Restoration of T and B Cell Differentiation after RAG1 Gene Transfer in Human RAG1 Defective Hematopoietic Stem Cells
Abstract
1. Introduction
2. Materials and Methods
2.1. Human Samples
2.2. Transduction and Cell Culture
2.3. Vector Copy Number (VCN) and RAG1 Transgene Expression
2.4. Human Primer and Probe Sequences
2.4.1. Sequence for the Droplet Digital PCR
2.4.2. Sequence for RT-Quantitative PCR
2.5. Adoptive Transfer into NSG Mice
2.6. Flow Cytometry Analysis
2.7. Serum Analysis
2.8. Analysis of Vector Integration Sites
2.9. TCR Repertoire Sequencing and Analysis
2.10. Statistical Analysis
3. Results
3.1. Transduction of HD CD34+ with the RAG1 Lentiviral Batch
3.2. Transduction and Follow-Up of RAG1 Deficient Bone Marrow Sample In Vitro
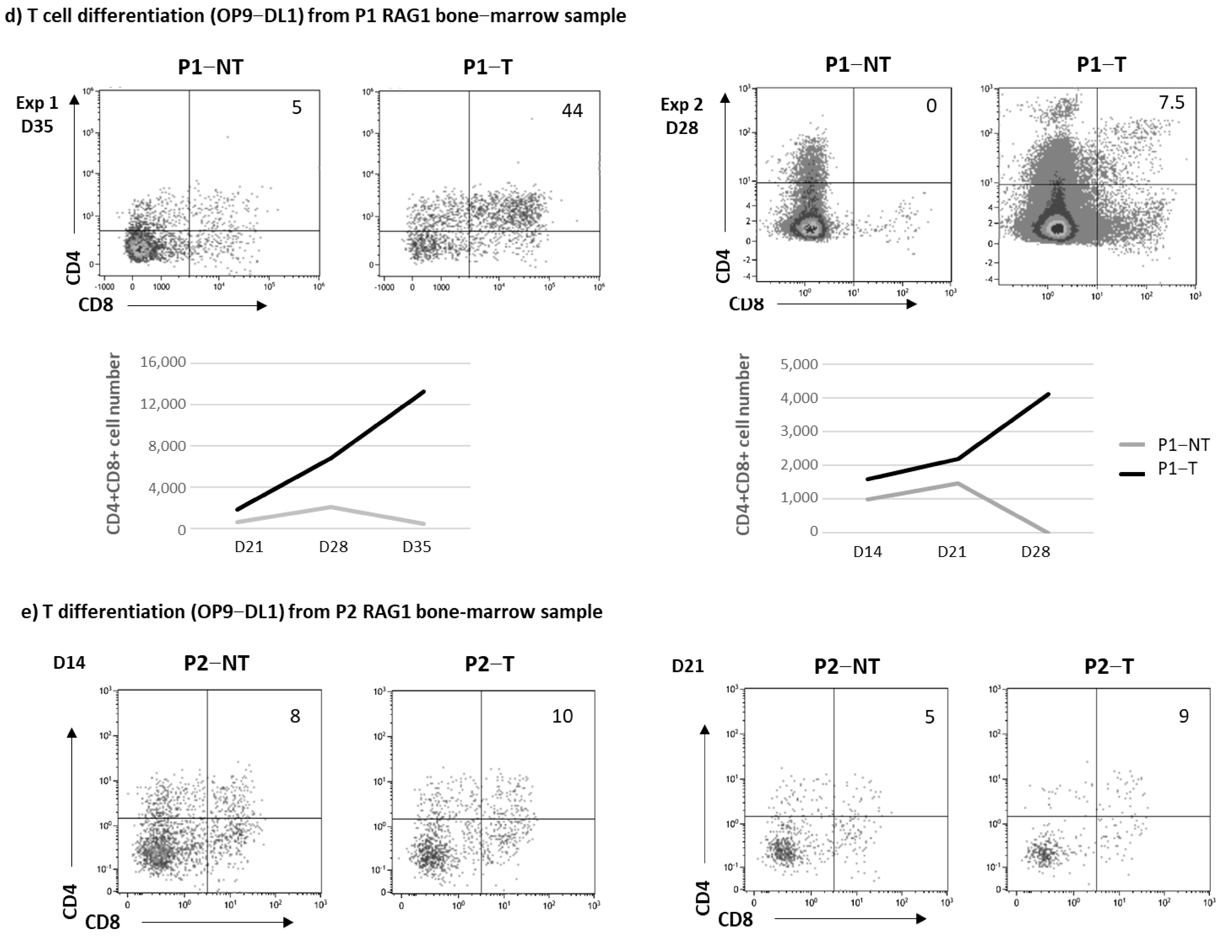
3.3. In Vivo Follow-Up of RAG1 Transduced Cells from RAG1 Deficient Patients
3.4. Integration Site Analysis for P1 and P2 Samples
3.5. Optimization of RAG1 Gene Transfer Strategy
4. Discussion
Supplementary Materials
Author Contributions
Funding
Institutional Review Board Statement
Informed Consent Statement
Data Availability Statement
Acknowledgments
Conflicts of Interest
References
- Braams, M.; Pike-Overzet, K.; Staal, F.J.T. The recombinase activating genes: Architects of immune diversity during lymphocyte development. Front. Immunol. 2023, 14, 1210818. [Google Scholar] [CrossRef] [PubMed]
- Buckley, R.H. Molecular defects in human severe combined immunodeficiency and approaches to immune reconstitution. Annu. Rev. Immunol. 2004, 22, 625–655. [Google Scholar] [CrossRef] [PubMed]
- Bosticardo, M.; Pala, F.; Notarangelo, L.D. RAG deficiencies: Recent advances in disease pathogenesis and novel therapeutic approaches. Eur. J. Immunol. 2021, 51, 1028–1038. [Google Scholar] [CrossRef] [PubMed]
- Kwan, A.; Abraham, R.S.; Currier, R.; Brower, A.; Andruszewski, K.; Abbott, J.K.; Baker, M.; Ballow, M.; Bartoshesky, L.E.; Bonagura, V.R.; et al. Newborn screening for severe combined immunodeficiency in 11 screening programs in the United States. JAMA 2014, 312, 729–738. [Google Scholar] [CrossRef] [PubMed]
- Delmonte, O.M.; Schuetz, C.; Notarangelo, L.D. RAG Deficiency: Two Genes, Many Diseases. J. Clin. Immunol. 2018, 38, 646–655. [Google Scholar] [CrossRef]
- Cifaldi, C.; Rivalta, B.; Amodio, D.; Mattia, A.; Pacillo, L.; Di Cesare, S.; Chiriaco, M.; Ursu, G.M.; Cotugno, N.; Giancotta, C.; et al. Clinical, Immunological, and Molecular Variability of RAG Deficiency: A Retrospective Analysis of 22 RAG Patients. J. Clin. Immunol. 2022, 42, 130–145. [Google Scholar] [CrossRef] [PubMed]
- Fischer, A.; Notarangelo, L.D.; Neven, B.; Cavazzana, M.; Puck, J.M. Severe combined immunodeficiencies and related disorders. Nat. Rev. Dis. Prim. 2015, 1, 15061. [Google Scholar] [CrossRef]
- Dvorak, C.C.; Hassan, A.; Slatter, M.A.; Hönig, M.; Lankester, A.C.; Buckley, R.H.; Pulsipher, M.A.; Davis, J.H.; Güngör, T.; Gabriel, M.; et al. Comparison of outcomes of hematopoietic stem cell transplantation without chemotherapy conditioning by using matched sibling and unrelated donors for treatment of severe combined immunodeficiency. J. Allergy Clin. Immunol. 2014, 134, 935–943. [Google Scholar] [CrossRef]
- Neven, B.; Leroy, S.; Decaluwe, H.; Le Deist, F.; Picard, C.; Moshous, D.; Mahlaoui, N.; Debré, M.; Casanova, J.-L.; Cortivo, L.D.; et al. Long-term outcome after hematopoietic stem cell transplantation of a single-center cohort of 90 patients with severe combined immunodeficiency. Blood 2009, 113, 4114–4124. [Google Scholar] [CrossRef]
- Buckley, R.H. Transplantation of hematopoietic stem cells in human severe combined immunodeficiency: Longterm outcomes. Immunol. Res. 2010, 49, 25–43. [Google Scholar] [CrossRef]
- Lankester, A.C.; Neven, B.; Mahlaoui, N.; von Asmuth, E.G.; Courteille, V.; Alligon, M.; Albert, M.H.; Serra, I.B.; Bader, P.; Balashov, D.; et al. Hematopoietic cell transplantation in severe combined immunodeficiency: The SCETIDE 2006-2014 European cohort. J. Allergy Clin. Immunol. 2022, 149, 1744–1754.e8. [Google Scholar] [CrossRef] [PubMed]
- Fischer, A.; Hacein-Bey-Abina, S. Gene therapy for severe combined immunodeficiencies and beyond. J. Exp. Med. 2020, 217, e20190607. [Google Scholar] [CrossRef]
- Ferrari, G.; Thrasher, A.J.; Aiuti, A. Gene therapy using haematopoietic stem and progenitor cells. Nat. Rev. Genet. 2020, 22, 216–234. [Google Scholar] [CrossRef] [PubMed]
- de Bruin, L.M.O.; Lankester, A.C.; Staal, F.J. Advances in gene therapy for inborn errors of immunity. Curr. Opin. Allergy Clin. Immunol. 2023, 23, 467–477. [Google Scholar] [CrossRef]
- Lagresle-Peyrou, C.; Yates, F.; Malassis-Séris, M.; Hue, C.; Morillon, E.; Garrigue, A.; Liu, A.; Hajdari, P.; Stockholm, D.; Danos, O.; et al. Long-term immune reconstitution in RAG-1-deficient mice treated by retroviral gene therapy: A balance between efficiency and toxicity. Blood 2005, 107, 63–72. [Google Scholar] [CrossRef] [PubMed][Green Version]
- Lagresle-Peyrou, C.; Benjelloun, F.; Hue, C.; Andre-Schmutz, I.; Bonhomme, D.; Forveille, M.; Beldjord, K.; Hacein-Bey-Abina, S.; De Villartay, J.; Charneau, P.; et al. Restoration of Human B-cell Differentiation Into NOD-SCID Mice Engrafted With Gene-corrected CD34+ Cells Isolated From Artemis or RAG1-deficient Patients. Mol. Ther. 2008, 16, 396–403. [Google Scholar] [CrossRef] [PubMed]
- Pike-Overzet, K.; Rodijk, M.; Ng, Y.-Y.; Baert, M.R.M.; Lagresle-Peyrou, C.; Schambach, A.; Zhang, F.; Hoeben, R.C.; Hacein-Bey-Abina, S.; Lankester, A.C.; et al. Correction of murine Rag1 deficiency by self-inactivating lentiviral vector-mediated gene transfer. Leukemia 2011, 25, 1471–1483. [Google Scholar] [CrossRef]
- Pike-Overzet, K.; Baum, C.; Bredius, R.G.; Cavazzana, M.; Driessen, G.-J.; Fibbe, W.E.; Gaspar, H.B.; Hoeben, R.C.; Lagresle-Peyrou, C.; Lankester, A.; et al. Successful RAG1-SCID gene therapy depends on the level of RAG1 expression. J. Allergy Clin. Immunol. 2014, 134, 242–243. [Google Scholar] [CrossRef]
- van Til, N.P.; Sarwari, R.; Visser, T.P.; Hauer, J.; Lagresle-Peyrou, C.; van der Velden, G.; Malshetty, V.; Cortes, P.; Jollet, A.; Danos, O.; et al. Recombination-activating gene 1 (Rag1)–deficient mice with severe combined immunodeficiency treated with lentiviral gene therapy demonstrate autoimmune Omenn-like syndrome. J. Allergy Clin. Immunol. 2014, 133, 1116–1123. [Google Scholar] [CrossRef]
- Garcia-Perez, L.; van Eggermond, M.; van Roon, L.; Vloemans, S.A.; Cordes, M.; Schambach, A.; Rothe, M.; Berghuis, D.; Lagresle-Peyrou, C.; Cavazzana, M.; et al. Successful preclinical development of gene therapy for recombinase-activating gene-1-deficient SCID. Mol. Ther. Methods Clin. Dev. 2020, 17, 666–682. [Google Scholar] [CrossRef]
- Lagresle-Peyrou, C.; Six, E.M.; Picard, C.; Rieux-Laucat, F.; Michel, V.; Ditadi, A.; Chappedelaine, C.D.-D.; Morillon, E.; Valensi, F.; Simon-Stoos, K.L.; et al. Human adenylate kinase 2 deficiency causes a profound hematopoietic defect associated with sensorineural deafness. Nat. Genet. 2008, 41, 106–111. [Google Scholar] [CrossRef] [PubMed]
- Moirangthem, R.D.; Ma, K.; Lizot, S.; Cordesse, A.; Olivré, J.; de Chappedelaine, C.; Joshi, A.; Cieslak, A.; Tchen, J.; Cagnard, N.; et al. A DL-4-and TNFα-based culture system to generate high numbers of nonmodified or genetically modified immunotherapeutic human T-lymphoid progenitors. Cell. Mol. Immunol. 2021, 18, 1662–1676. [Google Scholar] [CrossRef] [PubMed]
- Schmidt, M.; Hoffmann, G.; Wissler, M.; Lemke, N.; Müßig, A.; Glimm, H.; Williams, D.A.; Ragg, S.; Hesemann, C.-U.; von Kalle, C. Detection and direct genomic sequencing of multiple rare unknown flanking DNA in highly complex samples. Hum. Gene Ther. 2001, 12, 743–749. [Google Scholar] [CrossRef] [PubMed]
- Afzal, S.; Wilkening, S.; von Kalle, C.; Schmidt, M.; Fronza, R. GENE-IS: Time-Efficient and Accurate Analysis of Viral Integration Events in Large-Scale Gene Therapy Data. Mol. Ther. Nucleic Acids 2017, 6, 133–139. [Google Scholar] [CrossRef] [PubMed]
- Sondka, Z.; Bamford, S.; Cole, C.G.; Ward, S.A.; Dunham, I.; Forbes, S.A. The COSMIC Cancer Gene Census: Describing genetic dysfunction across all human cancers. Nat. Rev. Cancer 2018, 18, 696–705. [Google Scholar] [CrossRef] [PubMed]
- Fronza, R.; Vasciaveo, A.; Benso, A.; Schmidt, M. A Graph Based Framework to Model Virus Integration Sites. Comput. Struct. Biotechnol. J. 2015, 14, 69–77. [Google Scholar] [CrossRef] [PubMed]
- Shen, H.; Suzuki, T.; Munroe, D.J.; Stewart, C.; Rasmussen, L.; Gilbert, D.J.; Jenkins, N.A.; Copeland, N.G. Common Sites of Retroviral Integration in Mouse Hematopoietic Tumors Identified by High-Throughput, Single Nucleotide Polymorphism-Based Mapping and Bacterial Artificial Chromosome Hybridization. J. Virol. 2003, 77, 1584–1588. [Google Scholar] [CrossRef] [PubMed]
- Abel, U.; Deichmann, A.; Nowrouzi, A.; Gabriel, R.; Bartholomae, C.C.; Glimm, H.; von Kalle, C.; Schmidt, M. Analyzing the number of common integration sites of viral vectors—New methods and computer programs. PLoS ONE 2011, 6, e24247. [Google Scholar] [CrossRef] [PubMed]
- de Jong, J.; de Ridder, J.; van der Weyden, L.; Sun, N.; van Uitert, M.; Berns, A.; van Lohuizen, M.; Jonkers, J.; Adams, D.J.; Wessels, L.F. Computational identification of insertional mutagenesis targets for cancer gene discovery. Nucleic. Acids Res. 2011, 39, e105. [Google Scholar] [CrossRef] [PubMed][Green Version]
- Mamedov, I.Z.; Britanova, O.V.; Zvyagin, I.V.; Turchaninova, M.A.; Bolotin, D.A.; Putintseva, E.V.; Lebedev, Y.B.; Chudakov, D.M. Preparing unbiased T-cell receptor and antibody cDNA libraries for the deep next generation sequencing profiling. Front. Immunol. 2012, 4, 456. [Google Scholar] [CrossRef]
- Bolotin, D.A.; Poslavsky, S.; Mitrophanov, I.; Shugay, M.; Mamedov, I.Z.; Putintseva, E.V.; Chudakov, D.M. MiXCR: Software for comprehensive adaptive immunity profiling. Nat. Methods 2015, 12, 380–381. [Google Scholar] [CrossRef] [PubMed]
- Shugay, M.; Bagaev, D.V.; Turchaninova, M.A.; Bolotin, D.A.; Britanova, O.V.; Putintseva, E.V.; Pogorelyy, M.V.; Nazarov, V.I.; Zvyagin, I.V.; Kirgizova, V.I.; et al. VDJtools: Unifying Post-analysis of T Cell Receptor Repertoires. PLoS Comput. Biol. 2015, 11, e1004503. [Google Scholar] [CrossRef]
- Tucci, F.; Galimberti, S.; Naldini, L.; Valsecchi, M.G.; Aiuti, A. A systematic review and meta-analysis of gene therapy with hematopoietic stem and progenitor cells for monogenic disorders. Nat. Commun. 2022, 13, 1315. [Google Scholar] [CrossRef]
- Jang, Y.; Kim, Y.-S.; Wielgosz, M.M.; Ferrara, F.; Ma, Z.; Condori, J.; Palmer, L.E.; Zhao, X.; Kang, G.; Rawlings, D.J.; et al. Optimizing lentiviral vector transduction of hematopoietic stem cells for gene therapy. Gene Ther. 2020, 27, 545–556. [Google Scholar] [CrossRef]
- Masiuk, K.E.; Zhang, R.; Osborne, K.; Hollis, R.P.; Campo-Fernandez, B.; Kohn, D.B. PGE2 and poloxamer synperonic F108 enhance transduction of human HSPCs with a β-globin lentiviral vector. Mol. Ther. Methods Clin. Dev. 2019, 13, 390–398. [Google Scholar] [CrossRef]
- Wu, X.; Burgess, S.M. Integration target site selection for retroviruses and transposable elements. Cell. Mol. Life Sci. 2004, 61, 2588–2596. [Google Scholar] [CrossRef]
- Demeulemeester, J.; De Rijck, J.; Gijsbers, R.; Debyser, Z. Retroviral integration: Site matters: Mechanisms and consequences of retroviral integration site selection. BioEssays 2015, 37, 1202–1214. [Google Scholar] [CrossRef]
- Cattoglio, C.; Facchini, G.; Sartori, D.; Antonelli, A.; Miccio, A.; Cassani, B.; Schmidt, M.; Von Kalle, C.; Howe, S.; Thrasher, A.J.; et al. Hot spots of retroviral integration in human CD34+ hematopoietic cells. Blood 2007, 110, 1770–1778. [Google Scholar] [CrossRef]
- Brecht, R.M.; Liu, C.C.; Beilinson, H.A.; Khitun, A.; Slavoff, S.A.; Schatz, D.G. Nucleolar localization of RAG1 modulates V(D)J recombination activity. Proc. Natl. Acad. Sci. USA 2020, 117, 4300–4309. [Google Scholar] [CrossRef]
- Beilinson, H.A.; Glynn, R.A.; Yadavalli, A.D.; Xiao, J.; Corbett, E.; Saribasak, H.; Arya, R.; Miot, C.; Bhattacharyya, A.; Jones, J.M.; et al. The RAG1 N-terminal region regulates the efficiency and pathways of synapsis for V(D)J recombination. J. Exp. Med. 2021, 218, e20210250. [Google Scholar] [CrossRef]
- Lee, Y.N.; Frugoni, F.; Dobbs, K.; Walter, J.E.; Giliani, S.; Gennery, A.R.; Al-Herz, W.; Haddad, E.; LeDeist, F.; Bleesing, J.H.; et al. A systematic analysis of recombination activity and genotype-phenotype correlation in human recombination-activating gene 1 deficiency. J. Allergy Clin. Immunol. 2013, 133, 1099–1108.e12. [Google Scholar] [CrossRef]
- Corneo, B.; Moshous, D.; Gungor, T.; Wulffraat, N.; Philippet, P.; Le Deist, F.; Fischer, A.; de Villartay, J.-P. Identical mutations in RAG1 or RAG2 genes leading to defective V(D)J recombinase activity can cause either T-B–severe combined immune deficiency or Omenn syndrome. Blood 2001, 97, 2772–2776. [Google Scholar] [CrossRef]
- Csomos, K.; Ujhazi, B.; Blazso, P.; Herrera, J.L.; Tipton, C.M.; Kawai, T.; Gordon, S.; Ellison, M.; Wu, K.; Stowell, M.; et al. Partial RAG deficiency in humans induces dysregulated peripheral lymphocyte development and humoral tolerance defect with accumulation of T-bet+ B cells. Nat. Immunol. 2022, 23, 1256–1272. [Google Scholar] [CrossRef]
- Villa, A.; Notarangelo, L.D. RAG gene defects at the verge of immunodeficiency and immune dysregulation. Immunol. Rev. 2019, 287, 73–90. [Google Scholar] [CrossRef]
- Abina, S.H.-B.; Gaspar, H.B.; Blondeau, J.; Caccavelli, L.; Charrier, S.; Buckland, K.; Picard, C.; Six, E.; Himoudi, N.; Gilmour, K.; et al. Outcomes following gene therapy in patients with severe wiskott-aldrich syndrome. JAMA 2015, 313, 1550–1563. [Google Scholar] [CrossRef]
- Mamcarz, E.; Zhou, S.; Lockey, T.; Abdelsamed, H.; Cross, S.J.; Kang, G.; Ma, Z.; Condori, J.; Dowdy, J.; Triplett, B.; et al. Lentiviral Gene Therapy Combined with Low-Dose Busulfan in Infants with SCID-X1. N. Engl. J. Med. 2019, 380, 1525–1534. [Google Scholar] [CrossRef]
- Magnani, A.; Semeraro, M.; Adam, F.; Booth, C.; Dupré, L.; Morris, E.C.; Gabrion, A.; Roudaut, C.; Borgel, D.; Toubert, A.; et al. Long-term safety and efficacy of lentiviral hematopoietic stem/progenitor cell gene therapy for Wiskott–Aldrich syndrome. Nat. Med. 2022, 28, 71–80. [Google Scholar] [CrossRef]













| RAG1 Protein | |
|---|---|
| P1 | p.Glu174Serfs × 27 |
| P2 | p.Thr708Ala/p.Glu669Lys |
| P3 | p.Arg474His/p.Arg559Ser |
| P4 | p.Glu174Serfs × 27 |
| P5 | p.Gly957Val |
| Cells Injected/ Mouse | Bone-Marrow Chimerism (%) | Bone-Marrow CD19+IgM+ Number | Spleen Chimerism (%) | Spleen CD19+IgM+D+ Number | Serum Igs (ng/mL) | Thymus Chimerism (%) | |
|---|---|---|---|---|---|---|---|
| P1-NT | 85,000 | 86 | 68,000 | 38 | 0 | 24 | 75 |
| P1-T | 185,000 | 75 | 173,600 | 13 | 73,758 | 690 | 4 |
| P2-NT | 260,000 | 10.3 | 24,119 | 0.6 | 154 | 69 | 51.6 |
| P2-T4 | 693,000 | 9.5 | 3736 | 2.8 | 2480 | 190 | 29.5 |
| P2-T6 | 693,000 | 11.5 | 19,916 | 2.2 | 538 | 81 | NE |
| P2-T7 | 693,000 | 23 | 57,553 | 2.4 | 434 | 85 | 25 |
| Sample | Rank | Clonotype Frequency [%] | Recombination | Sample | Rank | Clonotype Frequency [%] | Recombination | ||||
|---|---|---|---|---|---|---|---|---|---|---|---|
| NT spleen replicate 1 | Top 1 | 32.00 | TRBV29-1 | N/A | TRBJ2-4 | T spleen replicate 1 | Top 1 | 4.98 | TRBV21-1 | TRBD1 | TRBJ1-2 |
| Top 2 | 20.00 | TRBV27 | N/A | TRBJ2-1 | Top 2 | 2.99 | TRBV6-5 | TRBD1 | TRBJ2-2 | ||
| Top 3 | 12.00 | TRBV5-1 | TRBD1 | TRBJ1-6 | Top 3 | 2.99 | TRBV21-1 | N/A | TRBJ2-7 | ||
| Top 4 | 8.00 | TRBV7-2 | TRBD1 | TRBJ1-5 | Top 4 | 2.99 | TRBV29-1 | TRBD2 | TRBJ1-1 | ||
| Top 5 | 4.00 | TRBV5-1 | TRBD2 | TRBJ2-3 | Top 5 | 2.66 | TRBV27 | TRBD2 | TRBJ2-2 | ||
| Top 6 | 4.00 | TRBV5-1 | TRBD1 | TRBJ2-3 | Top 6 | 2.33 | TRBV29-1 | N/A | TRBJ2-7 | ||
| Top 7 | 4.00 | TRBV5-1 | N/A | TRBJ2-7 | Top 7 | 2.33 | TRBV18 | N/A | TRBJ2-1 | ||
| Top 8 | 4.00 | TRBV29-1 | N/A | TRBJ2-4 | Top 8 | 1.99 | TRBV29-1 | N/A | TRBJ2-3 | ||
| Top 9 | 4.00 | TRBV29-1 | TRBD1 | TRBJ2-7 | Top 9 | 1.66 | TRBV2 | TRBD1 | TRBJ2-1 | ||
| Top 10 | 4.00 | TRBV29-1 | TRBD1 | TRBJ1-6 | Top 10 | 1.66 | TRBV29-1 | N/A | TRBJ2-5 | ||
| Sample | Rank | Clonotype Frequency [%] | Recombination | Sample | Rank | Clonotype Frequency [%] | Recombination | ||||
| NT spleen replicate 2 | Top 1 | 14.58 | TRBV20-1 | TRBD2 | TRBJ2-1 | T replicate 2 | Top 1 | 6.61 | TRBV5-1 | TRBD2 | TRBJ1-1 |
| Top 2 | 14.58 | TRBV29-1 | TRBD1 | TRBJ1-2 | Top 2 | 4.31 | TRBV7-9 | N/A | TRBJ2-3 | ||
| Top 3 | 10.42 | TRBV20-1 | TRBD1 | TRBJ1-2 | Top 3 | 4.31 | TRBV7-2 | N/A | TRBJ2-3 | ||
| Top 4 | 10.42 | TRBV3-1 | N/A | TRBJ1-1 | Top 4 | 4.02 | TRBV7-9 | N/A | TRBJ2-7 | ||
| Top 5 | 6.25 | TRBV12-1 | TRBD2 | TRBJ2-4 | Top 5 | 3.45 | TRBV11-2 | TRBD2 | TRBJ2-7 | ||
| Top 6 | 6.25 | TRBV18 | TRBD1 | TRBJ1-5 | Top 6 | 3.45 | TRBV11-2 | TRBD1 | TRBJ2-2 | ||
| Top 7 | 6.25 | TRBV2 | TRBD1 | TRBJ2-7 | Top 7 | 3.45 | TRBV7-9 | TRBD1 | TRBJ2-7 | ||
| Top 8 | 2.08 | TRBV5-1 | TRBD2 | TRBJ2-7 | Top 8 | 3.16 | TRBV5-1 | TRBD1 | TRBJ2-6 | ||
| Top 9 | 2.08 | TRBV10-3 | TRBD2 | TRBJ2-5 | Top 9 | 3.16 | TRBV6-2 | TRBD2 | TRBJ2-1 | ||
| Top 10 | 2.08 | TRBV5-1 | TRBD2 | TRBJ2-1 | Top 10 | 3.16 | TRBV6-2 | TRBD1 | TRBJ2-7 | ||
| Sample | Rank | Clonotype Frequency [%] | Recombination | Sample | Rank | Clonotype Frequency [%] | Recombination | ||||
| NT spleen replicate 1 | Top 1 | 38.46 | TRAV12-1 | N/A | TRAJ35 | T spleen replicate 1 | Top 1 | 6.84 | TRAV21 | N/A | TRAJ27 |
| Top 2 | 23.08 | TRAV13-1 | N/A | TRAJ5 | Top 2 | 5.13 | TRAV2 | N/A | TRAJ31 | ||
| Top 3 | 23.08 | TRAV13-2 | N/A | TRAJ15 | Top 3 | 4.27 | TRAV12-1 | N/A | TRAJ23 | ||
| Top 4 | 7.69 | TRAV29DV5 | N/A | TRAJ45 | Top 4 | 4.27 | TRAV13-1 | N/A | TRAJ23 | ||
| Top 5 | 7.69 | TRAV13-1 | N/A | TRAJ41 | Top 5 | 4.27 | TRAV12-1 | N/A | TRAJ27 | ||
| Top 6 | N/A | N/A | N/A | N/A | Top 6 | 3.42 | TRAV38-2DV8 | TRDD3 | TRAJ32 | ||
| Top 7 | N/A | N/A | N/A | N/A | Top 7 | 2.56 | TRAV13-1 | N/A | TRAJ9 | ||
| Top 8 | N/A | N/A | N/A | N/A | Top 8 | 2.56 | TRAV13-1 | N/A | TRAJ6 | ||
| Top 9 | N/A | N/A | N/A | N/A | Top 9 | 2.56 | TRAV12-3 | N/A | TRAJ16 | ||
| Top 10 | N/A | N/A | N/A | N/A | Top 10 | 2.56 | TRAV8-4 | N/A | TRAJ23 | ||
| Sample | Rank | Clonotype Frequency [%] | Recombination | Sample | Rank | Clonotype Frequency [%] | Recombination | ||||
| NT spleen replicate 2 | Top 1 | 19.4 | TRAV14DV4 | N/A | TRAJ13 | T spleen replicate 2 | Top 1 | 4.64 | TRAV21 | N/A | TRAJ12 |
| Top 2 | 12.9 | TRAV13-1 | N/A | TRAJ4 | Top 2 | 3.31 | TRAV21 | N/A | TRAJ11 | ||
| Top 3 | 9.7 | TRAV41 | N/A | TRAJ29 | Top 3 | 3.31 | TRAV13-1 | N/A | TRAJ32 | ||
| Top 4 | 6.5 | TRAV9-2 | N/A | TRAJ9 | Top 4 | 2.65 | TRAV4 | N/A | TRAJ31 | ||
| Top 5 | 6.5 | TRAV20 | N/A | TRAJ57 | Top 5 | 2.65 | TRAV21 | N/A | TRAJ37 | ||
| Top 6 | 6.5 | TRAV21 | N/A | TRAJ36 | Top 6 | 2.32 | TRAV21 | N/A | TRAJ10 | ||
| Top 7 | 3.2 | TRAV38-1 | N/A | TRAJ58 | Top 7 | 2.32 | TRAV21 | N/A | TRAJ17 | ||
| Top 8 | 3.2 | TRAV38-2DV8 | N/A | TRAJ31 | Top 8 | 2.32 | TRAV20 | N/A | TRAJ8 | ||
| Top 9 | 3.2 | TRAV20 | N/A | TRAJ38 | Top 9 | 2.32 | TRAV21 | N/A | TRAJ33 | ||
| Top 10 | 3.2 | TRAV1-1 | TRDD2 | TRAJ26 | Top 10 | 1.99 | TRAV13-1 | TRDD3 | TRAJ44 | ||
Disclaimer/Publisher’s Note: The statements, opinions and data contained in all publications are solely those of the individual author(s) and contributor(s) and not of MDPI and/or the editor(s). MDPI and/or the editor(s) disclaim responsibility for any injury to people or property resulting from any ideas, methods, instructions or products referred to in the content. |
© 2024 by the authors. Licensee MDPI, Basel, Switzerland. This article is an open access article distributed under the terms and conditions of the Creative Commons Attribution (CC BY) license (https://creativecommons.org/licenses/by/4.0/).
Share and Cite
Sorel, N.; Díaz-Pascual, F.; Bessot, B.; Sadek, H.; Mollet, C.; Chouteau, M.; Zahn, M.; Gil-Farina, I.; Tajer, P.; van Eggermond, M.; et al. Restoration of T and B Cell Differentiation after RAG1 Gene Transfer in Human RAG1 Defective Hematopoietic Stem Cells. Biomedicines 2024, 12, 1495. https://doi.org/10.3390/biomedicines12071495
Sorel N, Díaz-Pascual F, Bessot B, Sadek H, Mollet C, Chouteau M, Zahn M, Gil-Farina I, Tajer P, van Eggermond M, et al. Restoration of T and B Cell Differentiation after RAG1 Gene Transfer in Human RAG1 Defective Hematopoietic Stem Cells. Biomedicines. 2024; 12(7):1495. https://doi.org/10.3390/biomedicines12071495
Chicago/Turabian StyleSorel, Nataël, Francisco Díaz-Pascual, Boris Bessot, Hanem Sadek, Chloé Mollet, Myriam Chouteau, Marco Zahn, Irene Gil-Farina, Parisa Tajer, Marja van Eggermond, and et al. 2024. "Restoration of T and B Cell Differentiation after RAG1 Gene Transfer in Human RAG1 Defective Hematopoietic Stem Cells" Biomedicines 12, no. 7: 1495. https://doi.org/10.3390/biomedicines12071495
APA StyleSorel, N., Díaz-Pascual, F., Bessot, B., Sadek, H., Mollet, C., Chouteau, M., Zahn, M., Gil-Farina, I., Tajer, P., van Eggermond, M., Berghuis, D., Lankester, A. C., André, I., Gabriel, R., Cavazzana, M., Pike-Overzet, K., Staal, F. J. T., & Lagresle-Peyrou, C. (2024). Restoration of T and B Cell Differentiation after RAG1 Gene Transfer in Human RAG1 Defective Hematopoietic Stem Cells. Biomedicines, 12(7), 1495. https://doi.org/10.3390/biomedicines12071495

