BRCA1, BRCA2 and PALB2 mRNA Expression as Prognostic Markers in Patients with Early Breast Cancer
Abstract
1. Introduction
2. Materials and Methods
2.1. Patient’s Characteristics
2.2. Gene-Expression Analyses
- BRCA_1_204531_s_at.
- BRCA_1_211851_x_at.
- BRCA_2_214727_at.
- BRCA_2_208368_s_at.
- PALB2 219530_at.
2.3. Statistical Analysis
2.4. Subgroup Analyses
- Luminal-A-like: ESR1-positive, HER2-negative, and low proliferation (AURKA-low).
- Luminal-B-like: ESR1-positive, HER2-negative, and high proliferation (AURKA-high).
- HER2-positive.
- Basal-like: ESR1 negative and HER2 negative.
3. Results
3.1. Patient and Tumor Characteristics
3.2. Treatment
3.3. Survival Analyses
3.3.1. Impact of BRCA1 mRNA Expression on Survival
3.3.2. Impact of BRCA2 mRNA Expression on Survival
3.3.3. Impact of PALB2 mRNA Expression on the Survival
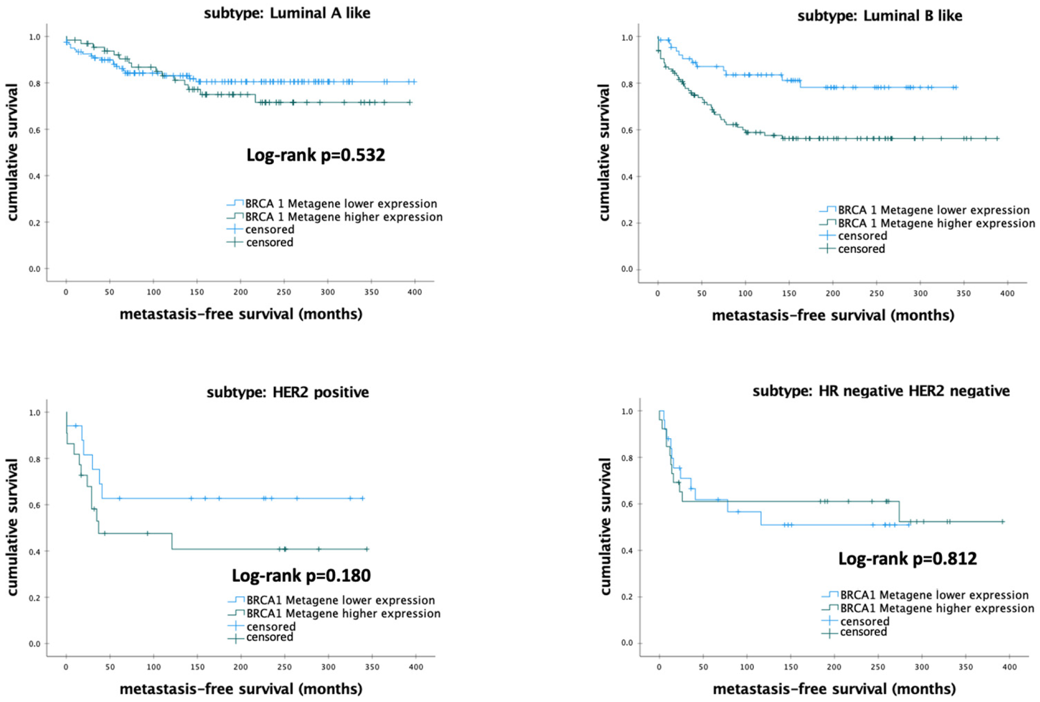
3.3.4. Impact of BCRA1 mRNA Expression on the Survival among Different Molecular Subtypes of Breast Cancer
3.3.5. Impact of BCRA2 mRNA Expression on the Survival among Different Molecular Subtypes of Breast Cancer
3.3.6. Impact of PALB2 mRNA Expression on the Survival among Different Molecular Subtypes of Breast Cancer
4. Discussion
5. Conclusions
Author Contributions
Funding
Institutional Review Board Statement
Informed Consent Statement
Data Availability Statement
Acknowledgments
Conflicts of Interest
References
- Siegel, R.L.; Miller, K.D.; Fuchs, H.E.; Jemal, A. Cancer Statistics, 2021. CA Cancer J. Clin. 2021, 71, 7–33. [Google Scholar] [CrossRef]
- Ellsworth, R.E.; Blackburn, H.L.; Shriver, C.D.; Soon-Shiong, P.; Ellsworth, D.L. Molecular heterogeneity in breast cancer: State of the science and implications for patient care. Semin. Cell Dev. Biol. 2017, 64, 65–72. [Google Scholar] [CrossRef]
- Guo, L.; Kong, D.; Liu, J.; Zhan, L.; Luo, L.; Zheng, W.; Zheng, Q.; Chen, C.; Sun, S. Breast cancer heterogeneity and its implication in personalized precision therapy. Exp. Hematol. Oncol. 2023, 12, 3. [Google Scholar] [CrossRef]
- Valentini, V.; Bucalo, A.; Conti, G.; Celli, L.; Porzio, V.; Capalbo, C.; Silvestri, V.; Ottini, L. Gender-Specific Genetic Predisposition to Breast Cancer: BRCA Genes and Beyond. Cancers 2024, 16, 579. [Google Scholar] [CrossRef]
- Foo, T.K.; Xia, B. BRCA1-Dependent and Independent Recruitment of PALB2-BRCA2-RAD51 in the DNA Damage Response and Cancer. Cancer Res. 2022, 82, 3191–3197. [Google Scholar] [CrossRef]
- Simhadri, S.; Vincelli, G.; Huo, Y.; Misenko, S.; Foo, T.K.; Ahlskog, J.; Sorensen, C.S.; Oakley, G.G.; Ganesan, S.; Bunting, S.F.; et al. PALB2 connects BRCA1 and BRCA2 in the G2/M checkpoint response. Oncogene 2019, 38, 1585–1596. [Google Scholar] [CrossRef]
- Robson, M.; Goessl, C.; Domchek, S. Olaparib for Metastatic Germline BRCA-Mutated Breast Cancer. N. Engl. J. Med. 2017, 377, 1792–1793. [Google Scholar] [CrossRef]
- Litton, J.K.; Rugo, H.S.; Ettl, J.; Hurvitz, S.A.; Goncalves, A.; Lee, K.H.; Fehrenbacher, L.; Yerushalmi, R.; Mina, L.A.; Martin, M.; et al. Talazoparib in Patients with Advanced Breast Cancer and a Germline BRCA Mutation. N. Engl. J. Med. 2018, 379, 753–763. [Google Scholar] [CrossRef]
- Tutt, A.N.J.; Garber, J.E.; Kaufman, B.; Viale, G.; Fumagalli, D.; Rastogi, P.; Gelber, R.D.; de Azambuja, E.; Fielding, A.; Balmana, J.; et al. Adjuvant Olaparib for Patients with BRCA1- or BRCA2-Mutated Breast Cancer. N. Engl. J. Med. 2021, 384, 2394–2405. [Google Scholar] [CrossRef]
- Kennedy, R.D.; Quinn, J.E.; Mullan, P.B.; Johnston, P.G.; Harkin, D.P. The role of BRCA1 in the cellular response to chemotherapy. J. Natl. Cancer Inst. 2004, 96, 1659–1668. [Google Scholar] [CrossRef]
- Kurebayashi, J.; Yamamoto, Y.; Kurosumi, M.; Okubo, S.; Nomura, T.; Tanaka, K.; Sonoo, H. Loss of BRCA1 expression may predict shorter time-to-progression in metastatic breast cancer patients treated with taxanes. Anticancer Res. 2006, 26, 695–701. [Google Scholar]
- Margeli, M.; Cirauqui, B.; Castella, E.; Tapia, G.; Costa, C.; Gimenez-Capitan, A.; Barnadas, A.; Sanchez Ronco, M.; Benlloch, S.; Taron, M.; et al. The prognostic value of BRCA1 mRNA expression levels following neoadjuvant chemotherapy in breast cancer. PLoS ONE 2010, 5, e9499. [Google Scholar] [CrossRef]
- Fedier, A.; Steiner, R.A.; Schwarz, V.A.; Lenherr, L.; Haller, U.; Fink, D. The effect of loss of Brca1 on the sensitivity to anticancer agents in p53-deficient cells. Int. J. Oncol. 2003, 22, 1169–1173. [Google Scholar] [CrossRef]
- Lu, L.; Huang, H.; Zhou, J.; Ma, W.; Mackay, S.; Wang, Z. BRCA1 mRNA expression modifies the effect of T cell activation score on patient survival in breast cancer. BMC Cancer 2019, 19, 387. [Google Scholar] [CrossRef]
- Green, A.R.; Aleskandarany, M.A.; Ali, R.; Hodgson, E.G.; Atabani, S.; De Souza, K.; Rakha, E.A.; Ellis, I.O.; Madhusudan, S. Clinical Impact of Tumor DNA Repair Expression and T-cell Infiltration in Breast Cancers. Cancer Immunol. Res. 2017, 5, 292–299. [Google Scholar] [CrossRef]
- Rakha, E.A.; El-Sheikh, S.E.; Kandil, M.A.; El-Sayed, M.E.; Green, A.R.; Ellis, I.O. Expression of BRCA1 protein in breast cancer and its prognostic significance. Hum. Pathol. 2008, 39, 857–865. [Google Scholar] [CrossRef]
- Xu, Y.; Ouyang, T.; Li, J.; Wang, T.; Fan, Z.; Fan, T.; Lin, B.; Xie, Y. Predictive value of BRCA1/2 mRNA expression for response to neoadjuvant chemotherapy in BRCA-negative breast cancers. Cancer Sci. 2018, 109, 166–173. [Google Scholar] [CrossRef]
- Heimes, A.S.; Almstedt, K.; Krajnak, S.; Runkel, A.; Droste, A.; Schwab, R.; Stewen, K.; Lebrecht, A.; Battista, M.J.; Brenner, W.; et al. Prognostic Impact of LAG-3 mRNA Expression in Early Breast Cancer. Biomedicines 2022, 10, 2656. [Google Scholar] [CrossRef]
- Heimes, A.S.; Hartner, F.; Almstedt, K.; Krajnak, S.; Lebrecht, A.; Battista, M.J.; Edlund, K.; Brenner, W.; Hasenburg, A.; Sahin, U.; et al. Prognostic Significance of Interferon-gamma and Its Signaling Pathway in Early Breast Cancer Depends on the Molecular Subtypes. Int. J. Mol. Sci. 2020, 21, 7178. [Google Scholar] [CrossRef]
- Haibe-Kains, B.; Desmedt, C.; Loi, S.; Culhane, A.C.; Bontempi, G.; Quackenbush, J.; Sotiriou, C. A three-gene model to robustly identify breast cancer molecular subtypes. J. Natl. Cancer Inst. 2012, 104, 311–325. [Google Scholar] [CrossRef]
- Schmidt, M. Which Patients Need Chemotherapy? From Pathological Risk Factors to Gene Signatures and Evaluation of Endocrine Response. Breast Care 2023, 18, 422–427. [Google Scholar] [CrossRef]
- Schmidt, M.; Weyer-Elberich, V.; Hengstler, J.G.; Heimes, A.S.; Almstedt, K.; Gerhold-Ay, A.; Lebrecht, A.; Battista, M.J.; Hasenburg, A.; Sahin, U.; et al. Prognostic impact of CD4-positive T cell subsets in early breast cancer: A study based on the FinHer trial patient population. Breast Cancer Res. 2018, 20, 15. [Google Scholar] [CrossRef]
- Gudas, J.M.; Nguyen, H.; Li, T.; Cowan, K.H. Hormone-dependent regulation of BRCA1 in human breast cancer cells. Cancer Res. 1995, 55, 4561–4565. [Google Scholar]
- Wu, K.; Jiang, S.W.; Couch, F.J. p53 mediates repression of the BRCA2 promoter and down-regulation of BRCA2 mRNA and protein levels in response to DNA damage. J. Biol. Chem. 2003, 278, 15652–15660. [Google Scholar] [CrossRef]
- Pan, W.; Lu, K.; Wang, W.; Yao, J.; Hou, Y. PALB2 as a potential prognostic biomarker for colorectal cancer. Comput. Biol. Chem. 2020, 87, 107289. [Google Scholar] [CrossRef]
- Ge, O.; Huang, A.; Wang, X.; Chen, Y.; Ye, Y.; Schomburg, L. PALB2 upregulation is associated with a poor prognosis in pancreatic ductal adenocarcinoma. Oncol. Lett. 2021, 21, 224. [Google Scholar] [CrossRef]
- Tsyganov, M.M.; Sorokovikova, S.S.; Lutzkaya, E.A.; Ibragimova, M.K. Mutations of BRCA1, BRCA2, and PALB2 Genes in Breast Tumor Tissue: Relationship with the Effectiveness of Neoadjuvant Chemotherapy and Disease Prognosis. Genes 2023, 14, 1554. [Google Scholar] [CrossRef]
- Liu, J.; Chen, J.; Sun, J.; Yao, L.; Zhang, J.; Xie, Y.; Xu, Y. Low Expression of PALB2 is Associated With Poor Survival in Chinese Women With Primary Breast Cancer. Clin. Breast Cancer 2023, 23, e259–e266. [Google Scholar] [CrossRef]






| Characteristic | Patients Number (Percentage) | BRCA1 Lower Expression | Higher Expression | p-Value | BRCA2 Lower Expression | Higher Expression | p-Value | PALB2 Lower Expression | Higher Expression | p-Value |
|---|---|---|---|---|---|---|---|---|---|---|
| Tumor size | ||||||||||
| pTis | 5 (1.1) | 0 (0) | 5 (100) | 1 (20.0) | 4 (80.0) | 2 (40.0) | 3 (60.0) | |||
| pT1 | 183 (39.8) | 98 (53.6) | 85 (46.4) | 98 (53.6) | 85 (46.4) | 83 (45.4) | 100 (54.6) | |||
| pT2 | 214 (46.5) | 110 (51.4) | 104 (48.6) | 107 (50.0) | 107 (50.0) | 105 (49.1) | 109 (50.9) | |||
| pT3 | 19 (4.1) | 6 (31.6) | 13 (68.4) | 7 (36.8) | 12 (63.2) | 13 (68.4) | 6 (31.6) | |||
| pT4 | 39 (8.5) | 16 (41.0) | 23 (59.0) | 0.042 | 17 (43.6) | 22 (4.8) | 0.322 | 26 (66.7) | 13 (33.3) | 0.067 |
| Missing data | 1 (0.2) | |||||||||
| Axillary nodal status | ||||||||||
| pN0 | 253 (57.5) | 119 (47.0) | 134 (53.0) | 134 (53.0) | 119 (47.0) | 95 (37.5) | 158 (62.5) | |||
| pN1 | 138 (31.4) | 80 (58.0) | 58 (42.0) | 65 (47.1) | 73 (52.9) | 91 (65.9) | 47 (34.1) | |||
| pN2 | 49 (11.1) | 20 (40.8) | 5 (9.2) | 0.049 | 22 (44.9) | 27 (55.1) | 0.396 | 30 (61.2) | 19 (38.8) | <0.001 |
| Missing data | 21 (4.6) | |||||||||
| Histological grade | ||||||||||
| I | 62 (14.5) | 40 (64.5) | 22 (35.5) | 37 (59.7) | 25 (40.3) | 30 (48.4) | 32 (51.6) | |||
| II | 261 (60.8) | 123 (47.1) | 138 (52.9) | 137 (52.5) | 124 (47.5) | 119 (45.6) | 142 (54.4) | |||
| III | 106 (24.7) | 47 (44.3) | 59 (55.7) | 0.027 | 40 (37.7) | 66 (62.3) | 0.009 | 61 (57.5) | 45 (42.5) | 0.115 |
| Missing data | 32 (6.9) | |||||||||
| Age at study entry | ||||||||||
| <50 years | 95 (20.6) | 41 (43.2) | 54 (56.8) | 41 (43.2) | 54 (56.8) | 59 (62.1) | 36 (37.9) | |||
| ≥50 years | 366 (79.4) | 190 (51.9) | 176 (48.1) | 0.128 | 189 (51.6) | 177 (48.4) | 0.141 | 171 (46.7) | 195 (53.3) | 0.008 |
| Estrogen receptor status | ||||||||||
| Positive | 252 (73.5) | 117 (46.4) | 135 (53.6) | 130 (51.6) | 122 (48.4) | 120 (47.6) | 132 (52.4) | |||
| Negative | 91 (26.5) | 46 (50.5) | 45 (49.5) | 0.500 | 39 (42.9) | 52 (57.1) | 0.153 | 55 (60.4) | 36 (39.6) | 0.036 |
| Progesterone receptor status | ||||||||||
| Positive | 204 (59.5) | 94 (46.1) | 110 (53.9) | 97 (47.5) | 107 (52.5) | 95 (46.6) | 109 (53.4) | |||
| Negative | 139 (40.5) | 69 (49.6) | 70 (50.4) | 0.517 | 72 (51.8) | 67 (48.2) | 0.440 | 80 (57.6) | 59 (42.4) | 0.046 |
| Ki-67 (%) median | ||||||||||
| ≤20 | 199 (59.9) | 114 (57.3) | 85 (42.7) | 119 (59.8) | 80 (40.2) | 86 (43.2) | 113 (56.8) | |||
| >20 | 133 (40.1) | 48 (36.1) | 85 (63.9) | <0.001 | 56 (42.1) | 77 (57.9) | 0.002 | 62 (46.6) | 71 (53.4) | 0.541 |
| Missing data | 129 (28.0) | |||||||||
| Molecular subtype | ||||||||||
| Luminal A-like | 189 (41.0) | 123 (65.1) | 66 (34.9) | 120 (63.5) | 69 (36.5) | 95 (50.3) | 94 (49.7) | |||
| Luminal B-like | 182 (39.5) | 66 (36.3) | 116 (63.7) | 87 (47.8) | 95 (52.2) | 75 (41.2) | 107 (58.8) | |||
| Her2-positive | 39 (8.5) | 17 (43.6) | 22 (56.4) | 10 (25.6) | 29 (74.4) | 27 (69.2) | 12 (30.8) | |||
| Triple-negative | 51 (11.1) | 25 (49.0) | 26 (51.0) | <0.001 | 13 (25.5) | 38 (74.5) | <0.001 | 33 (64.7) | 18 (35.3) | 0.001 |
| Variables | Multivariable Analysis HR (95% CI) | p-Value |
|---|---|---|
| BRCA1 mRNA expression | 1.611 (1.047–2.479) | 0.030 |
| Age | 1.167 (0.677–2.013) | 0.578 |
| Tumor size | 1.479 (0.931–2.350) | 0.097 |
| Histological grade of differentiation | 2.201 (1.392–3.480) | <0.001 |
| Axillary nodal status | 1.509 (0.977–2.330) | 0.064 |
| Ki-67 | 1.171 (0.739–1.857) | 0.501 |
| Variables | Multivariable Analysis HR (95% CI) | p-Value |
|---|---|---|
| BRCA2 mRNA expression | 1.315 (0.870–1.988) | 0.194 |
| Age | 1.180 (0.683–2.038) | 0.552 |
| Tumor size | 1.512 (0.951–2.404) | 0.080 |
| Histological grade of differentiation | 2.133 (1.347–3.376) | 0.001 |
| Axillary nodal status | 1.429 (0.925–2.205) | 0.107 |
| Ki-67 | 1.271 (0.806–2.003) | 0.302 |
| Variables | Multivariable Analysis HR (95% CI) | p-Value |
|---|---|---|
| PALB2 mRNA expression | 1.075 (0.690–1.676) | 0.748 |
| Age | 1.277 (0.703–2.141) | 0.472 |
| Tumor size | 1.511 (0.939–2.433) | 0.089 |
| Histological grade of differentiation | 2.244 (1.387–3.629) | <0.001 |
| Axillary nodal status | 1.245 (0.778–1.992) | 0.360 |
| Ki-67 | 1.507 (0.936–2.426) | 0.092 |
| Variables | mRNA Low Expression | mRNA High Expression |
|---|---|---|
| Luminal-A-like | 123 | 66 |
| Luminal-B-like | 66 | 116 |
| Her-2-positive | 17 | 22 |
| Triple-negative | 25 | 26 |
| Variables | Univariable Model HR (95%-CI) | p-Value | Multivariable Model HR (95%-CI) | p-Value |
|---|---|---|---|---|
| Luminal-A-like | 0.500 (0.339–0.739) | <0.001 | 0.598 (0.391–0.914) | 0.018 |
| Luminal-B-like | 1.098 (0.774–1.558) | 0.599 | ||
| Her-2-positive | 2.009 (1.221–3.305) | 0.006 | 1.763 (1.036–2.999) | 0.036 |
| Triple-negative | 1.750 (1.106–2.770) | 0.017 | 1.531 (0.934–2.510) | 0.934 |
| Variables | mRNA Low Expression | mRNA High Expression |
|---|---|---|
| Luminal-A-like | 120 | 69 |
| Luminal-B-like | 87 | 95 |
| Her-2-positive | 10 | 29 |
| Triple-negative | 13 | 38 |
| Variables | Univariable Model HR (95%-CI) | p-Value | Multivariable Model HR (95%-CI) | p-Value |
|---|---|---|---|---|
| Luminal-A-like | 0.512 (0.346–0.757) | <0.001 | 0.579 (0.380–0.883) | 0.011 |
| Luminal-B-like | 1.170 (0.829–1.651) | 0.371 | ||
| Her-2-positive | 1.750 (1.056–2.899) | 0.042 | 1.545 (0.904–2.640) | 0.111 |
| Triple-negative | 1.564 (0.980–2.494) | 0.050 | 1.377 (0.836–2.267) | 0.209 |
| Variables | mRNA Low Expression | mRNA High Expression |
|---|---|---|
| Luminal-A-like | 120 | 69 |
| Luminal-B-like | 87 | 95 |
| Her-2-positive | 10 | 29 |
| Triple-negative | 13 | 38 |
| Variables | Univariable Model HR (95%-CI) | p-Value | Multivariable Model HR (95%-CI) | p-Value |
|---|---|---|---|---|
| Luminal-A-like | 0.452 (0.308–0.663) | <0.001 | 0.522 (0.343–0.793) | 0.002 |
| Luminal-B-like | 1.278 (0.903–1.808) | 0.166 | ||
| Her-2-positive | 1.915 (1.155–3.176) | 0.012 | 1.558 (0.906–2.680) | 0.109 |
| Triple-negative | 1.754 (1.108–2.778) | 0.017 | 1.421 (0.865–2.336) | 0.165 |
Disclaimer/Publisher’s Note: The statements, opinions and data contained in all publications are solely those of the individual author(s) and contributor(s) and not of MDPI and/or the editor(s). MDPI and/or the editor(s) disclaim responsibility for any injury to people or property resulting from any ideas, methods, instructions or products referred to in the content. |
© 2024 by the authors. Licensee MDPI, Basel, Switzerland. This article is an open access article distributed under the terms and conditions of the Creative Commons Attribution (CC BY) license (https://creativecommons.org/licenses/by/4.0/).
Share and Cite
Shehaj, I.; Krajnak, S.; Almstedt, K.; Degirmenci, Y.; Herzog, S.; Lebrecht, A.; Linz, V.C.; Schwab, R.; Stewen, K.; Brenner, W.; et al. BRCA1, BRCA2 and PALB2 mRNA Expression as Prognostic Markers in Patients with Early Breast Cancer. Biomedicines 2024, 12, 1361. https://doi.org/10.3390/biomedicines12061361
Shehaj I, Krajnak S, Almstedt K, Degirmenci Y, Herzog S, Lebrecht A, Linz VC, Schwab R, Stewen K, Brenner W, et al. BRCA1, BRCA2 and PALB2 mRNA Expression as Prognostic Markers in Patients with Early Breast Cancer. Biomedicines. 2024; 12(6):1361. https://doi.org/10.3390/biomedicines12061361
Chicago/Turabian StyleShehaj, Ina, Slavomir Krajnak, Katrin Almstedt, Yaman Degirmenci, Sophia Herzog, Antje Lebrecht, Valerie Catherine Linz, Roxana Schwab, Kathrin Stewen, Walburgis Brenner, and et al. 2024. "BRCA1, BRCA2 and PALB2 mRNA Expression as Prognostic Markers in Patients with Early Breast Cancer" Biomedicines 12, no. 6: 1361. https://doi.org/10.3390/biomedicines12061361
APA StyleShehaj, I., Krajnak, S., Almstedt, K., Degirmenci, Y., Herzog, S., Lebrecht, A., Linz, V. C., Schwab, R., Stewen, K., Brenner, W., Hasenburg, A., Schmidt, M., & Heimes, A.-S. (2024). BRCA1, BRCA2 and PALB2 mRNA Expression as Prognostic Markers in Patients with Early Breast Cancer. Biomedicines, 12(6), 1361. https://doi.org/10.3390/biomedicines12061361

