; Oh, S.W.; Hugo, C.; Kerjaschki, D.; Gordon, K.L.; Mazzali, M.; Jefferson, J.A.; Hughes, J.; Madsen, K.M.; et al. Impaired angiogenesis in the remnant kidney model: I. Potential role of vascular endothelial growth factor and thrombospondin-1. J. Am. Soc. Nephrol. 2001, 12, 1434–1447. [Google Scholar] [CrossRef]
- Touyz, R.M.; Lang, N.N. Hypertension and Antiangiogenesis: The Janus Face of VEGF Inhibitors. JACC Cardio Oncol. 2019, 1, 37–40. [Google Scholar] [CrossRef]
- Stanchev, S.; Kotov, G.; Landzhov, B.; Kirkov, V.; Gaydarski, L.; Iliev, A. Depletion of vascular adaptive mechanisms in hypertension-induced injury of the heart and kidney. Bratisl. Lek. Listy 2023, 124, 133–142. [Google Scholar] [CrossRef] [PubMed]
- Pandey, A.K.; Singhi, E.K.; Arroyo, J.P.; Ikizler, T.A.; Gould, E.R.; Brown, J.; Beckman, J.A.; Harrison, D.G.; Moslehi, J. Mechanisms of VEGF (Vascular Endothelial Growth Factor) Inhibitor-Associated Hypertension and Vascular Disease. Hypertension 2018, 71, e1–e8. [Google Scholar] [CrossRef] [PubMed]
- Hultström, M. Development of structural kidney damage in spontaneously hypertensive rats. J. Hypertens. 2012, 30, 1087–1091. [Google Scholar] [CrossRef] [PubMed]
- Kotov, G.; Landzhov, B.; Stamenov, N.; Stanchev, S.; Iliev, A. Changes in the number of mast cells, expression of fibroblast growth factor-2 and extent of interstitial fibrosis in established and advanced hypertensive heart disease. Ann. Anat. 2020, 232, 151564. [Google Scholar] [CrossRef] [PubMed]
- Treuting, P.M.; Dintzis, S.M.; Montine, K.S. (Eds.) Comparative Anatomy and Histology: A Mouse, Rat, and Human Atlas; Academic Press: Cambridge, MA, USA, 2017. [Google Scholar]
- Stanchev, S.; Landzhov, B.; Kotov, G.; Stamenov, N.; Dikov, T.; Iliev, A. The potential role of mast cells and fibroblast growth factor-2 in the development of hypertension-induced renal damage. Acta Histochem. 2020, 122, 151599. [Google Scholar] [CrossRef] [PubMed]
- Ward, W.K.; Quinn, M.J.; Wood, M.D.; Tiekotter, K.L.; Pidikiti, S.; Gallagher, J.A. Vascularizing the tissue surrounding a model biosensor: How localized is the effect of a subcutaneous infusion of vascular endothelial growth factor (VEGF)? Biosens. Bioelectron. 2003, 19, 155–163. [Google Scholar] [CrossRef] [PubMed]
- Sun, I.O.; Santelli, A.; Abumoawad, A.; Eirin, A.; Ferguson, C.M.; Woollard, J.R.; Lerman, A.; Textor, S.C.; Puranik, A.S.; Lerman, L.O. Loss of renal peritubular capillaries in hypertensive patients is detectable by urinary endothelial microparticle levels. Hypertension 2018, 72, 1180–1188. [Google Scholar] [CrossRef] [PubMed]
- Müller, T.; Kalea, A.Z.; Marquez, A.; Hsieh, I.; Haque, S.; Ye, M.; Wysocki, J.; Bader, M.; Batlle, D. Apelinergic system in the kidney: Implications for diabetic kidney disease. Physiol. Rep. 2018, 6, e13939. [Google Scholar] [CrossRef] [PubMed]
- Day, R.T.; Cavaglieri, R.C.; Feliers, D. Apelin retards the progression of diabetic nephropathy. Am. J. Physiol.-Renal Physiol. 2013, 304, F788–F800. [Google Scholar] [CrossRef]
- Sagiroglu, T.; Torun, N.; Yagci, M.; Yalta, T.; Sagiroglu, G.; Oguz, S. Effects of apelin and leptin on renal functions following renal ischemia/reperfusion: An experimental study. Exp. Ther. Med. 2012, 3, 908–914. [Google Scholar] [CrossRef][Green Version]
- Chen, H.; Wan, D.; Wang, L.; Peng, A.; Xiao, H.; Petersen, R.B.; Liu, C.; Zheng, L.; Huang, K. Apelin protects against acute renal injury by inhibiting TGF-β1. Biochim. Biophys. Acta–Mol. Basis Dis. 2015, 1852, 1278–1287. [Google Scholar] [CrossRef] [PubMed]
- Gunaratnam, L.; Bonventre, J.V. HIF in kidney disease and development. J. Am. Soc. Nephrol. 2009, 20, 1877–1887. [Google Scholar] [CrossRef] [PubMed]
- Soltani Hekmat, H.; Najafipour, A.A.; Nekooian, S.; Esmaeli-Mahani, S.; Javanmardi, K. Cardiovascular responses to apelin in two-kidney-one-clip hypertensive rats and its receptor expression in ischemic and non-ischemic kidneys. Regul. Pept. 2011, 172, 62–68. [Google Scholar] [CrossRef] [PubMed]
- Nishida, M.; Okumura, Y.; Oka, T.; Toiyama, K.; Ozawa, S.; Itoi, T.; Hamaoka, K. The role of Apelin on the alleviative effect of angiotensin receptor blocker in unilateral ureteral obstruction-induced renal fibrosis. Nephron Extra 2012, 2, 39–47. [Google Scholar] [CrossRef] [PubMed]
- Carlström, M. Nitric oxide signalling in kidney regulation and cardiometabolic health. Nat. Rev. Nephrol. 2021, 17, 575–590. [Google Scholar] [CrossRef] [PubMed]
- Wu, R.; Zhu, Z.; Zhou, D. VEGF, apelin and HO-1 in diabetic patients with retinopathy: A correlation analysis. BMC Ophthalmol. 2020, 20, 326. [Google Scholar] [CrossRef] [PubMed]
- Vural, E.; Hazar, L.; Karakukçu, C.; Arslan, M.E.; Sirem, M.R.; Sirakaya, E.; Ozsayglll, C.; Çiçek, A. Apelin-13: A promising biomarker for age-related macular degeneration? Ophthalmologica 2021, 244, 102–109. [Google Scholar] [CrossRef] [PubMed]
- Zeng, H.; He, X.; Hou, X.; Li, L.; Chen, J.X. Apelin gene therapy increases myocardial vascular density and ameliorates diabetic cardiomyopathy via upregulation of sirtuin 3. Am. J. Physiol. Heart Circul. Physiol. 2014, 4, H585–H597. [Google Scholar] [CrossRef] [PubMed]
- Ye, J.; Ni, P.; Kang, L.; Xu, B. Apelin and vascular endothelial growth factor are associated with mobilization of endothelial progenitor cells after acute myocardial infarction. J. Biomed. Res. 2012, 26, 400–409. [Google Scholar]
- Tao, Y.; Lu, Q.; Jiang, Y.R.; Qian, J.; Wang, J.Y.; Gao, L.; Jonas, J.B. Apelin in plasma and vitreous and in fibrovascular retinal membranes of patients with proliferative diabetic retinopathy. Investig. Ophthalmol. Vis. Sci. 2010, 51, 4237–4242. [Google Scholar] [CrossRef]
- Veron, D.; Bertuccio, C.A.; Marlier, A.; Reidy, K.; Garcia, A.M.; Jimenez, J.; Velazquez, H.; Kashgarian, M.; Moeckel, G.W.; Tufro, A. Podocyte vascular endothelial growth factor (Vegf164) overexpression causes severe nodular glomerulosclerosis in a mouse model of type 1 diabetes. Diabetologia 2011, 54, 1227–1241. [Google Scholar] [CrossRef]
- Azad, A.K.; Campbell, K.R.; Zhabyeyev, P.; Oudit, G.Y.; Moore, R.B.; Murray, A.G. Loss of apelin blocks the emergence of sprouting angiogenesis in experimental tumors. FASEB J. 2022, 36, e22560. [Google Scholar] [CrossRef] [PubMed]
- Dimke, H.; Sparks, M.A.; Thomson, B.R.; Frische, S.; Coffman, T.M.; Quaggin, S.E. Tubulovascular cross-talk by vascular endothelial growth factor a maintains peritubular microvasculature in kidney. J. Am. Soc. Nephrol. 2015, 26, 1027–1038. [Google Scholar] [CrossRef] [PubMed]
- Eremina, V.; Quaggin, S.E. The role of VEGF-A in glomerular development and function. Curr. Opin. Nephrol. Hypertens 2004, 13, 9–15. [Google Scholar] [CrossRef] [PubMed]
- Sison, K.; Eremina, V.; Baelde, H.; Min, W.; Hirashima, M.; Fantus, I.G.; Quaggin, S.E. Glomerular structure and function require paracrine, not autocrine, VEGF-VEGFR-2 signaling. J. Am. Soc. Nephrol. 2010, 21, 1691–1701. [Google Scholar] [CrossRef] [PubMed]
- Advani, A.; Kelly, D.J.; Advani, S.L.; Cox, A.J.; Thai, K.; Zhang, Y.; White, K.E.; Gow, R.M.; Marshall, S.M.; Steer, B.M.; et al. Role of VEGF in maintaining renal structure and function under normotensive and hypertensive conditions. Proc. Natl. Acad. Sci. USA 2007, 104, 14448–14453. [Google Scholar] [CrossRef] [PubMed]
- Liu, T.; Hong, L.; Yang, Y.; Qiao, X.; Cai, W.; Zhong, M.; Wang, M.; Zheng, Z.; Fu, Y. Metformin reduces proteinuria in spontaneously hypertensive rats by activating the HIF-2α-VEGF-A pathway. Eur. J. Pharmacol. 2021, 891, 173731. [Google Scholar] [CrossRef] [PubMed]
- Schrijvers, B.F.; Flyvbjerg, A.; De Vriese, A.S. The role of vascular endothelial growth factor (VEGF) in renal pathophysiology. Kidney Int. 2004, 65, 2003–2017. [Google Scholar] [CrossRef]
- Kelly, D.J.; Hepper, C.; Wu, L.L.; Cox, A.J.; Gilbert, R.E. Vascular endothelial growth factor expression and glomerular endothelial cell loss in the remnant kidney model. Nephrol. Dial. Transpl. 2003, 18, 1286–1292. [Google Scholar] [CrossRef][Green Version]
- Afsar, B.; Afsar, R.E.; Dagel, T.; Kaya, E.; Erus, S.; Ortiz, A.; Covic, A.; Kanbay, M. Capillary rarefaction from the kidney point of view. Clin. Kidney J. 2018, 11, 295–301. [Google Scholar] [CrossRef]
- Moncada, S. Nitric oxide in the vasculature: Physiology and pathophysiology. Ann. N. Y. Acad. Sci. 1997, 811, 60–67. [Google Scholar] [CrossRef] [PubMed]
- Kang, D.H.; Nakagawa, T.; Feng, L.; Johnson, R.J. Nitric oxide modulates vascular disease in the remnant kidney model. Am. J. Pathol. 2002, 161, 239–248. [Google Scholar] [CrossRef] [PubMed]
- Shashar, M.; Chernichovski, T.; Pasvolsky, O.; Levi, S.; Grupper, A.; Hershkovitz, R.; Weinstein, T.; Schwartz, I.F. Vascular endothelial growth factor augments arginine transport and nitric oxide generation via a KDR receptor signaling pathway. Kidney Blood Press Res. 2017, 42, 201–208. [Google Scholar] [CrossRef] [PubMed]
- Dulak, J.; Jozkowicz, A. Regulation of vascular endothelial growth factor synthesis by nitric oxide: Facts and controversies. Antioxid. Redox Signal. 2003, 5, 123–132. [Google Scholar] [CrossRef] [PubMed]
- Feliers, D.; Chen, X.; Akis, N.; Choudhury, G.G.; Madaio, M.; Kasinath, B.S. VEGF regulation of endothelial nitric oxide synthase in glomerular endothelial cells. Kidney Int. 2005, 68, 1648–1659. [Google Scholar] [CrossRef]
- Varghese, F.; Bukhari, A.B.; Malhotra, R.; De, A. IHC Profiler: An open source plugin for the quantitative evaluation and automated scoring of immunohistochemistry images of human tissue samples. PLoS ONE 2014, 9, e96801. [Google Scholar] [CrossRef]






| Age Group | Mean Systolic Blood Pressure (mmHg) ± SD | Mean Diastolic Blood Pressure (mmHg) ± SD |
|---|---|---|
| 6-month-old SHRs | 174.7 ± 2.6 | 115.9 ± 2.8 |
| 6-month-old WRs | 118 ± 1.9 | 77 ± 2.2 |
| 12-month-old SHRs | 201.8 ± 3.7 | 125.8 ± 1.9 |
| 12-month-old WRs | 122 ± 2.1 | 83 ± 3.1 |
| Experimental Animals | APLNR | nNOS | VEGF | |
|---|---|---|---|---|
| 6-month-old rats | RC of SHRs | High-positive (3+) (0%) Positive (2+) (3%) Low-positive (1+) (68%) Negative (0) (29%) | High-positive (3+) (0%) Positive (2+) (0%) Low-positive (1+) (34%) Negative (0) (66%) | High-positive (3+) (20%) Positive (2+) (42%) Low-positive (1+) (37%) Negative (0) (1%) |
| RC of WRs | High-positive (3+) (0%) Positive (2+) (0%) Low-positive (1+) (42%) Negative (0) (58%) | High-positive (3+) (0%) Positive (2+) (0%) Low-positive (1+) (19%) Negative (0) (81%) | High-positive (3+) (0%) Positive (2+) (67%) Low-positive (1+) (19%) Negative (0) (14%) | |
| RM of SHRs | High-positive (3+) (0%) Positive (2+) (0%) Low-positive (1+) (56%) Negative (0) (44%) | High-positive (3+) (0%) Positive (2+) (0%) Low-positive (1+) (39%) Negative (0) (61%) | High-positive (3+) (29%) Positive (2+) (40%) Low-positive (1+) (26%) Negative (0) (5%) | |
| RM of WRs | High-positive (3+) (0%) Positive (2+) (0%) Low-positive (1+) (28%) Negative (0) (72%) | High-positive (3+) (0%) Positive (2+) (0%) Low-positive (1+) (26%) Negative (0) (74%) | High-positive (3+) (0%) Positive (2+) (10%) Low-positive (1+) (45%) Negative (0) (45%) | |
| 12-month-old rats | RC of SHRs | High-positive (3+) (12%) Positive (2+) (53%) Low-positive (1+) (17%) Negative (0) (18%) | High-positive (3+) (0%) Positive (2+) (4%) Low-positive (1+) (76%) Negative (0) (20%) | High-positive (3+) (0%) Positive (2+) (9%) Low-positive (1+) (51%) Negative (0) (40%) |
| RC of WRs | High-positive (3+) (0%) Positive (2+) (0%) Low-positive (1+) (54%) Negative (0) (46%) | High-positive (3+) (0%) Positive (2+) (0%) Low-positive (1+) (56%) Negative (0) (44%) | High-positive (3+) (0%) Positive (2+) (33%) Low-positive (1+) (55%) Negative (0) (12%) | |
| RM of SHRs | High-positive (3+) (23%) Positive (2+) (66%) Low-positive (1+) (7%) Negative (0) (4%) | High-positive (3+) (0%) Positive (2+) (0%) Low-positive (1+) (62%) Negative (0) (38%) | High-positive (3+) (0%) Positive (2+) (7%) Low-positive (1+) (63%) Negative (0) (30%) | |
| RM of WRs | High-positive (3+) (0%) Positive (2+) (70%) Low-positive (1+) (21%) Negative (0) (9%) | High-positive (3+) (0%) Positive (2+) (0%) Low-positive (1+) (38%) Negative (0) (62%) | High-positive (3+) (0%) Positive (2+) (3%) Low-positive (1+) (54%) Negative (0) (43%) | |
| Compared Groups | p-Value |
|---|---|
| APLNR-C 6m SHR/APLNR-C 6m WR | 0.07 |
| nNOS-C 6m SHR/nNOS-C 6m WR | 0.25 |
| VEGF-C 6m SHR/VEGF-C 6m WR | 0.04 |
| APLNR-M 6m SHR/APLNR-M 6m WR | 0.02 |
| nNOS-M 6m SHR/nNOS-M 6m WR | 0.28 |
| VEGF-M 6m SHR/VEGF-M 6m WR | 0.001 |
| APLNR-C 12m SHR/APLNR-C 12m WR | 0.001 |
| nNOS-C 12m SHR/nNOS-C 12m WR | 0.04 |
| VEGF-C 12m SHR/VEGF-C 12m WR | 0.001 |
| APLNR-M 12m SHR/APLNR-M 12m WR | 0.03 |
| nNOS-M 12m SHR/nNOS-M 12m WR | 0.04 |
| VEGF-M 12m SHR/VEGF-M 12m WR | 0.04 |
| Experimental Animals | Mean | SD | Median | Min | Max | p-Value | |
|---|---|---|---|---|---|---|---|
| 6-month-old rats | RC SHRs | 18.0 | 3.1 | 18.5 | 16 | 27 | p < 0.05 |
| RC WRs | 24.3 | 4.8 | 25 | 13 | 33 | ||
| RM SHRs | 22.9 | 3.8 | 22.5 | 20 | 31 | p < 0.05 | |
| RM WRs | 32.8 | 5.1 | 28 | 22 | 41 | ||
| 12-month-old rats | RC SHRs | 9.3 | 2.8 | 7.5 | 6 | 17 | p < 0.05 |
| RC WRs | 19.8 | 4.6 | 28.5 | 11 | 29 | ||
| RM SHRs | 14.8 | 3.8 | 11 | 7 | 27 | p < 0.05 | |
| RM WRs | 23.5 | 4.2 | 19.5 | 16 | 31 | ||
| Compared Groups | p-Value |
|---|---|
| APLNR-C 6m SHR/nNOS-C 6m SHR | 0.005 |
| APLNR-C 6m WR/nNOS-C 6m WR | 0.3 |
| APLNR-C 6m SHR/VEGF-C 6m SHR | 0.001 |
| APLNR-C 6m WR/VEGF-C 6m WR | 0.001 |
| nNOS-C 6m SHR/VEGF-C 6m SHR | 0.001 |
| nNOS-C 6m WR/VEGF-C 6m WR | 0.001 |
| APLNR-M 6m SHR/nNOS-M 6m SHR | 0.6 |
| APLNR-M 6m WR/nNOS-M 6m WR | 0.96 |
| APLNR-M 6m SHR/VEGF-M 6m SHR | 0.001 |
| APLNR-M 6m WR/VEGF-M 6m WR | 0.02 |
| nNOS-M 6m SHR/VEGF-M 6m SHR | 0.001 |
| nNOS-M 6m WR/VEGF-M 6m WR | 0.02 |
| APLNR-C 12m SHR/nNOS-C 12m SHR | 0.001 |
| APLNR-C 12m WR/nNOS-C 12m WR | 0.9 |
| APLNR-C 12m SHR/VEGF-C 12m SHR | 0.001 |
| APLNR-C 12m WR/VEGF-C 12m WR | 0.001 |
| nNOS-C 12m SHR/VEGF-C 12m SHR | 0.8 |
| nNOS-C 12m WR/VEGF-C 12m WR | 0.001 |
| APLNR-M 12m SHR/nNOS-M 12m SHR | 0.001 |
| APLNR-M 12m WR/nNOS-M 12m WR | 0.001 |
| APLNR-M 12m SHR/VEGF-M 12m SHR | 0.001 |
| APLNR-M 12m WR/VEGF-M 12m WR | 0.001 |
| nNOS-M 12m SHR/VEGF-M 12m SHR | 0.6 |
| nNOS-M 12m WR/VEGF-M 12m WR | 0.7 |
| Correlated Parameters | r | r2 | p-Value |
|---|---|---|---|
| CD-C 6m SHR/APLNR-C 6m SHR | −0.19 | 0.04 | 0.3 |
| CD-C 6m WR/APLNR-C 6m WR | −0.35 | 0.13 | 0.04 |
| CD-M 6m SHR/APLNR-M 6m SHR | −0.24 | 0.05 | 0.3 |
| CD-M 6m WR/APLNR-M 6m WR | −0.31 | 0.1 | 0.04 |
| CD-C 6m SHR/nNOS-C 6m SHR | −0.25 | 0.06 | 0.2 |
| CD-C 6m WR/nNOS-C 6m WR | −0.32 | 0.11 | 0.04 |
| CD-M 6m SHR/nNOS-M 6m SHR | −0.31 | 0.09 | 0.04 |
| CD-M 6m WR/nNOS-M 6m WR | −0.33 | 0.12 | 0.07 |
| CD-C 6m SHR/VEGF-C 6m SHR | 0.58 | 0.34 | 0.0008 |
| CD-C 6m WR/VEGF-C 6m WR | 0.39 | 0.15 | 0.03 |
| CD-M 6m SHR/VEGF-M 6m SHR | 0.66 | 0.43 | 0.00004 |
| CD-M 6m WR/VEGF-M 6m WR | 0.38 | 0.14 | 0.03 |
| CD-C 12m SHR/APLNR-C 12m SHR | −0.54 | 0.29 | 0.002 |
| CD-C 12m WR/APLNR-C 12m WR | −0.13 | 0.02 | 0.5 |
| CD-M 12m SHR/APLNR-M 12m SHR | −0.63 | 0.39 | 0.00005 |
| CD-M 12m WR/APLNR-M 12m WR | −0.09 | 0.02 | 0.6 |
| CD-C 12m SHR/nNOS-C 12m SHR | 0.38 | 0.15 | 0.04 |
| CD-C 12m WR/nNOS-C 12m WR | −0.22 | 0.05 | 0.2 |
| CD-M 12m SHR/nNOS-M 12m SHR | −0.24 | 0.06 | 0.2 |
| CD-M 12m WR/nNOS-M 12m WR | −0.27 | 0.08 | 0.1 |
| CD-C 12m SHR/VEGF-C 12m SHR | 0.61 | 0.38 | 0.002 |
| CD-C 12m WR/VEGF-C 12m WR | 0.45 | 0.20 | 0.01 |
| CD-M 12m SHR/VEGF-M 12m SHR | 0.43 | 0.18 | 0.02 |
| CD-M 12m WR/VEGF-M 12m WR | 0.34 | 0.12 | 0.06 |
| Correlated Parameters | r | r2 | p-Value |
|---|---|---|---|
| APLNR-C 6m SHR/nNOS-C 6m SHR | −0.18 | 0.09 | 0.3 |
| APLNR-C 6m WR/nNOS-C 6m WR | 0.22 | 0.07 | 0.4 |
| APLNR-C 6m SHR/VEGF-C 6m SHR | −0.31 | 0.10 | 0.04 |
| APLNR-C 6m WR/VEGF-C 6m WR | −0.44 | 0.21 | 0.01 |
| nNOS-C 6m SHR/VEGF-C 6m SHR | −0.38 | 0.15 | 0.03 |
| nNOS-C 6m WR/VEGF-C 6m WR | −0.42 | 0.19 | 0.02 |
| APLNR-M 6m SHR/nNOS-M 6m SHR | 0.69 | 0.43 | <0.001 |
| APLNR-M 6m WR/nNOS-M 6m WR | 0.92 | 0.84 | <0.001 |
| APLNR-M 6m SHR/VEGF-M 6m SHR | −0.54 | 0.26 | 0.01 |
| APLNR-M 6m WR/VEGF-M 6m WR | −0.58 | 0.27 | 0.01 |
| nNOS-M 6m SHR/VEGF-M 6m SHR | −0.42 | 0.18 | 0.02 |
| nNOS-M 6m WR/VEGF-M 6m WR | −0.39 | 0.15 | 0.02 |
| APLNR-C 12m SHR/nNOS-C 12m SHR | −0.48 | 0.21 | 0.01 |
| APLNR-C 12m WR/nNOS-C 12m WR | 0.93 | 0.88 | <0.001 |
| APLNR-C 12m SHR/VEGF-C 12m SHR | −0.41 | 0.18 | 0.02 |
| APLNR-C 12m WR/VEGF-C 12m WR | −0.32 | 0.11 | 0.04 |
| nNOS-C 12m SHR/VEGF-C 12m SHR | 0.36 | 0.13 | 0.04 |
| nNOS-C 12m WR/VEGF-C 12m WR | −0.30 | 0.10 | 0.04 |
| APLNR-M 12m SHR/nNOS-M 12m SHR | −0.53 | 0.25 | 0.01 |
| APLNR-M 12m WR/nNOS-M 12m WR | −0.48 | 0.21 | 0.01 |
| APLNR-M 12m SHR/VEGF-M 12m SHR | −0.46 | 0.20 | 0.01 |
| APLNR-M 12m WR/VEGF-M 12m WR | −0.37 | 0.14 | 0.004 |
| nNOS-M 12m SHR/VEGF-M 12m SHR | 0.73 | 0.46 | <0.001 |
| nNOS-M 12m WR/VEGF-M 12m WR | −0.08 | 0.01 | 0.7 |
Disclaimer/Publisher’s Note: The statements, opinions and data contained in all publications are solely those of the individual author(s) and contributor(s) and not of MDPI and/or the editor(s). MDPI and/or the editor(s) disclaim responsibility for any injury to people or property resulting from any ideas, methods, instructions or products referred to in the content. |
© 2024 by the authors. Licensee MDPI, Basel, Switzerland. This article is an open access article distributed under the terms and conditions of the Creative Commons Attribution (CC BY) license (https://creativecommons.org/licenses/by/4.0/).
Share and Cite
Gaydarski, L.; Dimitrova, I.N.; Stanchev, S.; Iliev, A.; Kotov, G.; Kirkov, V.; Stamenov, N.; Dikov, T.; Georgiev, G.P.; Landzhov, B. Unraveling the Complex Molecular Interplay and Vascular Adaptive Changes in Hypertension-Induced Kidney Disease. Biomedicines 2024, 12, 1723. https://doi.org/10.3390/biomedicines12081723
Gaydarski L, Dimitrova IN, Stanchev S, Iliev A, Kotov G, Kirkov V, Stamenov N, Dikov T, Georgiev GP, Landzhov B. Unraveling the Complex Molecular Interplay and Vascular Adaptive Changes in Hypertension-Induced Kidney Disease. Biomedicines. 2024; 12(8):1723. https://doi.org/10.3390/biomedicines12081723
Chicago/Turabian StyleGaydarski, Lyubomir, Iva N. Dimitrova, Stancho Stanchev, Alexandar Iliev, Georgi Kotov, Vidin Kirkov, Nikola Stamenov, Tihomir Dikov, Georgi P. Georgiev, and Boycho Landzhov. 2024. "Unraveling the Complex Molecular Interplay and Vascular Adaptive Changes in Hypertension-Induced Kidney Disease" Biomedicines 12, no. 8: 1723. https://doi.org/10.3390/biomedicines12081723
APA StyleGaydarski, L., Dimitrova, I. N., Stanchev, S., Iliev, A., Kotov, G., Kirkov, V., Stamenov, N., Dikov, T., Georgiev, G. P., & Landzhov, B. (2024). Unraveling the Complex Molecular Interplay and Vascular Adaptive Changes in Hypertension-Induced Kidney Disease. Biomedicines, 12(8), 1723. https://doi.org/10.3390/biomedicines12081723

