Abstract
Background: Premature ventricular complexes (PVCs) are common electrocardiographic abnormalities and may be a prognosticator in predicting mortality in patients with structurally normal hearts or chronic heart diseases. Whether PVC burden was associated with mortality in patients with chronic atrial fibrillation (AF) remained unknown. We investigated the prognostic value of PVC burden in patients with persistent AF. Methods: A retrospective analysis of 24 h Holter recordings of 1767 patients with persistent AF was conducted. Clinical characteristics, 24 h average heart rate (HR), and PVC measures, including 24 h PVC burden and the presence of consecutive PVCs (including any PVC couplet, triplet, or non-sustained ventricular tachycardia) were examined for the prediction of all-cause and cardiovascular mortality using the Cox proportional hazards model. Results: After a median follow-up time of 30 months, 286 (16%) patients died and 1481 (84%) patients survived. Multivariate analysis revealed that age, heart failure, stroke, angiotensin-converting enzyme inhibitor/angiotensin receptor blocker, beta-blocker, digoxin, oral anticoagulant use, and estimated glomerular filtration rate were significant baseline predictors of all-cause mortality and cardiovascular mortality. Twenty-four-hour PVC burden and the presence of consecutive PVCs were significantly associated with all-cause and cardiovascular mortality after adjusting for significant clinical factors. When compared to the first quartile of PVC burden (<0.003%/day), the highest quartile (>0.3%/day) was significantly associated with an increased risk of all-cause mortality (hazard ratio, 2.46; 95% CI, 1.77–3.42) and cardiovascular mortality (hazard ratio: 2.67; 95% CI, 1.76–4.06). Conclusions: Twenty-four-hour PVC burden is independently associated with all-cause and cardiovascular mortality in patients with persistent AF.
1. Introduction
Premature ventricular complex (PVC) refers to the premature activation of the ventricular myocardium, a phenomenon frequently found in patients with both healthy and diseased hearts [1]. The prevalence of PVCs in a 10 s 12-lead electrocardiogram (ECG) is estimated to be between 1% and 4% in patients without heart disease [2,3]. However, the frequency of PVCs is notably increased when using ambulatory electrocardiogram (ECG) recordings, with 40% to 75% of participants experiencing PVCs during 24 to 48 h ambulatory Holter monitoring [4]. This difference can be attributed to a significant variability in PVC frequency with time. Prior research has shown that an elevated PVC burden is linked to occurrences of sudden cardiac death, cardiovascular (CV) events, cardiomyopathy, and ischemic stroke [5,6]. Additionally, the presence of multiform PVC patterns may be associated with cardiovascular adverse events in both healthy individuals and those with heart disease [7,8]. Nevertheless, the influence of the frequency of premature ventricular complex (PVC burden) on cardiovascular risks was identified in both structurally normal and diseased hearts with sinus rhythm [1,6,9,10].
Atrial fibrillation (AF) is the prevailing cardiac arrhythmia worldwide, affecting around 2% to 3% of the population. Moreover, the incidence of AF is considerably greater in those with heart conditions such as myocardial infarction or heart failure [11]. The predictive significance of PVCs in AF patients is still uncertain. Although the adverse effects of PVCs on cardiovascular function in patients with sinus rhythm are extensively researched, the rhythm irregularity of AF makes it difficult to accurately measure and understand the influence of PVCs on this condition. A recent study has demonstrated a correlation between AF and increased mortality in patients with existing ventricular tachyarrhythmias, specifically ventricular tachycardia (VT) and ventricular fibrillation (VF) [12]. Nevertheless, the precise correlation between PVCs burden and AF has yet to be clearly established in the current field of research. This study aims to bridge this gap by evaluating the influence of PVC burden in patients with persistent AF, based on 24 h electrocardiography (ECG) monitoring, on the cardiovascular and all-cause mortality during a long-term clinical follow-up.
2. Materials and Methods
2.1. Study Population
This retrospective, single-center observational study was conducted following the Declaration of Helsinki and received approval from Chang Gung Memorial Hospital’s institutional review board. From 1 January 2010 to 31 December 2015, a total of 3261 patients with AF (paroxysmal or persistent) episodes were identified from the 24 h Holter ECG (Zymed system, Philips Healthcare) reporting during the outpatient or inpatient visit. AF episodes were defined as the irregular ventricular response in the absence of p waves or with fibrillatory waves. Paroxysmal AF was defined as any AF episode lasting more than 30 s and the remaining sinus rhythm recorded within the 24 h Holter ECGs. Persistent AF was defined as having over 99% AF events during 24 h Holter monitoring. We excluded those patients with a history of cardiac implantable electronic device implantation or evident artificial pacing spikes in the Holter data (n = 482). We excluded from the analysis participants who were classified as paroxysmal AF based on the Holter ECG recording (n = 1012). Finally, a cohort of 1767 patients with persistent AF was established for the present analysis. Over a median follow-up duration of 30 months (interquartile range, 14 to 47 months), 286 (16%) patients reached the designated study endpoint classified as all-cause death and 1481 (84%) patients remained as survived. The Zymed system by Philips Healthcare was employed for centralized data processing, with an experienced technician implementing manual modifications and a qualified electrophysiologist accomplishing a final review. The electrophysiologist was blind to the patient’s outcomes during the review process. The primary endpoint was cardiovascular and all-cause mortality.
2.2. Statistical Analysis
Continuous variables were expressed as the mean ± standard deviation or the median with the range. Proportions were compared using χ2 tests. Correlations between continuous variables were assessed using linear regression. The univariate and multivariate Cox proportional hazard regression models were used to estimate the predictive variables for the outcome. Variables with a univariate statistical significance below 0.1 were selected to be included in the multivariate model. Statistical significance was defined as a p-value below 0.05 across all tests. The statistical analysis was performed using SPSS version 19.0 (SPSS Inc, Chicago, IL, USA).
3. Results
3.1. Baseline Characteristics and Outcomes
The baseline patient characteristics according to outcomes are summarized in Table 1. The mean QRS and QTc durations of the standard resting 12-lead ECG for the overall patients were 98.1 ± 24.1 and 454.1 ± 44.7 milliseconds (ms), respectively. For the overall 1767 patients with persistent AF, there were 455 (25.7%), 60 (3.4%), and 36 (2.0%) patients receiving an anti-arrhythmic drug, catheter ablation, and electrical cardioversion after the Holter ECG monitoring. There were 684 patients (38.7%) receiving digoxin treatment. For those treated with digoxin therapy, there were 258 patients with a diagnosis of congestive heart failure (90 patients with left ventricular ejection fraction of >40%). Two hundred and eighty-five patients treated with digoxin received digoxin level monitoring (mean level was 0.59 ± 0.44 ng/mL (effective level: 0.8–2.0 ng/mL)). For the overall study population, there were 1148 patients (65.0%) receiving oral anticoagulant treatment (547 and 601 patients receiving warfarin and direct oral anticoagulants (DOACs), respectively). Two hundred and eighty-six (16.2%) patients reached the study endpoint with all-cause mortality over a median follow-up period of 30 (interquartile range, 14–47) months. One hundred and seventy-six patients died of cardiovascular diseases (82 of pumping failure, 3 of acute pulmonary embolism, 38 of ventricular arrhythmias or pulseless electrical activity, 37 of acute cerebral vascular disease, and 16 of acute coronary syndrome). Patients reaching the endpoint were older and had a higher prevalence of comorbidities, higher CHA2DS2-VASc scores [13], and lower glomerular filtration rates. Patients who survived had a greater incidence of beta-blocker and anticoagulant use and a lower prevalence of digoxin usage. Regarding the 24 h Holter measures, patients who encountered the endpoints had a greater overall burden of PVCs, higher numbers of isolated PVCs, more episodes of PVC couplets, and instances of non-sustained ventricular tachycardia (defined as four or more consecutive beats originating below the atrioventricular node with an RR interval of less than 600 milliseconds, or more than 100 beats per minute, and lasting less than 30 s) during the 24 h Holter recording compared to those who did not reach the endpoint. Among the overall study cohort, there were 103 patients with a diagnosis of ventricular tachycardia runs (four or more consecutive PVC beats with an RR interval of less than 600 milliseconds) obtained from the 24 h Holter ECG recording. The median number of ventricular tachycardia runs for the 103 patients were five [interquartile range, 4–6] beats/24 h. There were 6 and 17 patients receiving implantable cardioverter-defibrillator implantation and catheter ablation after the diagnosis of ventricular tachycardia.
Table 1.
Baseline characteristics of all patients.
Univariate analysis utilizing a Cox proportional hazard model identified several characteristics correlated to outcomes, including age, heart failure, stroke, and a decreased glomerular filtration rate (Table 2). Using oral anticoagulants, beta-blockers, and ACEI/ARB medications was also associated with improved outcomes.
Table 2.
Baseline predictors for all-cause mortality.
3.2. PVCs and Outcomes
In terms of the PVC measurements, the overall 24 h PVC burden and the occurrence of consecutive PVC episodes (including any PVC couplet, triplet, or ventricular tachycardia episode) were found to correspond to both all-cause and cardiovascular mortality, regardless of adjusting for baseline characteristics (as shown in Table 3).
Table 3.
Cox regression analyses of the effect of PVC profiles on mortality.
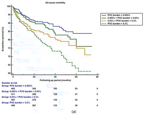
Figure 1 displays the Kaplan–Meier curves representing the incidence of all-cause and cardiovascular mortality through PVC burden within 24 h. There was a noticeable increase in the risk of both all-cause and cardiovascular mortality in patients with persistent AF as the PVC burden rose from quartile 1 to 4. Compared to the lowest quartile of 24 h PVC burden (<0.002%/day), the highest quartile (>0.3%/day) demonstrated a significant association with an increased risk of all-cause mortality (hazard ratio, 2.43; 95% confidence interval, 1.73–3.40) and cardiovascular mortality (hazard ratio: 2.62; 95% confidence interval, 1.73–3.95).

Figure 1.
Kaplan–Meier curves of (a) all-cause and (b) cardiovascular mortality according to stratification of PVC burden.
The initial model comprising the aforementioned significant variables could accurately predict all causes and cardiovascular mortality. The chi-square values for all-cause and cardiovascular mortality were 249 and 149, respectively, with a p-value less than 0.001. Figure 2 presents prognostic information obtained by incorporating the 24 h average heart rate, the 24 h burden of PVCs, and the presence of consecutive PVCs. Incorporating a 24 h burden of PVCs or the occurrence of consecutive PVCs significantly improved the ability to predict mortality compared to a model that only included baseline characteristics (both p-values are less than 0.05). Nevertheless, integrating the 24 h burden of PVCs and the presence of consecutive PVCs did not significantly improve the prediction performance. In contrast, the 24 h average heart rate did not yield any supplementary predictive information on overall and cardiovascular mortality compared to the initial model.
Figure 2.
Chi-square test of prognostic value of 24 h average heart rate, PVC burden, and consecutive PVC episodes in predicting (a) all-cause and (b) cardiovascular mortality.
Table 4 presents the associations between PVC measurements and multiple variables in all study patients. The correlation between the 24 h burden of PVCs and baseline characteristics, such as age, estimated glomerular filtration rate (eGFR), left ventricular ejection fraction (LVEF), and CHA2DS2-VASc score, is weak (all correlation coefficient is less than 0.2).
Table 4.
Correlates of 24 h PVC number and PVC burden in study patients.
4. Discussions
Our investigation found that individuals with a higher 24 h PVC burden (>0.3%/day) had a significantly higher risk of all-cause and cardiovascular mortality compared to those with a lower 24 h PVC burden (<0.002%/day). The hazard ratios for each were 2.43 and 2.62, respectively. In addition, the examination of baseline data showed that the occurrence of consecutive PVC events (including any PVC couplet, triplet, or ventricular tachycardia episode) increased the risk of both all-cause and cardiovascular mortality. The adjusted hazard ratios were 1.30 and 1.50, respectively. The results of our study provide significant insights into the 24 h PVC burden in patients with AF, an issue that prior studies have not thoroughly investigated.
Several studies have found an association between high PVC burden and LV dysfunction, as well as an increased risk of systolic HF (hazard ratio [HR]: 1.48 to 1.8) and mortality (HR: 1.31) [6,14,15,16,17,18] even after adjusting for age and other ECG abnormalities [19]. Researchers also found that in patients without substantial cardiac abnormalities, there is a range of PVC burden that is linked to higher mortality and hospitalization rates for cardiovascular issues. This range starts at a relatively low threshold of 12 PVCs per day [20]. Other research has encompassed a variety of PVC burdens ranging from 0.123% to 17.7%, or from 1000 to 10,000 per day and more than 10,000 per day, respectively. These discoveries demonstrate the intricate correlation between PVC burden and cardiovascular outcomes. Our study demonstrates that a higher PVC burden in patients with atrial fibrillation significantly correlates with elevated overall and cardiac mortality. We are expanding our understanding of the extensive impacts of PVC burden, affecting both patients with sinus rhythm and those with atrial fibrillation. This highlights the importance of implementing proactive measures to manage AF patients who experience frequent PVCs. This could include frequent surveillance, medication treatment [21], and, potentially, the application of ablation therapy, which has demonstrated efficacy in enhancing systolic function in cases with a high PVC burden (>10%/day in general) [16,19,22,23,24].
Recent animal studies demonstrated that the deterioration in left ventricular systolic function is considered to be associated with left ventricular dyssynchrony and eccentric hypertrophy triggered by PVCs [25,26]. A swine model of PVC-induced cardiomyopathy demonstrated persistent myocardial fibrosis and left ventricular dyssynchrony even after PVCs had been eliminated [27]. PVC-induced left ventricular fibrosis and dyssynchrony have been shown to contribute to a worsening cardiovascular outcome [28,29]. Researchers also investigated the influence of PVC coupling intervals on the occurrence of PVC-induced cardiomyopathy (PVC-CM) and cardiovascular mortality. Some studies show that interpolated PVCs [30] or short coupling intervals (RR′/RR ≤ 0.6) [31] may be a predictor of PVC-CM and restoration of left ventricular ejection fraction after catheter ablation [23]. At the same time, other studies have found that variability (dispersion) in PVC coupling intervals is correlated with both a higher risk of PVC-CM and a higher risk of cardiovascular mortality [32,33,34]. Animal studies have provided a plausible explanation for this phenomenon, indicating that PVCs at various coupling intervals disturb the function of cardiac neurons and the local reflex of the heart [35]. Our study focused specifically on patients diagnosed with atrial fibrillation. It is essential to consider the inherent variability in RR intervals common in these patients. This variation could contribute to a greater dispersion of PVC coupling intervals in patients with atrial fibrillation, providing an additional explanation for the observed increase in cardiovascular mortality in our study group. Additional research is required to specifically analyze the relationship between PVC coupling intervals and the occurrence of PVC-induced heart failure or cardiovascular mortality in AF patients.
Nevertheless, recent studies have indicated patients with PVCs who underwent thorough tests to eliminate the possibility of underlying cardiac disease did not see a deterioration in their prognostic outcomes during a follow-up period of 5.2 years [36]. This implies that patients who suffered from PVCs alone are not indicative of a higher risk of cardiovascular mortality. A recent study has found that there is a correlation between the presence of PVCs and the development of new-onset AF, especially in younger patients [37]. Consequently, performing a thorough assessment to exclude structured or underlying cardiac diseases, even atrial fibrillation, in patients experiencing PVCs, particularly those with a significant burden, is beneficial in distinguishing the group of patients at greater risk of poor clinical outcomes. Our study found that individuals with AF who had a more significant burden of PVCs are at a considerably increased risk of both all-cause and cardiovascular mortality. AF may contribute to obvious and subclinical changes in ventricular structure and function. Various potential pathological mechanisms have been proposed, such as the progression of ventricular rate, dysfunction of microvascular or endothelial cells, systemic inflammation causing reduced myocardial perfusion, abnormal calcium handling, and irregular atrioventricular conduction [38,39]. These factors are susceptible to reduced blood flow in both atria and ventricles, causing ischemia and the development of fibrosis and cardiac remodeling [39]. In addition, AF may trigger long–short sequences, and premature ventricular complexes can also lead to the presence of arrhythmogenic substrates that increase the risk of developing ventricular tachyarrhythmias such as VT or VF during AF in patients [40,41]. Our research indicates that consecutive PVCs can serve as a prognostic indicator for both overall and cardiovascular mortality in patients with AF. This condition is also commonly observed in patients with sinus rhythm. This discovery raises a crucial question for future investigation about whether the predictive feature of consecutive PVCs applies only to patients with persistent AF, or if it also includes individuals with sinus rhythm. Addressing this inquiry will expand our comprehension of the roles of PVCs in different cardiac arrhythmias and offer valuable perspectives on potential therapeutic strategies. Moreover, further research is required to explore the correlations between PVC burden and different cardiovascular events in patients with persistent AF, potentially resulting in the formulation of customized therapeutic approaches for these specific patient groups.
In summary, our research offers novel perspectives on the predictive significance of PVCs in patients with persistent AF, implicating that close monitoring or even early intervention strategies may be advantageous for decreasing the possibility of unfavorable cardiovascular or all-cause mortality.
5. Study Limitations
This retrospective analysis is subject to several limitations. The present study employs a retrospective and observational approach, which omits crucial details concerning variables like alcohol or tobacco consumption, physical activity levels, and family medical history. The dataset failed to consider confounding factors such as blood hemoglobin levels or physical activity that may impact heart rate. The potential impact of medication adjustments, such as anticoagulants, anti-arrhythmic agents, or rate control managements, on heart rate and outcomes was not accounted for during the follow-up period. Therefore, it is necessary to proceed with precaution while interpreting our data. This is a retrospective and observational study using real-world data from the large hospital-based claim database in Taiwan. The study population in the present study mainly focused on AF patients with multiple comorbidities due to the nature of the hospital-based claim database. Whether our results can be extrapolated to other AF populations with a different etiology or mechanism (e.g., parasympathetic enhancement or exercise-induced AF) remains unclear. The present guidelines recommend the use of digoxin for the management of rate control in patients with AF, particularly those with concomitant heart failure. Use of digoxin and the digoxin concentration were independently associated with mortality in patients with AF, regardless of heart failure [42,43]. However, the intention of digoxin treatment (for heart failure management or AF rate control) was unclear in the present study due to the nature of the retrospective and observational study design. Further investigation is required to validate the influence of the 24 h PVC burden on mortality in individuals with persistent AF. There were 103 patients with a diagnosis of VT runs (four or more consecutive PVC beats) reported from the 24 h Holter ECG recording. However, those patients with VTs had a quite small VT burden (median number of 5 [interquartile range, 4–6] consecutive runs/24 h). There were only 6 and 17 patients receiving implantable cardioverter-defibrillator implantation and catheter ablation after the diagnosis of VT obtained from Holter recording. Because most patients did not receive further Holter follow-up or receive further intervention (e.g., device implantation, catheter ablation, or coronary intervention) regarding the VT burden management, we cannot perform further analysis evaluating the risk reduction of incidents related to the interventions that potentially lower the burden of ventricular arrhythmia. Furthermore, the differentiation between ventricular ectopy and aberrant ventricular conduction during AF may be difficult due to the limited lead number of 24 h Holter recording in the present study.
6. Conclusions
The results of our study demonstrate that the 24 h burden of premature ventricular contractions is a substantial and independent predictor of both all-cause and cardiovascular mortality in patients with persistent atrial fibrillation. Regular assessment of PVC burden with 24 h ECG monitoring is a feasible approach to identifying patients with a heightened risk.
Author Contributions
Conceptualization, Y.-H.C. and K.-C.Y.; methodology, Y.-H.C.; software, Y.-H.C.; validation, K.-C.Y., Y.-H.C. and C.-L.W.; formal analysis, Y.-H.C.; investigation, Y.-H.C.; resources, Y.-H.C. and C.-L.W.; data curation, K.-C.Y. and Y.-H.C.; writing—original draft preparation, K.-C.Y.; writing—review and editing, K.-C.Y., Y.-H.C. and C.-L.W.; visualization, K.-C.Y.; supervision, C.-L.W.; project administration, Y.-H.C.; funding acquisition, C.-L.W. All authors provided intellectual content of critical importance to the work described. All authors have read and agreed to the published version of the manuscript.
Funding
This research was funded by the research grants from the Chang Gung Memorial Hospital, Linkou, Taiwan (CMRPG 3E2101 and CORPG 3F0561).
Institutional Review Board Statement
The study was conducted in accordance with the Declaration of Helsinki and approved by the Institutional Review Board (or Ethics Committee) of Chang Gung Memorial Hospital’s institutional review board. (Approval code: 202101936B0. Approval date: 21 November 2021).
Informed Consent Statement
Informed consent was waived due to the retrospective nature of the study and the analysis used anonymous clinical data.
Data Availability Statement
The datasets used in this study were only available in the Chang Gung Medical Data Center, Taiwan. The SPSS program (codes) involved for this study is available from the corresponding author on reasonable request.
Conflicts of Interest
The authors declare no conflicts of interest.
References
- Simpson, R.J., Jr.; Cascio, W.E.; Schreiner, P.J.; Crow, R.S.; Rautaharju, P.M.; Heiss, G. Prevalence of premature ventricular contractions in a population of African American and white men and women: The Atherosclerosis Risk in Communities (ARIC) study. Am. Heart J. 2002, 143, 535–540. [Google Scholar] [CrossRef] [PubMed]
- Engel, G.; Cho, S.; Ghayoumi, A.; Yamazaki, T.; Chun, S.; Fearon, W.F.; Froelicher, V.F. Prognostic significance of PVCs and resting heart rate. Ann. Noninvasive Electrocardiol. 2007, 12, 121–129. [Google Scholar] [CrossRef] [PubMed]
- Cha, Y.-M.; Lee, G.K.; Klarich, K.W.; Grogan, M. Premature ventricular contraction-induced cardiomyopathy: A treatable condition. Circ. Arrhythmia Electrophysiol. 2012, 5, 229–236. [Google Scholar] [CrossRef] [PubMed]
- Ng, G.A. Treating patients with ventricular ectopic beats. Heart 2006, 92, 1707–1712. [Google Scholar] [CrossRef] [PubMed]
- Ataklte, F.; Erqou, S.; Laukkanen, J.; Kaptoge, S. Meta-analysis of ventricular premature complexes and their relation to cardiac mortality in general populations. Am. J. Cardiol. 2013, 112, 1263–1270. [Google Scholar] [CrossRef] [PubMed]
- Dukes, J.W.; Dewland, T.A.; Vittinghoff, E.; Mandyam, M.C.; Heckbert, S.R.; Siscovick, D.S.; Stein, P.K.; Psaty, B.M.; Sotoodehnia, N.; Gottdiener, J.S.; et al. Ventricular Ectopy as a Predictor of Heart Failure and Death. J. Am. Coll. Cardiol. 2015, 66, 101–109. [Google Scholar] [CrossRef] [PubMed]
- Ephrem, G.; Levine, M.; Friedmann, P.; Schweitzer, P. The prognostic significance of frequency and morphology of premature ventricular complexes during ambulatory holter monitoring. Ann. Noninvasive Electrocardiol. 2013, 18, 118–125. [Google Scholar] [CrossRef] [PubMed]
- Lin, C.Y.; Chang, S.L.; Lin, Y.J.; Lo, L.W.; Chung, F.P.; Chen, Y.Y.; Chao, T.F.; Hu, Y.F.; Tuan, T.C.; Liao, J.N.; et al. Long-term outcome of multiform premature ventricular complexes in structurally normal heart. Int. J. Cardiol. 2015, 180, 80–85. [Google Scholar] [CrossRef] [PubMed]
- Hirose, H.; Ishikawa, S.; Gotoh, T.; Kabutoya, T.; Kayaba, K.; Kajii, E. Cardiac mortality of premature ventricular complexes in healthy people in Japan. J. Cardiol. 2010, 56, 23–26. [Google Scholar] [CrossRef]
- Sajadieh, A.; Nielsen, O.W.; Rasmussen, V.; Hein, H.O.; Frederiksen, B.S.; Davanlou, M.; Hansen, J.F. Ventricular arrhythmias and risk of death and acute myocardial infarction in apparently healthy subjects of age >or=55 years. Am. J. Cardiol. 2006, 97, 1351–1357. [Google Scholar] [CrossRef]
- Chiang, C.E.; Wu, T.J.; Ueng, K.C.; Chao, T.F.; Chang, K.C.; Wang, C.C.; Lin, Y.J.; Yin, W.H.; Kuo, J.Y.; Lin, W.S.; et al. 2016 Guidelines of the Taiwan Heart Rhythm Society and the Taiwan Society of Cardiology for the management of atrial fibrillation. J. Formos. Med. Assoc. Taiwan Yi Zhi 2016, 115, 893–952. [Google Scholar] [CrossRef] [PubMed]
- Behnes, M.; Rusnak, J.; Taton, G.; Schupp, T.; Reiser, L.; Bollow, A.; Reichelt, T.; Engelke, N.; Ellguth, D.; Kuche, P. Atrial fibrillation is associated with increased mortality in patients presenting with ventricular tachyarrhythmias. Sci. Rep. 2019, 9, 14291. [Google Scholar] [CrossRef] [PubMed]
- Lip, G.Y.; Nieuwlaat, R.; Pisters, R.; Lane, D.A.; Crijns, H.J. Refining clinical risk stratification for predicting stroke and thromboembolism in atrial fibrillation using a novel risk factor-based approach: The euro heart survey on atrial fibrillation. Chest 2010, 137, 263–272. [Google Scholar] [CrossRef] [PubMed]
- Baman, T.S.; Lange, D.C.; Ilg, K.J.; Gupta, S.K.; Liu, T.-Y.; Alguire, C.; Armstrong, W.; Good, E.; Chugh, A.; Jongnarangsin, K. Relationship between burden of premature ventricular complexes and left ventricular function. Heart Rhythm. 2010, 7, 865–869. [Google Scholar] [CrossRef] [PubMed]
- Del Carpio Munoz, F.; Syed, F.F.; Noheria, A.; Cha, Y.M.; Friedman, P.A.; Hammill, S.C.; Munger, T.M.; Venkatachalam, K.L.; Shen, W.K.; Packer, D.L.; et al. Characteristics of premature ventricular complexes as correlates of reduced left ventricular systolic function: Study of the burden, duration, coupling interval, morphology and site of origin of PVCs. J. Cardiovasc. Electrophysiol. 2011, 22, 791–798. [Google Scholar] [CrossRef] [PubMed]
- Takemoto, M.; Yoshimura, H.; Ohba, Y.; Matsumoto, Y.; Yamamoto, U.; Mohri, M.; Yamamoto, H.; Origuchi, H. Radiofrequency catheter ablation of premature ventricular complexes from right ventricular outflow tract improves left ventricular dilation and clinical status in patients without structural heart disease. J. Am. Coll. Cardiol. 2005, 45, 1259–1265. [Google Scholar] [CrossRef] [PubMed]
- Huizar, J.F.; Ellenbogen, K.A.; Tan, A.Y.; Kaszala, K. Arrhythmia-induced cardiomyopathy: JACC state-of-the-art review. J. Am. Coll. Cardiol. 2019, 73, 2328–2344. [Google Scholar] [CrossRef] [PubMed]
- Lee, P.-T.; Huang, T.-C.; Huang, M.-H.; Hsu, L.-W.; Su, P.-F.; Liu, Y.-W.; Hung, M.-H.; Liu, P.-Y. The burden of ventricular premature complex is associated with cardiovascular mortality. Front. Cardiovasc. Med. 2022, 8, 797976. [Google Scholar] [CrossRef]
- Bogun, F.; Crawford, T.; Reich, S.; Koelling, T.M.; Armstrong, W.; Good, E.; Jongnarangsin, K.; Marine, J.E.; Chugh, A.; Pelosi, F.; et al. Radiofrequency ablation of frequent, idiopathic premature ventricular complexes: Comparison with a control group without intervention. Heart Rhythm. 2007, 4, 863–867. [Google Scholar] [CrossRef]
- Lin, C.-Y.; Chang, S.-L.; Lin, Y.-J.; Chen, Y.-Y.; Lo, L.-W.; Hu, Y.-F.; Tuan, T.-C.; Chao, T.-F.; Chung, F.-P.; Liao, J.-N. An observational study on the effect of premature ventricular complex burden on long-term outcome. Medicine 2017, 96, e5476. [Google Scholar] [CrossRef]
- Singh, S.N.; Fletcher, R.D.; Fisher, S.G.; Singh, B.N.; Lewis, H.D.; Deedwania, P.C.; Massie, B.M.; Colling, C.; Lazzeri, D. Amiodarone in patients with congestive heart failure and asymptomatic ventricular arrhythmia. N. Engl. J. Med. 1995, 333, 77–82. [Google Scholar] [CrossRef] [PubMed]
- Ezzat, V.A.; Liew, R.; Ward, D.E. Catheter ablation of premature ventricular contraction-induced cardiomyopathy. Nat. Clin. Pr. Cardiovasc. Med. 2008, 5, 289–293. [Google Scholar] [CrossRef] [PubMed]
- Zhong, L.; Lee, Y.-H.; Huang, X.-M.; Asirvatham, S.J.; Shen, W.-K.; Friedman, P.A.; Hodge, D.O.; Slusser, J.P.; Song, Z.-Y.; Packer, D.L. Relative efficacy of catheter ablation vs antiarrhythmic drugs in treating premature ventricular contractions: A single-center retrospective study. Heart Rhythm. 2014, 11, 187–193. [Google Scholar] [CrossRef]
- Latchamsetty, R.; Yokokawa, M.; Morady, F.; Kim, H.M.; Mathew, S.; Tilz, R.; Kuck, K.-H.; Nagashima, K.; Tedrow, U.; Stevenson, W.G. Multicenter outcomes for catheter ablation of idiopathic premature ventricular complexes. JACC Clin. Electrophysiol. 2015, 1, 116–123. [Google Scholar] [CrossRef] [PubMed]
- Potfay, J.; Kaszala, K.; Tan, A.Y.; Sima, A.P.; Gorcsan III, J.; Ellenbogen, K.A.; Huizar, J.F. Abnormal left ventricular mechanics of ventricular ectopic beats: Insights into origin and coupling interval in premature ventricular contraction–induced cardiomyopathy. Circ. Arrhythmia Electrophysiol. 2015, 8, 1194–1200. [Google Scholar] [CrossRef] [PubMed]
- Torrado, J.; Kowlgi, G.N.; Ramirez, R.J.; Balderas-Villalobos, J.; Jovin, D.; Parker, C.; Om, E.; Airapetov, S.; Kaszala, K.; Tan, A.Y. Eccentric hypertrophy in an animal model of mid-and long-term premature ventricular contraction–induced cardiomyopathy. Heart Rhythm O2 2021, 2, 80–88. [Google Scholar] [CrossRef]
- Walters, T.E.; Szilagyi, J.; Alhede, C.; Sievers, R.; Fang, Q.; Olgin, J.; Gerstenfeld, E.P. Dyssynchrony and fibrosis persist after resolution of cardiomyopathy in a swine premature ventricular contraction model. Clin. Electrophysiol. 2020, 6, 1367–1376. [Google Scholar] [CrossRef]
- Gupta, A.; Harrington, M.; Albert, C.M.; Bajaj, N.S.; Hainer, J.; Morgan, V.; Bibbo, C.F.; Bravo, P.E.; Osborne, M.T.; Dorbala, S. Myocardial scar but not ischemia is associated with defibrillator shocks and sudden cardiac death in stable patients with reduced left ventricular ejection fraction. JACC Clin. Electrophysiol. 2018, 4, 1200–1210. [Google Scholar] [CrossRef]
- Modin, D.; Biering-Sørensen, S.R.; Møgelvang, R.; Jensen, J.S.; Biering-Sørensen, T. Prognostic importance of left ventricular mechanical dyssynchrony in predicting cardiovascular death in the general population: The Copenhagen City Heart Study. Circ. Cardiovasc. Imaging 2018, 11, e007528. [Google Scholar] [CrossRef]
- Olgun, H.; Yokokawa, M.; Baman, T.; Kim, H.M.; Armstrong, W.; Good, E.; Chugh, A.; Pelosi, F., Jr.; Crawford, T.; Oral, H. The role of interpolation in PVC-induced cardiomyopathy. Heart Rhythm. 2011, 8, 1046–1049. [Google Scholar] [CrossRef]
- Sun, Y.; Blom, N.A.; Yu, Y.; Ma, P.; Wang, Y.; Han, X.; Swenne, C.A.; van der Wall, E.E. The influence of premature ventricular contractions on left ventricular function in asymptomatic children without structural heart disease: An echocardiographic evaluation. Int. J. Cardiovasc. Imaging 2003, 19, 295–299. [Google Scholar] [CrossRef] [PubMed]
- Bradfield, J.S.; Homsi, M.; Shivkumar, K.; Miller, J.M. Coupling interval variability differentiates ventricular ectopic complexes arising in the aortic sinus of valsalva and great cardiac vein from other sources: Mechanistic and arrhythmic risk implications. J. Am. Coll. Cardiol. 2014, 63, 2151–2158. [Google Scholar] [CrossRef] [PubMed]
- Lee, C.-H.; Park, K.-H.; Nam, J.-H.; Lee, J.; Choi, Y.-J.; Kong, E.-J.; Lee, H.-W.; Son, J.-W.; Kim, U.; Park, J.-S. Increased variability of the coupling interval of premature ventricular contractions as a predictor of cardiac mortality in patients with left ventricular dysfunction. Circ. J. 2015, 79, 2360–2366. [Google Scholar] [CrossRef] [PubMed]
- Kawamura, M.; Badhwar, N.; Vedantham, V.; Tseng, Z.H.; Lee, B.K.; Lee, R.J.; Marcus, G.M.; Olgin, J.E.; Gerstenfeld, E.P.; Scheinman, M.M. Coupling interval dispersion and body mass index are independent predictors of idiopathic premature ventricular complex-induced cardiomyopathy. J. Cardiovasc. Electrophysiol. 2014, 25, 756–762. [Google Scholar] [CrossRef] [PubMed]
- Hamon, D.; Rajendran, P.S.; Chui, R.W.; Ajijola, O.A.; Irie, T.; Talebi, R.; Salavatian, S.; Vaseghi, M.; Bradfield, J.S.; Armour, J.A. Premature ventricular contraction coupling interval variability destabilizes cardiac neuronal and electrophysiological control: Insights from simultaneous cardioneural mapping. Circ. Arrhythmia Electrophysiol. 2017, 10, e004937. [Google Scholar] [CrossRef] [PubMed]
- Scorza, R.; Jonsson, M.; Friberg, L.; Rosenqvist, M.; Frykman, V. Prognostic implication of premature ventricular contractions in patients without structural heart disease. Europace 2023, 25, 517–525. [Google Scholar] [CrossRef] [PubMed]
- Lee, P.T.; Huang, M.H.; Huang, T.C.; Hsu, C.H.; Lin, S.H.; Liu, P.Y. High burden of premature ventricular complex increases the risk of new-onset atrial fibrillation. J. Am. Heart Assoc. 2023, 12, e027674. [Google Scholar] [CrossRef] [PubMed]
- Behnes, M.; Hoffmann, U.; Lang, S.; Weiss, C.; Ahmad-Nejad, P.; Neumaier, M.; Borggrefe, M.; Brueckmann, M. Transforming growth factor beta 1 (TGF-beta 1) in atrial fibrillation and acute congestive heart failure. Clin. Res. Cardiol. 2011, 100, 335–342. [Google Scholar] [CrossRef]
- Wijesurendra, R.S.; Casadei, B. Atrial fibrillation: Effects beyond the atrium? Cardiovasc. Res. 2015, 105, 238–247. [Google Scholar] [CrossRef]
- Chishaki, A.S.; Li, F.-J.; Takeshita, A.; Chishaki, H. Different features of ventricular arrhythmias and the RR-interval dynamics in atrial fibrillation related to the patient’s clinical characteristics: An analysis using RR-interval plotting. J. Electrocardiol. 2004, 37, 207–217. [Google Scholar] [CrossRef]
- Rashba, E.J.; NA, E.I. Is there a mechanistic link between atrial fibrillation and vulnerability to ventricular arrhythmias? J. Cardiovasc. Electrophysiol. 2011, 22, 1253–1255. [Google Scholar] [CrossRef] [PubMed]
- Lopes, R.D.; Rordorf, R.; De Ferrari, G.M.; Leonardi, S.; Thomas, L.; Wojdyla, D.M.; Ridefelt, P.; Lawrence, J.H.; De Caterina, R.; Vinereanu, D.; et al. Digoxin and Mortality in Patients With Atrial Fibrillation. J. Am. Coll. Cardiol. 2018, 71, 1063–1074. [Google Scholar] [CrossRef] [PubMed]
- Allen, L.A.; Fonarow, G.C.; Simon, D.N.; Thomas, L.E.; Marzec, L.N.; Pokorney, S.D.; Gersh, B.J.; Go, A.S.; Hylek, E.M.; Kowey, P.R.; et al. Digoxin Use and Subsequent Outcomes Among Patients in a Contemporary Atrial Fibrillation Cohort. J. Am. Coll. Cardiol. 2015, 65, 2691–2698. [Google Scholar] [CrossRef]
Disclaimer/Publisher’s Note: The statements, opinions and data contained in all publications are solely those of the individual author(s) and contributor(s) and not of MDPI and/or the editor(s). MDPI and/or the editor(s) disclaim responsibility for any injury to people or property resulting from any ideas, methods, instructions or products referred to in the content. |
© 2024 by the authors. Licensee MDPI, Basel, Switzerland. This article is an open access article distributed under the terms and conditions of the Creative Commons Attribution (CC BY) license (https://creativecommons.org/licenses/by/4.0/).