Gene Therapy of Thromboangiitis Obliterans with Growth Factor Plasmid (VEGF165) and Autologous Bone Marrow Cells
Abstract
1. Introduction
2. Materials and Methods
2.1. Study Group
- TAO patients;
- Critical ischemia of the lower limb (grades III and IV according to Fontaine’s classification) with rest pain and/or ulceration/arthrosis that has been healing for a minimum of 12 weeks;
- No response to standard conservative treatment for at least 4 weeks;
- Ineligibility for open or endovascular revascularization surgery.
- Need for urgent amputation;
- A history of cancer;
- A history of severe, unstable retinopathy.
- A—patients received both the mononuclear cells and the VEGF165 plasmid;
- B—patients received VEGF plasmid in combination with saline;
- C—control group: patients received intramuscular injections of saline.
2.2. Study Protocol
- (1)
- met the inclusion criteria described above;
- (2)
- did not have the exclusion criteria described above;
- (3)
- were fully informed about the study and gave written informed consent.
2.3. Bone Marrow Procurement and Preparation
2.4. Production of VEGF Plasmid (phVEGF165)
2.5. Administration of the Preparation
2.6. VEGF Serum Levels
2.7. ABI before Treatment
2.8. Transcutaneous Oxygen Pressure (TcPO2) before Treatment
2.9. Visual Analog Scale (VAS) before Treatment
2.10. Imaging Studies
2.11. Statistical Analysis
3. Results
3.1. Changes in Serum Levels of VEGF165 in Patients
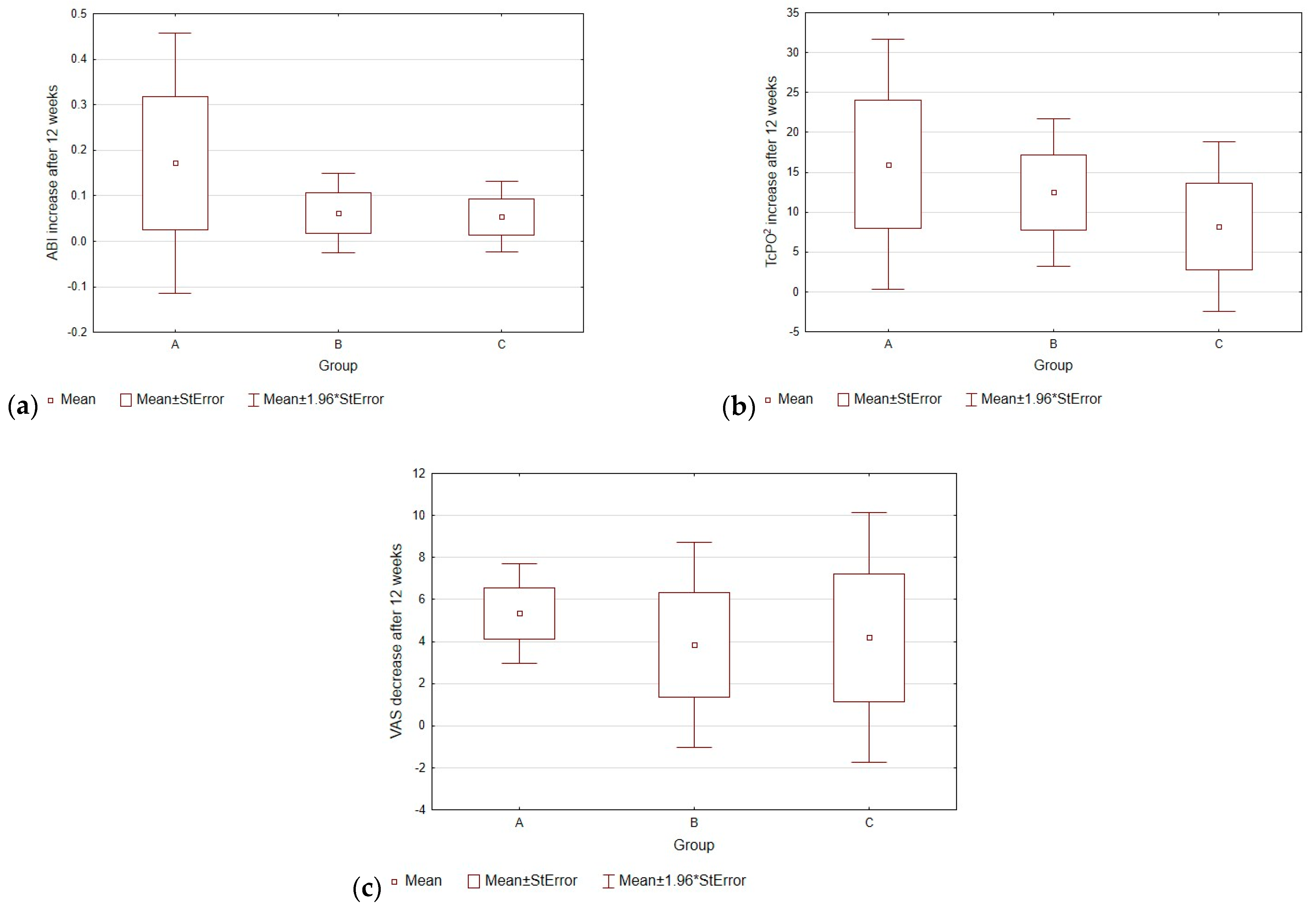
3.2. ABI after 12 Weeks of Treatment
3.3. TcPO2 after 12 Weeks of Treatment
3.4. VAS after 12 Weeks of Treatment
3.5. CDU
4. Discussion
5. Conclusions
Author Contributions
Funding
Institutional Review Board Statement
Informed Consent Statement
Data Availability Statement
Conflicts of Interest
References
- Afsharfard, A.; Mozaffar, M.; Malekpour, F.; Beigiboroojeni, A.; Rezaee, M. The Wound Healing Effects of Iloprost in Patients with Buerger’s Disease: Claudication and Prevention of Major Amputations. Iran. Red Crescent Med. J. 2011, 13, 420–423. [Google Scholar] [PubMed]
- Sun, X.L.; Law, B.Y.; de Seabra Rodrigues Dias, I.R.; Mok, S.W.F.; He, Y.Z.; Wong, V.K. Pathogenesis of thromboangiitis obliterans: Gene polymorphism and immunoregulation of human vascular endothelial cells. Atherosclerosis 2017, 265, 258–265. [Google Scholar] [CrossRef]
- Rivera-Chavarría, I.J.; Brenes-Gutiérrez, J.D. Thromboangiitis obliterans (Buerger’s disease). Ann. Med. Surg. 2016, 7, 79–82. [Google Scholar] [CrossRef]
- D’Alessio, I.; Settembrini, A.M.; Romagnoli, S.; Di Luca, G.; Domanin, M.; Gabrielli, L. Successful Fat Grafting in a Patient with Thromboangiitis Obliterans. Adv. Skin. Wound Care 2019, 32, 1–4. [Google Scholar] [CrossRef]
- Mishra, S.S.; Mishra, T.S.; Mitra, S.; Kumar, P. Intestinal thromboangiitis obliterans: A case report. J. Med. Case Rep. 2021, 15, 215. [Google Scholar] [CrossRef] [PubMed]
- Idei, N.; Soga, J.; Hata, T.; Fujii, Y.; Fujimura, N.; Mikami, S.; Maruhashi, T.; Nishioka, K.; Hidaka, T.; Kihara, Y.; et al. Autologous bone-marrow mononuclear cell implantation reduces long-term major amputation risk in patients with critical limb ischemia: A comparison of atherosclerotic peripheral arterial disease and Buerger disease. Circ. Cardiovasc. Interv. 2011, 4, 15–25. [Google Scholar] [CrossRef]
- Modaghegh, M.S.; Hafezi, S. Endovascular Treatment of Thromboangiitis Obliterans (Buerger’s Disease). Vasc. Endovasc. Surg. 2018, 52, 124–130. [Google Scholar] [CrossRef] [PubMed]
- Soliman, M.; Mowafy, K.; Elsaadany, N.A.; Soliman, R.; Elmetwally, A. Thromboangiitis obliterans: Aggressive angioplasty provides a potential solution (randomized pilot study). SAGE Open Med. 2020, 8, 2050312120927636. [Google Scholar] [CrossRef]
- Iwaguro, H.; Yamaguchi, J.; Kalka, C.; Murasawa, S.; Masuda, H.; Hayashi, S.; Silver, M.; Li, T.; Isner, J.M.; Asahara, T. Endothelial progenitor cell vascular endothelial growth factor gene transfer for vascular regeneration. Circulation 2002, 105, 732–738. [Google Scholar] [CrossRef]
- Tateishi-Yuyama, E.; Matsubara, H.; Murohara, T.; Ikeda, U.; Shintani, S.; Masaki, H.; Amano, K.; Kishimoto, Y.; Yoshimoto, K.; Akashi, H.; et al. Therapeutic Angiogenesis using Cell Transplantation (TACT) Study Investigators. Therapeutic angiogenesis for patients with limb ischaemia by autologous transplantation of bone-marrow cells: A pilot study and a randomised controlled trial. Lancet 2002, 360, 427–435. [Google Scholar] [CrossRef]
- Siminiak, T.; Czepczynski, R.; Grygielska, B.; Fiszer, D.; Jerzykowska, O.; Kalmucki, P.; Sowinski, J.; Kurpisz, M. Evidence for extravasation of intracoronary administered bone-marrow derived CD34+ stem cells in patients with acute myocardial infarction. Circulation 2004, 110, III–51. [Google Scholar]
- Shyu, K.G.; Chang, H.; Wang, B.W.; Kuan, P. Intramuscular vascular endothelial growth factor gene therapy in patients with chronic critical leg ischemia. Am. J. Med. 2003, 114, 85–92. [Google Scholar] [CrossRef] [PubMed]
- Kusumanto, Y.H.; van Weel, V.; Mulder, N.H.; Smit, A.J.; van den Dungen, J.J.; Hooymans, J.M.; Sluiter, W.J.; Tio, R.A.; Quax, P.H.; Gans, R.O.; et al. Treatment with intramuscular vascular endothelial growth factor gene compared with placebo for patients with diabetes mellitus and critical limb ischemia: A double-blind randomized trial. Hum. Gene Ther. 2006, 17, 683–691. [Google Scholar] [CrossRef] [PubMed]
- Hedman, M.; Hartikainen, J.; Syvänne, M.; Stjernvall, J.; Hedman, A.; Kivelä, A.; Vanninen, E.; Mussalo, H.; Kauppila, E.; Simula, S.; et al. Safety and feasibility of catheter-based local intracoronary vascular endothelial growth factor gene transfer in the prevention of postangioplasty and in-stent restenosis and in the treatment of chronic myocardial ischemia: Phase II results of the Kuopio Angiogenesis Trial (KAT). Circulation 2003, 107, 2677–2683. [Google Scholar] [CrossRef] [PubMed]
- Isner, J.M.; Pieczek, A.; Schainfeld, R.; Blair, R.; Haley, L.; Asahara, T.; Rosenfield, K.; Razvi, S.; Walsh, K.; Symes, J.F. Clinical evidence of angiogenesis after arterial gene transfer of phVEGF165 in patient with ischaemic limb. Lancet 1996, 348, 370–374. [Google Scholar] [CrossRef] [PubMed]
- Isner, J.M. Arterial gene transfer of naked DNA for therapeutic angiogenesis: Early clinical results. Adv. Drug Deliv. Rev. 1998, 30, 185–197. [Google Scholar] [CrossRef] [PubMed]
- Miyamoto, K.; Nishigami, K.; Nagaya, N.; Akutsu, K.; Chiku, M.; Kamei, M.; Soma, T.; Miyata, S.; Higashi, M.; Tanaka, R.; et al. Unblinded pilot study of autologous transplantation of bone marrow mononuclear cells in patients with thromboangiitis obliterans. Circulation 2006, 114, 2679–2684. [Google Scholar] [CrossRef] [PubMed]
- Isner, J.M.; Baumgartner, I.; Rauh, G.; Schainfeld, R.; Blair, R.; Manor, O.; Razvi, S.; Symes, J.F. Treatment of thromboangiitis obliterans (Buerger’s disease) by intramuscular gene transfer of vascular endothelial growth factor: Preliminary clinical results. J. Vasc. Surg. 1998, 28, 964–973; discussion 73-5. [Google Scholar] [CrossRef] [PubMed]
- Pitchford, S.C.; Furze, R.C.; Jones, C.P.; Wengner, A.M.; Rankin, S.M. Differential mobilization of subsets of progenitor cells from the bone marrow. Cell Stem Cell 2009, 4, 62–72. [Google Scholar] [CrossRef]
- Ferrara, N.; Gerber, H.P.; LeCouter, J. The biology of VEGF and its receptors. Nat. Med. 2003, 9, 669–676. [Google Scholar] [CrossRef]
- Hewing, B.; Stangl, V.; Stangl, K.; Enke-Melzer, K.; Baumann, G.; Ludwig, A. Circulating angiogenic factors in patients with thromboangiitis obliterans. PLoS ONE 2012, 7, e34717. [Google Scholar] [CrossRef]
- Skóra, J.; Sadakierska-Chudy, A.; Pupka, A.; Bieguss, J.; Barć, P.; Baczyńska, D.; Janczak, D.; Zacharska, S.; Ugorski, M.; Dobosz, T.; et al. Zastosowanie plazmidu VEGF165 w leczeniu krytycznego niedokrwienia kończyn dolnych [Application of VEGF165 plasmid in treatment of critical lower limb ischemia]. Pol. Merkur. Lek. 2006, 20, 655–659. (In Polish) [Google Scholar]
- Stewart, D.J.; Hilton, J.D.; Arnold, J.M.; Gregoire, J.; Rivard, A.; Archer, S.L.; Charbonneau, F.; Cohen, E.; Curtis, M.; Buller, C.E.; et al. Angiogenic gene therapy in patients with nonrevascularizable ischemic heart disease: A phase 2 randomized, controlled trial of AdVEGF(121) (AdVEGF121) versus maximum medical treatment. Gene Ther. 2006, 13, 1503–1511. [Google Scholar] [CrossRef]
- Kalka, C.; Masuda, H.; Takahashi, T.; Kalka-Moll, W.M.; Silver, M.; Kearney, M.; Li, T.; Isner, J.M.; Asahara, T. Transplantation of ex vivo expanded endothelial progenitor cells for therapeutic neovascularization. Proc. Natl. Acad. Sci. USA 2000, 97, 3422–3427. [Google Scholar] [CrossRef] [PubMed]
- Yamamoto, K.; Kondo, T.; Suzuki, S.; Izawa, H.; Kobayashi, M.; Emi, N.; Komori, K.; Naoe, T.; Takamatsu, J.; Murohara, T. Molecular evaluation of endothelial progenitor cells in patients with ischemic limbs: Therapeutic effect by stem cell transplantation. Arterioscler. Thromb. Vasc. Biol. 2004, 24, e192–e196. [Google Scholar] [CrossRef] [PubMed][Green Version]
- Sadakierska-Chudy, A.; Skóra, J.; Barć, P.; Baczyńska, D.; Kasprzykowska, U.; Pupka, A.; Ussowicz, M.; Szyber, P.; Dobosz, T. Angiogenic therapy for critical lower limb ischemia. Adv. Clin. Exp. Med. 2010, 19, 347–359. [Google Scholar]
- Rosengart, T.K.; Bishawi, M.M.; Halbreiner, M.S.; Fakhoury, M.; Finnin, E.; Hollmann, C.; Shroyer, A.L.; Crystal, R.G. Long-term follow-up assessment of a phase 1 trial of angiogenic gene therapy using direct intramyocardial administration of an adenoviral vector expressing the VEGF121 cDNA for the treatment of diffuse coronary artery disease. Hum. Gene Ther. 2013, 24, 203–208. [Google Scholar] [CrossRef]
- Choksy, S.; Pockley, A.G.; Wajeh, Y.E.; Chan, P. VEGF and VEGF receptor expression in human chronic critical limb ischaemia. Eur. J. Vasc. Endovasc. Surg. 2004, 28, 660–669. [Google Scholar] [CrossRef] [PubMed][Green Version]
- Rutherford, R.B.; Becker, G.J. Standards for evaluating and reporting the results of surgical and percutaneous therapy for peripheral arterial disease. Radiology 1991, 181, 277–281. [Google Scholar] [CrossRef]


| Group | Sex | Age | ABI | ABI after 12 Weeks | TcPO2 [mmHg] | TcPO2 after 12 Weeks [mmHg] | VAS | VAS after 12 Weeks | Ulceration |
|---|---|---|---|---|---|---|---|---|---|
| A | M | 35 | 0.35 | 0.6 | 44 | 60 | 5 | 0 | 1 |
| A | M | 50 | 0.62 | 0.65 | 44 | 67 | 6 | 0 | 2 |
| A | M | 44 | 0.46 | 0.55 | 34 | 43 | 5 | 1 | 0 |
| A | M | 33 | 0.52 | 0.65 | 34 | 51 | 7 | 0 | 2 |
| A | M | 40 | 0.4 | x | 30 | x | 7 | x | Amp. |
| A | M | 45 | 0.37 | 0.8 | 33 | 59 | 4 | 0 | 2 |
| A | M | 50 | 0.5 | 0.6 | 45 | 50 | 9 | 3 | 0 |
| B | K | 46 | 0.42 | 0.51 | 32 | 45 | 6 | 2 | 1 |
| B | M | 57 | 0.25 | x | 24 | x | 7 | x | Amp. |
| B | M | 46 | 0.45 | 0.49 | 40 | 59 | 6 | 1 | 2 |
| B | M | 49 | 0.7 | 0.7 | 43 | 48 | 5 | 6 | 1 |
| B | M | 56 | 0.46 | 0.57 | 35 | 50 | 6 | 1 | 1 |
| B | M | 41 | 0.35 | 0.38 | 26 | 36 | 7 | 3 | 0 |
| B | M | 38 | 0.45 | 0.55 | 35 | 48 | 7 | 1 | 1 |
| C | M | 41 | 0.58 | 0.62 | 29 | 34 | 6 | 7 | 0 |
| C | M | 31 | 0.32 | 0.35 | 25 | 40 | 8 | 3 | 0 |
| C | M | 59 | 0.37 | x | 25 | x | 5 | x | Amp. |
| C | M | 39 | 0.59 | 0.61 | 52 | 55 | 9 | 2 | 0 |
| C | M | 55 | 0.4 | 0.46 | 37 | 42 | 8 | 3 | 1 |
| C | K | 36 | 0.28 | x | 26 | x | 5 | x | Amp. |
| C | M | 36 | 0.38 | 0.5 | 28 | 41 | 9 | 4 | 0 |
| Average Value in Group A | Average Value in Group C | SD in Group A | SD in Group C | p | |
|---|---|---|---|---|---|
| ABI after 12 weeks | 0.64167 | 0.50800 | 0.086120 | 0.112116 | 0.051801 |
| TcPO2 after 12 weeks [mmHg] | 55.00000 | 42.40000 | 8.602325 | 7.700649 | 0.032060 |
| VAS after 12 weeks | 0.66667 | 3.80000 | 1.211060 | 1.923538 | 0.009235 |
| Average Value in Group B | Average Value in Group C | SD in Group B | SD in Group C | p | |
|---|---|---|---|---|---|
| ABI after 12 weeks | 0.53333 | 0.50800 | 0.105198 | 0.112116 | 0.708316 |
| TcPO2 after 12 weeks [mmHg] | 47.66667 | 42.40000 | 7.447595 | 7.700649 | 0.279663 |
| VAS after 12 weeks | 2.33333 | 3.80000 | 1.966384 | 1.923538 | 0.245016 |
Disclaimer/Publisher’s Note: The statements, opinions and data contained in all publications are solely those of the individual author(s) and contributor(s) and not of MDPI and/or the editor(s). MDPI and/or the editor(s) disclaim responsibility for any injury to people or property resulting from any ideas, methods, instructions or products referred to in the content. |
© 2024 by the authors. Licensee MDPI, Basel, Switzerland. This article is an open access article distributed under the terms and conditions of the Creative Commons Attribution (CC BY) license (https://creativecommons.org/licenses/by/4.0/).
Share and Cite
Barć, P.; Lubieniecki, P.; Antkiewicz, M.; Kupczyńska, D.; Barć, J.; Frączkowska-Sioma, K.; Dawiskiba, T.; Dorobisz, T.; Sekula, W.; Czuwara, B.; et al. Gene Therapy of Thromboangiitis Obliterans with Growth Factor Plasmid (VEGF165) and Autologous Bone Marrow Cells. Biomedicines 2024, 12, 1506. https://doi.org/10.3390/biomedicines12071506
Barć P, Lubieniecki P, Antkiewicz M, Kupczyńska D, Barć J, Frączkowska-Sioma K, Dawiskiba T, Dorobisz T, Sekula W, Czuwara B, et al. Gene Therapy of Thromboangiitis Obliterans with Growth Factor Plasmid (VEGF165) and Autologous Bone Marrow Cells. Biomedicines. 2024; 12(7):1506. https://doi.org/10.3390/biomedicines12071506
Chicago/Turabian StyleBarć, Piotr, Paweł Lubieniecki, Maciej Antkiewicz, Diana Kupczyńska, Jan Barć, Katarzyna Frączkowska-Sioma, Tomasz Dawiskiba, Tadeusz Dorobisz, Wojciech Sekula, Błażej Czuwara, and et al. 2024. "Gene Therapy of Thromboangiitis Obliterans with Growth Factor Plasmid (VEGF165) and Autologous Bone Marrow Cells" Biomedicines 12, no. 7: 1506. https://doi.org/10.3390/biomedicines12071506
APA StyleBarć, P., Lubieniecki, P., Antkiewicz, M., Kupczyńska, D., Barć, J., Frączkowska-Sioma, K., Dawiskiba, T., Dorobisz, T., Sekula, W., Czuwara, B., Małodobra-Mazur, M., Baczyńska, D., Witkiewicz, W., Skóra, J. P., & Janczak, D. (2024). Gene Therapy of Thromboangiitis Obliterans with Growth Factor Plasmid (VEGF165) and Autologous Bone Marrow Cells. Biomedicines, 12(7), 1506. https://doi.org/10.3390/biomedicines12071506

