Serum Advanced Glycation End Products and Their Soluble Receptor as New Biomarkers in Systemic Lupus Erythematosus
Abstract
1. Introduction
2. Materials and Methods
2.1. Subjects
2.2. Variables
2.3. Assessment of Specific Serum AGEs
- -
- Human pentosidine sandwich ELISA kit (Cusabio Biotech Co., Ltd. Wuhan, China, CSB-E09415h); sensitivity 7.81 pmol/mL; precision measured as coefficient of variation < 8% (intra-assay), <10% (inter-assay).
- -
- Human CML sandwich ELISA kit (Cusabio Biotech Co., Ltd., Wuhan, China CSB-E12798h); sensitivity 15.6 pg/mL; precision measured as co-efficient of variation < 8% (intra-assay), <10% (inter-assay).
- -
- Human CEL sandwich ELISA kit (Cusabio Biotech Co., Ltd., Wuhan, China CSB-EQ027210HU); sensitivity 0.078 nmol/mL; precision measured as coefficient of variation < 8% (intra-assay), <10% (inter-assay).
- -
- Human receptor for AGEs, (RAGE/AGER) sandwich ELISA kit (Cusabio Biotech Co., Wuhan, China Ltd., CSB-E09354h); sensitivity 19.5 pg/mL; precision measured as coefficient of variation < 8% (intra-assay), <10% (inter-assay).
2.4. Statistical Methods
3. Results
3.1. Pentosidine
3.1.1. Characteristics of SLE Patients According to Pentosidine Levels: Exploratory Analysis
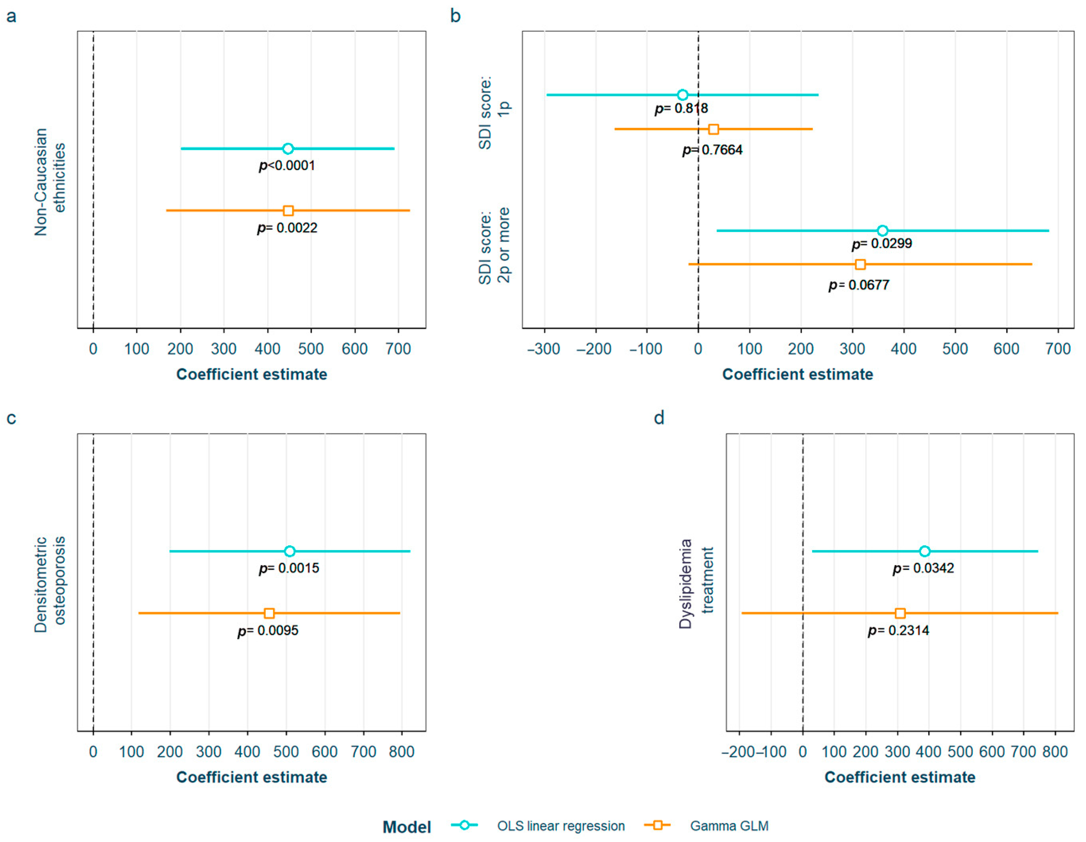
3.1.2. Correlations between Pentosidine and SLE Characteristics: Multivariate Analysis
3.2. CML
3.2.1. Characteristics of SLE Patients According to CML Levels: Exploratory Analysis
3.2.2. Correlations between CML and SLE Characteristics: Multivariate Analysis
3.3. CEL
3.3.1. Characteristics of SLE Patients According to CEL Levels: Exploratory Analysis
3.3.2. Correlations between CEL and SLE Characteristics: Multivariate Analysis
3.4. Serum Receptor for Advanced Glycation End Products (sRAGE)
3.4.1. Characteristics of SLE Patients According to sRAGE Levels: Exploratory Analysis
3.4.2. Correlations between sRAGE Levels and SLE Characteristics: Multivariate Analysis
3.5. Ratios of Advanced Glycation End Products/Serum Soluble Receptor for Advanced Glycation End Products (AGEs/sRAGE)
3.5.1. Characteristics of SLE Patients According to Skin AGEs/sRAGE or Specific Serum AGEs/sRAGE
3.5.2. Correlations between Skin AGEs/sRAGE or Specific Serum AGEs/sRAGE and SLE Characteristics: Multivariate Analysis
4. Discussion
5. Conclusions
Supplementary Materials
Author Contributions
Funding
Institutional Review Board Statement
Informed Consent Statement
Data Availability Statement
Acknowledgments
Conflicts of Interest
References
- Pan, L.; Lu, M.P.; Wang, J.H.; Xu, M.; Yang, S.R. Immunological Pathogenesis and Treatment of Systemic Lupus Erythematosus. World J. Pediatr. 2020, 16, 19–31. [Google Scholar] [CrossRef]
- Medzhitov, R. Origin and Physiological Roles of Inflammation. Nature 2008, 454, 428–435. [Google Scholar] [CrossRef]
- Gkogkolou, P.; Böhm, M. Advanced Glycation End Products: Keyplayers in Skin Aging? Dermato-Endocrinology 2012, 4, 259–270. [Google Scholar] [CrossRef]
- Baynes, J.W. Chemical Modification of Proteins by Lipids in Diabetes. Clin. Chem. Lab. Med. 2003, 41, 1159–1165. [Google Scholar] [CrossRef] [PubMed]
- Del Turco, S.; Basta, G. An Update on Advanced Glycation Endproducts and Atherosclerosis. BioFactors 2012, 38, 266–274. [Google Scholar] [CrossRef] [PubMed]
- Sugiyama, S.; Miyata, T.; Inagi, R.; Kurokawa, K. Implication of the Glycoxidation and Lipoxidation Reactions in the Pathogenesis of Dialysis-Related Amyloidosis (Review). Int. J. Mol. Med. 1998, 2, 561–565. [Google Scholar] [CrossRef] [PubMed]
- Li, J.; Liu, D.; Sun, L.; Lu, Y.; Zhang, Z. Advanced Glycation End Products and Neurodegenerative Diseases: Mechanisms and Perspective. J. Neurol. Sci. 2012, 317, 1–5. [Google Scholar] [CrossRef] [PubMed]
- Thorpe, S.R.; Baynes, J.W. Maillard Reaction Products in Tissue Proteins: New Products and New Perspectives. Amino Acids 2003, 25, 275–281. [Google Scholar] [CrossRef] [PubMed]
- Perrone, A.; Giovino, A.; Benny, J.; Martinelli, F. Advanced Glycation End Products (AGEs): Biochemistry, Signaling, Analytical Methods, and Epigenetic Effects. Oxid. Med. Cell. Longev. 2020, 3818196. [Google Scholar] [CrossRef] [PubMed]
- Vistoli, G.; De Maddis, D.; Cipak, A.; Zarkovic, N.; Carini, M.; Aldini, G. Advanced Glycoxidation and Lipoxidation End Products (AGEs and ALEs): An Overview of Their Mechanisms of Formation. Free Radic. Res. 2013, 47, 3–27. [Google Scholar] [CrossRef] [PubMed]
- Kurien, B.T.; Hensley, K.; Bachmann, M.; Scofield, R.H. Oxidatively Modified Autoantigens in Autoimmune Diseases. Free Radic. Biol. Med. 2006, 41, 549–556. [Google Scholar] [CrossRef]
- Pullerits, R.; Bokarewa, M.; Dahlberg, L.; Tarkowski, A. Decreased Levels of Soluble Receptor for Advanced Glycation End Products in Patients with Rheumatoid Arthritis Indicating Deficient Inflammatory Control. Arthritis Res. Ther. 2005, 7, R817–R824. [Google Scholar] [CrossRef]
- Chiappalupi, S.; Sorci, G.; Vukasinovic, A.; Salvadori, L.; Sagheddu, R.; Coletti, D.; Renga, G.; Romani, L.; Donato, R.; Riuzzi, F. Targeting RAGE Prevents Muscle Wasting and Prolongs Survival in Cancer Cachexia. J. Cachexia Sarcopenia Muscle 2020, 11, 929–946. [Google Scholar] [CrossRef] [PubMed]
- Sárkány, Z.; Ikonen, T.P.; Ferreira-da-Silva, F.; Saraiva, M.J.; Svergun, D.; Damas, A.M. Solution Structure of the Soluble Receptor for Advanced Glycation End Products (SRAGE). J. Biol. Chem. 2011, 286, 37525–37534. [Google Scholar] [CrossRef]
- Geroldi, D.; Falcone, C.; Emanuele, E. Soluble Receptor for Advanced Glycation End Products: From Disease Marker to Potential Therapeutic Target. Curr. Med. Chem. 2006, 13, 1971–1978. [Google Scholar] [CrossRef] [PubMed]
- Prasad, K.; Dhar, I.; Zhou, Q.; Elmoselhi, H.; Shoker, M.; Shoker, A. AGEs/SRAGE, a Novel Risk Factor in the Pathogenesis of End-Stage Renal Disease. Mol. Cell. Biochem. 2016, 423, 105–114. [Google Scholar] [CrossRef] [PubMed]
- Prasad, K.; Dhar, I.; Caspar-Bell, G. Role of Advanced Glycation End Products and Its Receptors in the Pathogenesis of Cigarette Smoke-Induced Cardiovascular Disease. Int. J. Angiol. 2014, 24, 75–80. [Google Scholar] [CrossRef]
- Prasad, K. Is There Any Evidence That AGE/SRAGE Is a Universal Biomarker/Risk Marker for Diseases? Mol. Cell. Biochem. 2019, 451, 139–144. [Google Scholar] [CrossRef]
- Gelžinský, J.; Mayer, O.; Seidlerová, J.; Mateřánková, M.; Mareš, Š.; Kordíkova, V.; Trefil, L.; Cífková, R.; Filipovský, J. Serum Biomarkers, Skin Autofluorescence and Other Methods. Which Parameter Better Illustrates the Relationship between Advanced Glycation End Products and Arterial Stiffness in the General Population? Hypertens. Res. 2021, 44, 518–527. [Google Scholar] [CrossRef] [PubMed]
- Nienhuis, H.L.; de Leeuw, K.; Bijzet, J.; Smit, A.; Schalkwijk, C.G.; Graaff, R.; Kallenberg, C.G.; Bijl, M. Skin Autofluorescence Is Increased in Systemic Lupus Erythematosus but Is Not Reflected by Elevated Plasma Levels of Advanced Glycation Endproducts. Rheumatology 2008, 47, 1554–1558. [Google Scholar] [CrossRef]
- Nisihara, R.; Skare, T.; Picceli, V.F.; Ambrosio, A.; Ferreira, C.; Baracho, F.; Messias-Reason, I. Serum Pentosidine Levels in Systemic Lupus Erythematosus. Pract. Lab. Med. 2021, 23, e00197. [Google Scholar] [CrossRef]
- Chen, D.Y.; Chen, Y.M.; Lin, C.C.; Hsieh, C.W.; Wu, Y.C.; Hung, W.T.; Chen, H.H.; Lan, J.L. The Potential Role of Advanced Glycation End Products (AGEs) and Soluble Receptors for AGEs (SRAGE) in the Pathogenesis of Adult-Onset Still’s Disease. BMC Musculoskelet. Disord. 2015, 16, 111. [Google Scholar] [CrossRef] [PubMed][Green Version]
- Nowak, A.; Przywara-Chowaniec, B.; Damasiewicz-Bodzek, A.; Blachut, D.; Nowalany-Kozielska, E.; Tyrpień-Golder, K. Advanced Glycation End-Products (Ages) and Their Soluble Receptor (Srage) in Women Suffering from Systemic Lupus Erythematosus (Sle). Cells 2021, 10, 3523. [Google Scholar] [CrossRef]
- Ene, C.D.; Georgescu, S.R.; Tampa, M.; Matei, C.; Mitran, C.I.; Mitran, M.I.; Penescu, M.N.; Nicolae, I. Cellular Response against Oxidative Stress, a Novel Insight into Lupus Nephritis Pathogenesis. J. Pers. Med. 2021, 11, 693. [Google Scholar] [CrossRef] [PubMed]
- Bobek, D.; Grčević, D.; Kovačić, N.; Lukić, K.K.; Jelušić, M. The Presence of High Mobility Group Box-1 and Soluble Receptor for Advanced Glycation End-Products in Juvenile Idiopathic Arthritis and Juvenile Systemic Lupus Erythematosus. Pediatr. Rheumatol. 2014, 12, 50. [Google Scholar] [CrossRef]
- Bayoumy, N. A Soluble Receptor for Advanced Glycation End Product Levels in Patients with Systemic Lupus Erythematosus. Turk. J. Rheumatol. 2013, 28, 101–108. [Google Scholar] [CrossRef]
- Ma, C.Y.; Ma, J.L.; Jiao, Y.L.; Li, J.F.; Wang, L.C.; Yang, Q.R.; You, L.; Cui, B.; Chen, Z.J.; Zhao, Y.R. The Plasma Level of Soluble Receptor for Advanced Glycation End Products Is Decreased in Patients with Systemic Lupus Erythematosus. Scand. J. Immunol. 2012, 75, 614–622. [Google Scholar] [CrossRef]
- Yu, S.L.; Wong, C.K.; Szeto, C.C.; Li, E.K.; Cai, Z.; Tam, L.S. Members of the Receptor for Advanced Glycation End Products Axis as Potential Therapeutic Targets in Patients with Lupus Nephritis. Lupus 2015, 24, 675–686. [Google Scholar] [CrossRef] [PubMed]
- Lee, S.W.; Park, K.H.; Park, S.; Kim, J.H.; Hong, S.Y.; Lee, S.K.; Choi, D.; Park, Y.B. Soluble Receptor for Advanced Glycation End Products Alleviates Nephritis in (NZB/NZW)F1 Mice. Arthritis Rheum. 2013, 65, 1902–1912. [Google Scholar] [CrossRef]
- Manganelli, V.; Truglia, S.; Capozzi, A.; Alessandri, C.; Riitano, G.; Spinelli, F.R.; Ceccarelli, F.; Mancuso, S.; Garofalo, T.; Longo, A.; et al. Alarmin HMGB1 and Soluble RAGE as New Tools to Evaluate the Risk Stratification in Patients with the Antiphospholipid Syndrome. Front. Immunol. 2019, 10, 460. [Google Scholar] [CrossRef]
- De Leeuw, K.; Freire, B.; Smit, A.J.; Bootsma, H.; Kallenberg, C.G.; Bijl, M. Traditional and Non-Traditional Risk Factors Contribute to the Development of Accelerated Atherosclerosis in Patients with Systemic Lupus Erythematosus. Lupus 2006, 15, 675–682. [Google Scholar] [CrossRef]
- Nienhuis, H.L.A.; de Leeuw, K.; Bijzet, J.; van Doormaal, J.J.; van Roon, A.M.; Smit, A.J.; Graaff, R.; Kallenberg, C.G.M.; Bijl, M. Small Artery Elasticity Is Decreased in Patients with Systemic Lupus Erythematosus without Increased Intima Media Thickness. Arthritis Res. Ther. 2010, 12, R181. [Google Scholar] [CrossRef]
- Wang, H.; Zeng, Y.; Zheng, H.; Liu, B. Association between SRAGE and Arterial Stiffness in Women with Systemic Lupus Erythematosus. Endocr. Metab. Immune Disord. Drug Targets 2020, 21, 504–510. [Google Scholar] [CrossRef]
- Tydén, H.; Lood, C.; Gullstrand, B.; Jönsen, A.; Nived, O.; Sturfelt, G.; Truedsson, L.; Ivars, F.; Leanderson, T.; Bengtsson, A.A. Increased Serum Levels of S100A8/A9 and S100A12 Are Associated with Cardiovascular Disease in Patients with Inactive Systemic Lupus Erythematosus. Rheumatology 2013, 52, 2048–2055. [Google Scholar] [CrossRef]
- de Leeuw, K.; Graaff, R.; de Vries, R.; Dullaart, R.P.; Smit, A.J.; Kallenberg, C.G.; Bijl, M. Accumulation of Advanced Glycation Endproducts in Patients with Systemic Lupus Erythematosus. Rheumatology 2007, 46, 1551–1556. [Google Scholar] [CrossRef]
- Hochberg, M.C. Updating the American College of Rheumatology Revised Criteria for the Classification of Systemic Lupus Erythematosus. Arthritis Rheum. 1997, 40, 1725. [Google Scholar] [CrossRef] [PubMed]
- Petri, M.; Orbai, A.M.; Alarcõn, G.S.; Gordon, C.; Merrill, J.T.; Fortin, P.R.; Bruce, I.N.; Isenberg, D.; Wallace, D.J.; Nived, O.; et al. Derivation and Validation of the Systemic Lupus International Collaborating Clinics Classification Criteria for Systemic Lupus Erythematosus. Arthritis Rheum. 2012, 64, 2677–2686. [Google Scholar] [CrossRef] [PubMed]
- Meerwaldt, R.; Graaf, R.; Oomen, P.H.N.; Links, T.P.; Jager, J.J.; Alderson, N.L.; Thorpe, S.R.; Baynes, J.W.; Gans, R.O.B.; Smit, A.J. Simple Non-Invasive Assessment of Advanced Glycation Endproduct Accumulation. Diabetologia 2004, 47, 1324–1330. [Google Scholar] [CrossRef] [PubMed]
- Katsuoka, F.; Kawakami, Y.; Arai, T.; Imuta, H.; Fujiwara, M.; Kanma, H.; Yamashita, K. Type II Alveolar Epithelial Cells in Lung Express Receptor for Advanced Glycation End Products (RAGE) Gene. Biochem. Biophys. Res. Commun. 1997, 238, 512–516. [Google Scholar] [CrossRef] [PubMed]
- Englert, J.M.; Hanford, L.E.; Kaminski, N.; Tobolewski, J.M.; Tan, R.J.; Fattman, C.L.; Ramsgaard, L.; Richards, T.J.; Loutaev, I.; Nawroth, P.P.; et al. A Role for the Receptor for Advanced Glycation End Products in Idiopathic Pulmonary Fibrosis. Am. J. Pathol. 2008, 172, 583–591. [Google Scholar] [CrossRef]
- Oczypok, E.A.; Perkins, T.N.; Oury, T.D. All the “RAGE” in Lung Disease: The Receptor for Advanced Glycation Endproducts (RAGE) Is a Major Mediator of Pulmonary Inflammatory Responses. Paediatr. Respir. Rev. 2017, 23, 40–49. [Google Scholar] [CrossRef] [PubMed]
- Kanazawa, H.; Tochino, Y.; Kyoh, S.; Ichimaru, Y.; Asai, K.; Hirata, K. Potential Roles of Pentosidine in Age-Related and Disease-Related Impairment of Pulmonary Functions in Patients with Asthma. J. Allergy Clin. Immunol. 2011, 127, 899–904. [Google Scholar] [CrossRef]
- Tamagaki, G.; Kanazawa, H.; Hirata, K. Association of Airway Pentosidine Levels with Bronchodilator Response Mediated by Salbutamol Administration in Asthmatic Patients. Pulm. Pharmacol. Ther. 2012, 25, 478–482. [Google Scholar] [CrossRef] [PubMed]
- Damasiewicz-Bodzek, A.; Łabuz-Roszak, B.; Kumaszka, B.; Tyrpień-Golder, K. Carboxymethyllysine and Carboxyethyllysine in Multiple Sclerosis Patients. Arch. Med. Sci. 2020, 73, 69–74. [Google Scholar] [CrossRef]
- Pan, N.; Amigues, I.; Lyman, S.; Duculan, R.; Aziz, F.; Crow, M.K.; Kirou, K.A. A Surge in Anti-DsDNA Titer Predicts a Severe Lupus Flare within Six Months. Lupus 2014, 23, 293–298. [Google Scholar] [CrossRef] [PubMed]
- Rojo, R.; Alén, J.C.; Prada, Á.; Valor, S.; Roy, G.; López-Hoyos, M.; Cervera, R.; Mateos, P.S.; Roger, A.J. Recommendations for the Use of Anti-DsDNA Autoantibodies in the Diagnosis and Follow-up of Systemic Lupus Erythematosus—A Proposal from an Expert Panel. Autoimmun. Rev. 2023, 22, 103479. [Google Scholar] [CrossRef]
- Ding, J.; Su, S.; You, T.; Xia, T.; Lin, X.; Chen, Z.; Zhang, L. Serum Interleukin-6 Level Is Correlated with the Disease Activity of Systemic Lupus Erythematosus: A Meta-Analysis. Clinics 2020, 75, e1801. [Google Scholar] [CrossRef]
- González, L.A.; Santamaría-Alza, Y.; Alarcón, G.S. Organ Damage in Systemic Lupus Erythematosus. Rev. Colomb. Reumatol. 2021, 28, 66–81. [Google Scholar] [CrossRef]
- Crosslin, K.L.; Wiginton, K.L. The Impact of Race and Ethnicity on Disease Severity in Systemic Lupus Erythematosus. Ethn. Dis. 2009, 19, 301–307. [Google Scholar]
- Ramírez Sepúlveda, J.I.; Bolin, K.; Mofors, J.; Leonard, D.; Svenungsson, E.; Jönsen, A.; Bengtsson, C.; Wahren-Herlenius, M.; Zickert, A.; Björk, A.; et al. Sex Differences in Clinical Presentation of Systemic Lupus Erythematosus. Biol. Sex Differ. 2019, 10, 1–7. [Google Scholar] [CrossRef]
- Corbin, D.; Christian, L.; Rapp, C.M.; Liu, L.; Rohan, C.A.; Travers, J.B. New Concepts on Abnormal UV Reactions in Systemic Lupus Erythematosus and a Screening Tool for Assessment of Photosensitivity. Skin Res. Technol. 2023, 29, e13247. [Google Scholar] [CrossRef]
- Athanassiou, P.; Athanassiou, L. Current Treatment Approach, Emerging Therapies and New Horizons in Systemic Lupus Erythematosus. Life 2023, 13, 1496–1516. [Google Scholar] [CrossRef]
- Petri, M. Use of Hydroxychloroquine to Prevent Thrombosis in Systemic Lupus Erythematosus and in Antiphospholipid Antibody-Positive Patients. Curr. Rheumatol. Rep. 2011, 13, 77–80. [Google Scholar] [CrossRef]
- Lan, L.; Han, F.; Lang, X.; Chen, J. Monocyte Chemotactic Protein-1, Fractalkine, and Receptor for Advanced Glycation End Products in Different Pathological Types of Lupus Nephritis and Their Value in Different Treatment Prognoses. PLoS ONE 2016, 11, e0159964. [Google Scholar] [CrossRef]
- Wild, G.E.; Waschke, K.A.; Bitton, A.; Thomson, A.B.R. The Mechanisms of Prednisone Inhibition of Inflammation in Crohn’s Disease Involve Changes in Intestinal Permeability, Mucosal TNFα Production and Nuclear Factor Kappa B Expression. Aliment. Pharmacol. Ther. 2003, 18, 309–317. [Google Scholar] [CrossRef]
- Al-Homsi, A.S.; Lai, Z.; Roy, T.S.; Al-Malki, M.M.; Kouttab, N.; Junghans, R.P. Post-Transplant Cyclophosphamide and Bortezomib Inhibit Dendritic Cell Maturation and Function and Alter Their IκB and NFκB. Transpl. Immunol. 2014, 30, 40–45. [Google Scholar] [CrossRef] [PubMed]
- Sternberg, Z.; Kolb, C.; Chadha, K.; Nir, A.; Nir, R.; George, R.; Johnson, J.; Yu, J.; Hojnacki, D. Fingolimod Anti-Inflammatory and Neuroprotective Effects Modulation of RAGE Axis in Multiple Sclerosis Patients. Neuropharmacology 2018, 130, 71–76. [Google Scholar] [CrossRef] [PubMed]
- Gross, S.; Van Ree, R.M.; Oterdoom, L.H.; De Vries, A.P.J.; Van Son, W.J.; De Jong, P.E.; Navis, G.J.; Zuurman, M.W.; Bierhaus, A.; Gans, R.O.B.; et al. Low Levels of SRAGE Are Associated with Increased Risk for Mortality in Renal Transplant Recipients. Transplantation 2007, 84, 659–663. [Google Scholar] [CrossRef] [PubMed]
- Rodríguez-García, J.; Requena, J.R.; Rodríguez-Segade, S. Increased Concentrations of Serum Pentosidine in Rheumatoid Arthritis. Clin. Chem. 1998, 15, 675–682. [Google Scholar] [CrossRef]
- Okuyucu, M.; Kehribar, D.; Çelik, Z.B.; Özgen, M. An Investigation of the Relationship between Rheumatological Diseases and Soluble Receptor for Advanced Glycation End Products. Eur. Rev. Med. Pharmacol. Sci. 2022, 26, 3450–3455. [Google Scholar] [PubMed]








| Variables | All |
|---|---|
| N = 122 | |
| Gender: Female | 114 (93.4%) |
| Body mass index | 25.4 (4.74) |
| Ethnicity | |
| Caucasian | 81 (66.4%) |
| Latin | 29 (23.8%) |
| Other | 12 (9.84%) |
| Age | 50.4 (14.9) |
| Smoker | 32 (26.2%) |
| cDisease duration (years) | |
| 0–5 | 50 (41.0%) |
| 6–10 | 16 (13.1%) |
| 11–20 | 33 (27.0%) |
| >20 | 23 (18.9%) |
| Serological Variables | |
| ESR * | 11.0 [5.00; 20.0] |
| cCRP * | |
| [0.03, 0.12) | 45 (37.2%) |
| [0.12, 0.28) | 36 (29.8%) |
| [0.28, 3.92] | 40 (33.1%) |
| cIL-6 * | |
| [0.63, 1.88) | 36 (33.3%) |
| [1.88, 3.33) | 36 (33.3%) |
| [3.33, 144.10] | 36 (33.3%) |
| ANA+ * | 112 (92.6%) |
| Anti-dsDNA+ * | 4.00 [1.00; 13.0] |
| Anti-Ro52+ * | 26 (21.8%) |
| Anti-Ro60+ * | 45 (37.8%) |
| CH50 * | 60.3 [51.8; 70.9] |
| C3 * | 106 (22.3) |
| C4 * | 19.8 (8.23) |
| SLE Activity Indexes | |
| cDAS28 | |
| 0—Remission | 78 (65.0%) |
| 1—Low activity | 15 (12.5%) |
| 2—Moderate activity | 21 (17.5%) |
| 3—High activity | 6 (5.00%) |
| cSLEDAI | |
| Remission/Mild | 71 (58.7%) |
| Moderate | 39 (32.2%) |
| Severe | 11 (9.09%) |
| SDI | 0.00 [0.00; 1.00] |
| cSDI_3 | |
| 0–2 | 110 (90.9%) |
| 3–4 | 8 (6.61%) |
| 5–6 | 3 (2.48%) |
| PGA | 2.00 [1.00; 3.00] |
| Patient-Reported Outcomes | |
| HAQ | 0.38 [0.00; 0.88] |
| Patient pain VAS | 2.00 [0.00; 6.00] |
| FACIT | 17.5 [10.0; 27.0] |
| PtGA | 2.75 [1.00; 5.00] |
| Comorbidities and Cardiovascular Disease | |
| Hypertension | 26 (21.3%) |
| Dyslipidemia | 12 (9.84%) |
| Cardiovascular disease | 5 (4.10%) |
| Chronic renal disease | 3 (2.46%) |
| Hyperuricemia | 2 (1.64%) |
| Obesity | 22 (18.0%) |
| CVRF > 0 | 47 (38.5%) |
| CVE | 9 (7.38%) |
| CVRF and CVE > 0 | 48 (39.3%) |
| Treatments | |
| GC | 30 (24.6%) |
| Current dose of GC | 5.00 [2.50; 10.0] |
| Antimalarials | 93 (76.2%) |
| cDMARD | 19 (15.6%) |
| bDMARD | 6 (4.92%) |
| Azathioprine | 19 (15.6%) |
| Mycophenolic acid | 20 (16.4%) |
| Tacrolimus | 1 (0.82%) |
| cTreatment | |
| No IS | 66 (54.1%) |
| IS | 56 (45.9%) |
| Variables | First Tertile [0, 1180) | Second Tertile [1180, 1594) | Third Tertile [1594, 4334] | p-Value |
|---|---|---|---|---|
| N = 39 | N = 39 | N = 39 | ||
| Classificatory Criteria and Other Clinical and Serological Data | ||||
| Direct Coombs+ ever | 4 (16.7%) | 4 (21.1%) | 1 (4.17%) | 0.063 |
| Pulmonary ever | 0 (0.00%) | 2 (5.13%) | 3 (7.69%) | <0.001 |
| Disease Activity Indexes | ||||
| SLE-DAS | 4.18 [1.78; 7.28] | 1.79 [1.20; 6.15] | 2.53 [0.82; 4.86] | 0.087 |
| Serological Variables | ||||
| Total bilirubin * | 0.32 [0.25; 0.48] | 0.32 [0.26; 0.38] | 0.35 [0.23; 0.41] | 0.097 |
| Hematuria * | 0.00 [0.00; 0.00] | 0.00 [0.00; 0.00] | 0.00 [0.00; 0.00] | 0.027 |
| UPCR | 84.6 [68.5; 133] | 82.3 [63.5; 108] | 74.7 [54.9; 90.7] | 0.093 |
| Comorbidities and Cardiovascular Disease | ||||
| Densitometric OP | 4 (10.3%) | 7 (17.9%) | 7 (17.9%) | 0.077 |
| CVE_SDI | 0.091 | |||
| 0 | 37 (94.9%) | 34 (87.2%) | 37 (94.9%) | |
| 1 | 2 (5.13%) | 4 (10.3%) | 0 (0.00%) | |
| 2 | 0 (0.00%) | 1 (2.56%) | 2 (5.13%) | |
| Treatments | ||||
| Tacrolimus | 1 (2.56%) | 0 (0.00%) | 0 (0.00%) | 0.093 |
| Other AGEs | ||||
| Skin AGEs | 0.065 | |||
| <1SD | 1 (2.56%) | 1 (2.56%) | 4 (10.3%) | |
| 1SD-Means | 4 (10.3%) | 3 (7.69%) | 6 (15.4%) | |
| Means | 1 (2.56%) | 2 (5.13%) | 1 (2.56%) | |
| Means–>1SD | 12 (30.8%) | 10 (25.6%) | 12 (30.8%) | |
| >1SD | 21 (53.8%) | 23 (59.0%) | 16 (41.0%) | |
| Variables | First Tertile [57.6, 240) | Second Tertile [239.8, 383) | Third Tertile [382.9, 1555] | p-Value |
|---|---|---|---|---|
| N = 39 | N = 39 | N = 39 | ||
| Demographic variables | ||||
| Ethnicity 3 categories | 0.023 | |||
| Caucasian | 30 (76.9%) | 29 (74.4%) | 20 (51.3%) | |
| Latin | 6 (15.4%) | 7 (17.9%) | 14 (35.9%) | |
| Others | 3 (7.69%) | 3 (7.69%) | 5 (12.8%) | |
| Ethnicity 2 categories | 0.006 | |||
| Caucasian | 30 (76.9%) | 29 (74.4%) | 20 (51.3%) | |
| Others | 9 (23.1%) | 10 (25.6%) | 19 (48.7%) | |
| Disease-related variables | ||||
| Years of duration | 4.00 [1.00; 14.5] | 12.0 [4.00; 18.5] | 12.0 [4.00; 21.0] | 0.037 |
| cYears of duration | 0.088 | |||
| 0–5 | 22 (56.4%) | 13 (33.3%) | 12 (30.8%) | |
| 6–10 | 5 (12.8%) | 6 (15.4%) | 5 (12.8%) | |
| 11–20 | 9 (23.1%) | 12 (30.8%) | 11 (28.2%) | |
| >20 | 3 (7.69%) | 8 (20.5%) | 11 (28.2%) | |
| Tertiles years of duration | 0.020 | |||
| [0, 5) | 21 (53.8%) | 11 (28.2%) | 10 (25.6%) | |
| [5, 16) | 12 (30.8%) | 14 (35.9%) | 14 (35.9%) | |
| [16, 45] | 6 (15.4%) | 14 (35.9%) | 15 (38.5%) | |
| Classificatory Criteria and Other Clinical and Serological Data | ||||
| Renal disease ever | 0 (0.00%) | 1 (2.56%) | 7 (17.9%) | 0.019 |
| Disease Activity Indexes | ||||
| PGA | 1.00 [1.00; 2.00] | 2.00 [1.00; 3.00] | 2.00 [1.00; 3.00] | 0.094 |
| Swollen joints | 0.00 [0.00; 0.00] | 0.00 [0.00; 0.00] | 0.00 [0.00; 0.00] | 0.093 |
| Serological variables | ||||
| IL-6 tertiles * | 0.050 | |||
| [0.44, 1.88) | 15 (40.5%) | 12 (30.8%) | 11 (28.9%) | |
| [1.88, 3.24) | 13 (35.1%) | 18 (46.2%) | 7 (18.4%) | |
| [3.24, 39.38] | 9 (24.3%) | 9 (23.1%) | 20 (52.6%) | |
| Comorbidities and Cardiovascular Disease | ||||
| Densitometric OP | 5 (12.8%) | 4 (10.3%) | 9 (23.1%) | 0.034 |
| Treatments | ||||
| Dyslipidemia drugs | 4 (10.3%) | 1 (2.56%) | 9 (23.1%) | 0.004 |
| Mycophenolic acid | 2 (5.13%) | 6 (15.4%) | 12 (30.8%) | 0.012 |
| Glucocorticoids | 8 (20.5%) | 4 (10.3%) | 18 (46.2%) | <0.001 |
| Other AGEs | ||||
| CEL | 2.45 [2.09; 3.71] | 3.17 [2.47; 3.66] | 3.99 [2.48; 4.68] | 0.064 |
| Variables | First Tertile [0.823, 2.79) | Second Tertile [2.793, 4.56) | Third Tertile [4.564, 31.68] | p-Value |
|---|---|---|---|---|
| N = 38 | N = 37 | N = 16 | ||
| Demographic variables | ||||
| Smoker | 3 (7.89%) | 8 (21.6%) | 8 (50.0%) | 0.087 |
| Classificatory Criteria and Other Clinical Data | ||||
| Constitutional ever | 3 (7.89%) | 4 (10.8%) | 1 (6.25%) | 0.046 |
| Photosensitivity ever | 20 (52.6%) | 27 (73.0%) | 13 (81.2%) | 0.089 |
| Manifestations | 0.006 | |||
| 3 | 2 (5.26%) | 0 (0.00%) | 0 (0.00%) | |
| 4 | 2 (5.26%) | 1 (2.70%) | 0 (0.00%) | |
| 5 | 7 (18.4%) | 3 (8.11%) | 0 (0.00%) | |
| 6 | 9 (23.7%) | 10 (27.0%) | 2 (12.5%) | |
| 7 | 8 (21.1%) | 8 (21.6%) | 5 (31.2%) | |
| 8 | 6 (15.8%) | 4 (10.8%) | 3 (18.8%) | |
| 9 | 3 (7.89%) | 6 (16.2%) | 2 (12.5%) | |
| 10 | 0 (0.00%) | 3 (8.11%) | 1 (6.25%) | |
| 11 | 1 (2.63%) | 1 (2.70%) | 3 (18.8%) | |
| 12 | 0 (0.00%) | 1 (2.70%) | 0 (0.00%) | |
| Disease Activity Indexes | ||||
| cSLE-DAS | 0.091 | |||
| First tertile [0.82, 1.79) | 19 (52.8%) | 16 (47.1%) | 2 (12.5%) | |
| Second tertile [1.79, 5.31) | 6 (16.7%) | 10 (29.4%) | 5 (31.2%) | |
| Third tertile [5.31, 23.31] | 11 (30.6%) | 8 (23.5%) | 9 (56.2%) | |
| Serological variables | ||||
| Glucose * | 87.8 (12.4) | 82.4 (8.96) | 81.2 (7.69) | 0.049 |
| CRP * | 0.12 [0.07; 0.28] | 0.17 [0.11; 0.30] | 0.16 [0.07; 0.54] | <0.001 |
| ESR * | 8.00 [4.25; 20.0] | 10.5 [6.00; 15.0] | 13.5 [7.00; 21.5] | 0.054 |
| Anti-dsDNA+ ever | 23 (60.5%) | 26 (70.3%) | 14 (87.5%) | 0.025 |
| Anti-dsDNA+ * | 2.50 [1.00;10.8] | 5.00 [1.00; 13.0] | 15.5 [1.75; 40.2] | <0.001 |
| Anti-dsDNA > RV * | 10 (26.3%) | 10 (27.8%) | 9 (56.2%) | 0.018 |
| Anti-dsDNA tertiles * | 0.054 | |||
| [0, 2) | 16 (42.1%) | 14 (38.9%) | 4 (25.0%) | |
| [2, 11) | 12 (31.6%) | 12 (33.3%) | 3 (18.8%) | |
| [11, 300] | 10 (26.3%) | 10 (27.8%) | 9 (56.2%) | |
| Anti-dsDNA presence * | 10 (26.3%) | 10 (27.8%) | 9 (56.2%) | 0.018 |
| Anti-Ro60+ ever | 7 (18.4%) | 19 (51.4%) | 6 (37.5%) | 0.097 |
| Anti-Ro60 presence * | 7 (18.9%) | 17 (47.2%) | 6 (37.5%) | 0.086 |
| Anti-Ro52+ ever | 4 (10.5%) | 12 (32.4%) | 5 (31.2%) | 0.060 |
| C3 * | 111 (24.3) | 103 (19.2) | 98.8 (20.5) | 0.028 |
| IL-6 * | 1.98 [1.43; 3.77] | 2.21 [1.81; 2.96] | 3.92 [2.99; 6.03] | 0.003 |
| IL-6 > RV * | 4 (10.8%) | 2 (5.41%) | 4 (25.0%) | 0.002 |
| IL-6 tertiles * | 0.019 | |||
| [0.44, 1.88) | 16 (43.2%) | 13 (35.1%) | 1 (6.25%) | |
| [1.88, 3.24) | 10 (27.0%) | 15 (40.5%) | 4 (25.0%) | |
| [3.24, 39.38] | 11 (29.7%) | 9 (24.3%) | 11 (68.8%) | |
| UPCR * | 82.2 [66.2; 119] | 84.1 [63.0; 103] | 71.3 [50.1; 121] | 0.013 |
| Treatments | ||||
| Mycophenolic acid | 4 (10.5%) | 8 (21.6%) | 5 (31.2%) | 0.007 |
| NSAIDs | 3 (7.89%) | 4 (10.8%) | 2 (12.5%) | 0.038 |
| Treatment | 0.030 | |||
| Others | 6 (15.8%) | 3 (8.11%) | 0 (0.00%) | |
| Antimalarials | 19 (50.0%) | 13 (35.1%) | 4 (25.0%) | |
| IS | 13 (34.2%) | 21 (56.8%) | 12 (75.0%) | |
| Treatment2 | 0.009 | |||
| Non-IS | 25 (65.8%) | 16 (43.2%) | 4 (25.0%) | |
| IS | 13 (34.2%) | 21 (56.8%) | 12 (75.0%) | |
| Other AGEs | ||||
| CML | 281 [216; 374] | 302 [248; 444] | 464 [272; 711] | 0.064 |
| Variables | First Tertile [122, 384) | Second Tertile [384, 671) | Third Tertile [671, 2797] | p-Value |
|---|---|---|---|---|
| N = 40 | N = 40 | N = 39 | ||
| Demographic variables | ||||
| Gender: Female | 35 (87.5%) | 37 (92.5%) | 39 (100%) | 0.057 |
| Classificatory Criteria and Other Clinical and Serological Data | ||||
| Photosensitivity ever | 20 (50.0%) | 29 (72.5%) | 26 (66.7%) | 0.022 |
| Disease Activity Indexes | ||||
| DAS28 | 2.16 [1.49; 2.58] | 2.10 [1.43; 3.24] | 2.40 [1.57; 3.10] | 0.050 |
| cDAS28 | 0.008 | |||
| 0—Reference | 31 (79.5%) | 25 (62.5%) | 21 (55.3%) | |
| 1—Low Activity | 2 (5.13%) | 4 (10.0%) | 8 (21.1%) | |
| 2—Moderate Activity | 4 (10.3%) | 9 (22.5%) | 7 (18.4%) | |
| 3—High Activity | 2 (5.13%) | 2 (5.00%) | 2 (5.26%) | |
| Serological variables | ||||
| ESR tertiles * | 0.047 | |||
| [2, 7) | 13 (33.3%) | 17 (42.5%) | 12 (31.6%) | |
| [7, 17) | 12 (30.8%) | 10 (25.0%) | 15 (39.5%) | |
| [17, 81] | 14 (35.9%) | 13 (32.5%) | 11 (28.9%) | |
| Leukocyturia * | 0.00 [0.00; 1.00] | 0.00 [0.00; 1.00] | 0.00 [0.00; 1.00] | 0.022 |
| Patient-Reported Outcomes | ||||
| Pain VAS | 1.50 [0.00;5.00] | 2.50 [0.00;6.12] | 4.00 [0.00;6.00] | 0.033 |
| Comorbidities and Cardiovascular Disease | ||||
| APS | 4 (10.0%) | 1 (2.50%) | 0 (0.00%) | 0.097 |
| Pain VAS | 1.50 [0.00; 5.00] | 2.50 [0.00; 6.12] | 4.00 [0.00; 6.00] | 0.033 |
| Treatments | ||||
| bDMARDs | 0 (0.00%) | 2 (5.00%) | 4 (10.3%) | 0.002 |
| Antimalarials | 37 (92.5%) | 27 (67.5%) | 26 (66.7%) | 0.009 |
| Mycophenolic acid | 7 (17.5%) | 5 (12.5%) | 8 (20.5%) | 0.016 |
| Azathioprine | 2 (5.00%) | 9 (22.5%) | 7 (17.9%) | 0.065 |
| Glucocorticoids | 13 (32.5%) | 12 (30.0%) | 5 (12.8%) | 0.053 |
| Treatment | 0.016 | |||
| Others | 1 (2.50%) | 6 (15.0%) | 7 (17.9%) | |
| Antimalarials | 24 (60.0%) | 14 (35.0%) | 13 (33.3%) | |
| IS | 15 (37.5%) | 20 (50.0%) | 19 (48.7%) | |
| Treatment2 | 0.008 | |||
| Non-IS | 25 (62.5%) | 20 (50.0%) | 20 (51.3%) | |
| IS | 15 (37.5%) | 20 (50.0%) | 19 (48.7%) | |
Disclaimer/Publisher’s Note: The statements, opinions and data contained in all publications are solely those of the individual author(s) and contributor(s) and not of MDPI and/or the editor(s). MDPI and/or the editor(s) disclaim responsibility for any injury to people or property resulting from any ideas, methods, instructions or products referred to in the content. |
© 2024 by the authors. Licensee MDPI, Basel, Switzerland. This article is an open access article distributed under the terms and conditions of the Creative Commons Attribution (CC BY) license (https://creativecommons.org/licenses/by/4.0/).
Share and Cite
Carrión-Barberà, I.; Triginer, L.; Tío, L.; Pérez-García, C.; Ribes, A.; Abad, V.; Pros, A.; Monfort, J.; Salman-Monte, T.C. Serum Advanced Glycation End Products and Their Soluble Receptor as New Biomarkers in Systemic Lupus Erythematosus. Biomedicines 2024, 12, 610. https://doi.org/10.3390/biomedicines12030610
Carrión-Barberà I, Triginer L, Tío L, Pérez-García C, Ribes A, Abad V, Pros A, Monfort J, Salman-Monte TC. Serum Advanced Glycation End Products and Their Soluble Receptor as New Biomarkers in Systemic Lupus Erythematosus. Biomedicines. 2024; 12(3):610. https://doi.org/10.3390/biomedicines12030610
Chicago/Turabian StyleCarrión-Barberà, Irene, Laura Triginer, Laura Tío, Carolina Pérez-García, Anna Ribes, Victoria Abad, Ana Pros, Jordi Monfort, and Tarek Carlos Salman-Monte. 2024. "Serum Advanced Glycation End Products and Their Soluble Receptor as New Biomarkers in Systemic Lupus Erythematosus" Biomedicines 12, no. 3: 610. https://doi.org/10.3390/biomedicines12030610
APA StyleCarrión-Barberà, I., Triginer, L., Tío, L., Pérez-García, C., Ribes, A., Abad, V., Pros, A., Monfort, J., & Salman-Monte, T. C. (2024). Serum Advanced Glycation End Products and Their Soluble Receptor as New Biomarkers in Systemic Lupus Erythematosus. Biomedicines, 12(3), 610. https://doi.org/10.3390/biomedicines12030610

