Presepsin Does Not Predict Risk of Death in Sepsis Patients Admitted to the Intensive Care Unit: A Prospective Single-Center Study
Abstract
1. Introduction
2. Materials and Methods
2.1. Study Design
2.2. Patients
2.3. Clinical and Laboratory Data
2.4. Statistical Analysis
2.5. Outcomes
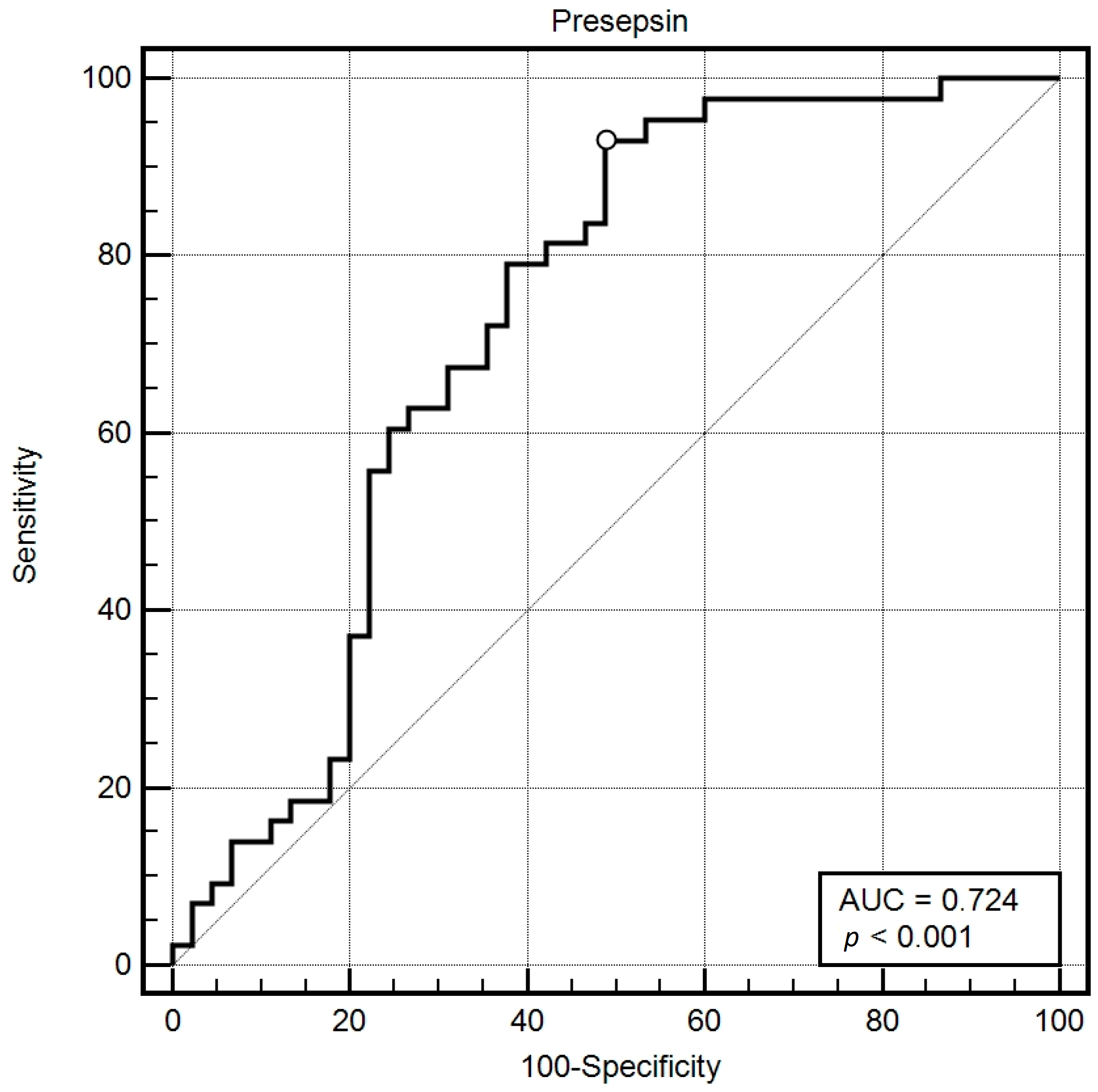
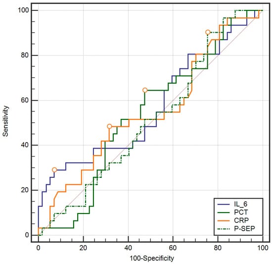
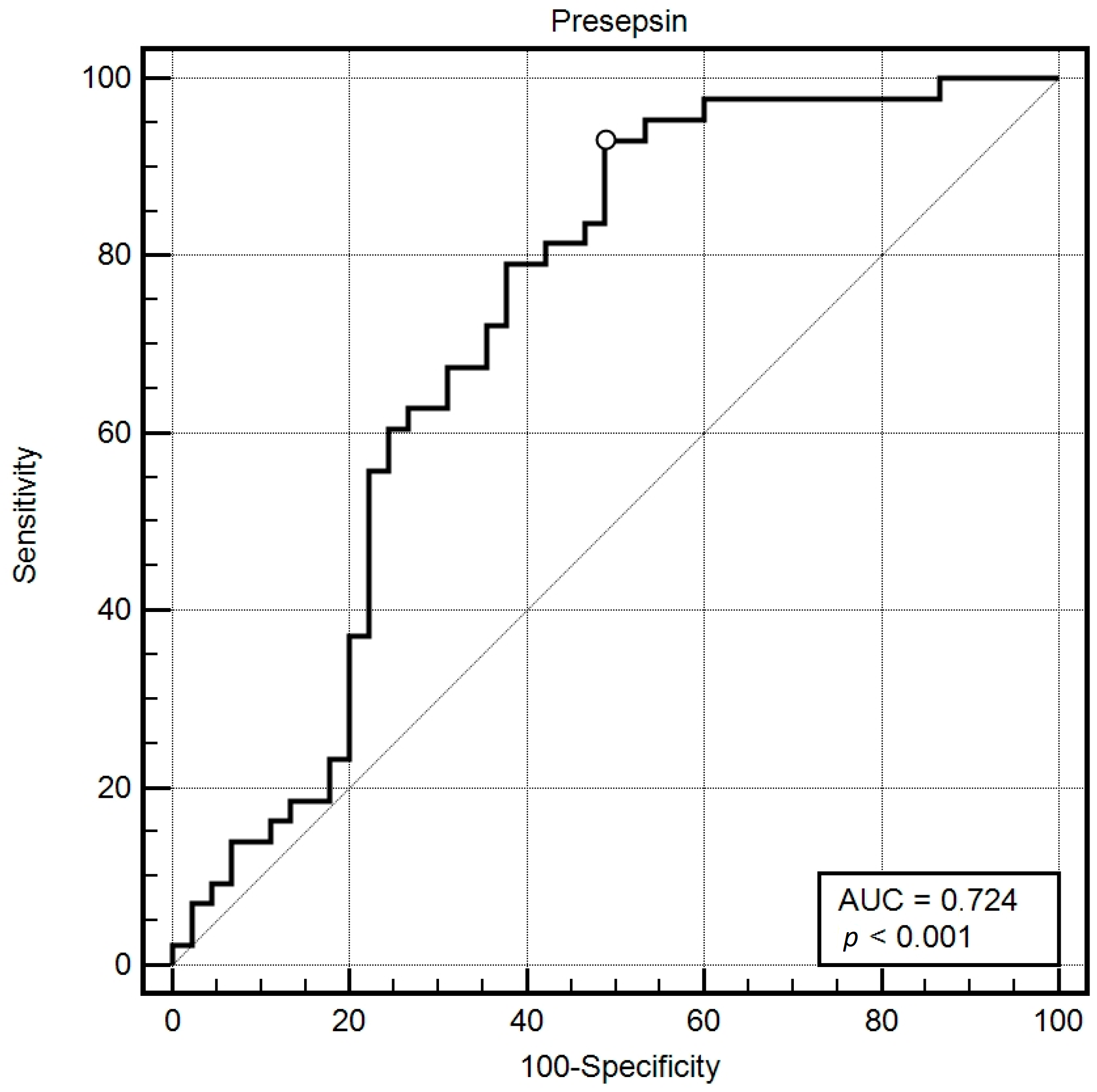
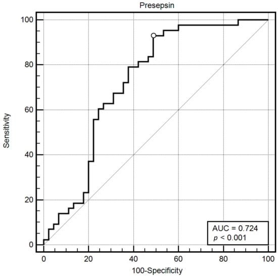
3. Results
Patients with a Positive Microbiological Test
4. Discussion
Study Limitation
5. Conclusions
Author Contributions
Funding
Institutional Review Board Statement
Informed Consent Statement
Data Availability Statement
Conflicts of Interest
References
- Evans, L.; Rhodes, A.; Alhazzani, W.; Antonelli, M.; Coopersmith, C.M.; French, C.; Machado, F.R.; Mcintyre, L.; Ostermann, M.; Prescott, H.C.; et al. Surviving sepsis campaign: International guidelines for management of sepsis and septic shock 2021. Intensiv. Care Med. 2021, 47, 1181–1247. [Google Scholar] [CrossRef]
- Mihajlovic, D.; Brkic, S.; Uvelin, A.; Draskovic, B.; Vrsajkov, V. Use of presepsin and procalcitonin for prediction of SeptiFast results in critically ill patients. J. Crit. Care 2017, 40, 197–201. [Google Scholar] [CrossRef]
- Agyeman, W.Y.; Bisht, A.; Gopinath, A.; Cheema, A.H.; Chaludiya, K.; Khalid, M.; Nwosu, M.; Konka, S.; Khan, S. A Systematic Review of Antibiotic Resistance Trends and Treatment Options for Hospital-Acquired Multidrug-Resistant Infections. Cureus 2022, 14, e29956. [Google Scholar] [CrossRef] [PubMed]
- Pluta, M.; Klocek, T.; Krzych, Ł.J. Diagnostic accuracy of red blood cell distribution width in predicting in-hospital mortality in patients undergoing high-risk gastrointestinal surgery. Anaesthesiol. Intensiv. Ther. 2018, 50, 277–282. [Google Scholar] [CrossRef] [PubMed]
- Abushaheen, M.A.; Fatani, A.J.; Alosaimi, M.; Mansy, W.; George, M.; Acharya, S.; Rathod, S.; Divakar, D.D.; Jhugroo, C.; Vellappally, S.; et al. Antimicrobial resistance, mechanisms and its clinical significance. Dis. Mon. 2020, 66, 100971. [Google Scholar] [CrossRef]
- Giavarina, D.; Carta, M. Determination of reference interval for presepsin, an early marker for sepsis. Biochem. Medica 2015, 25, 64–68. [Google Scholar] [CrossRef]
- Schuetz, P.; Birkhahn, R.; Sherwin, R.; Jones, A.E.; Singer, A.; Kline, J.A.; Runyon, M.S.; Self, W.H.; Courtney, D.M.; Nowak, R.M.; et al. Serial Procalcitonin Predicts Mortality in Severe Sepsis Patients: Results From the Multicenter Procalcitonin MOnitoring SEpsis (MOSES) Study. Crit. Care Med. 2017, 45, 781–789. [Google Scholar] [CrossRef]
- Piccioni, A.; Santoro, M.C.; de Cunzo, T.; Tullo, G.; Cicchinelli, S.; Saviano, A.; Valletta, F.; Pascale, M.M.; Candelli, M.; Covino, M.; et al. Presepsin as Early Marker of Sepsis in Emergency Department: A Narrative Review. Medicina 2021, 57, 770. [Google Scholar] [CrossRef]
- Chenevier-Gobeaux, C.; Trabattoni, E.; Roelens, M.; Borderie, D.; Claessens, Y.-E. Presepsin (sCD14-ST) in emergency department: The need for adapted threshold values? Clin. Chim. Acta 2014, 427, 34–36. [Google Scholar] [CrossRef]
- Ulla, M.; Pizzolato, E.; Lucchiari, M.; Loiacono, M.; Soardo, F.; Forno, D.; Morello, F.; Lupia, E.; Moiraghi, C.; Mengozzi, G.; et al. Diagnostic and prognostic value of presepsin in the management of sepsis in the emergency department: A multicenter prospective study. Crit. Care 2013, 17, R168. [Google Scholar] [CrossRef]
- Singer, M.; Deutschman, C.S.; Seymour, C.W.; Shankar-Hari, M.; Annane, D.; Bauer, M.; Bellomo, R.; Bernard, G.R.; Chiche, J.-D.; Coopersmith, C.M.; et al. The Third International Consensus Definitions for Sepsis and Septic Shock (Sepsis-3). JAMA 2016, 315, 801–810. [Google Scholar] [CrossRef] [PubMed]
- Kondo, A.; Morinishi, T.; Yamaguchi, Y.; Ikegame, A. Identification of organs of origin of macrophages that produce presepsin via neutrophil extracellular trap phagocytosis. Sci. Rep. 2024, 14, 16386. [Google Scholar] [CrossRef] [PubMed]
- Memar, M.Y.; Baghi, H.B. Presepsin: A promising biomarker for the detection of bacterial infections. Biomed. Pharmacother. 2019, 111, 649–656. [Google Scholar] [CrossRef]
- Delano, M.J.; Ward, P.A. The immune system’s role in sepsis progression, resolution, and long-term outcome. Immunol. Rev. 2016, 274, 330–353. [Google Scholar] [CrossRef]
- Madenci, C.Ö.; Yakupoğlu, S.; Benzonana, N.; Yücel, N.; Akbaba, D.; Kaptanağası, A.O. Evaluation of soluble CD14 subtype (presepsin) in burn sepsis. Burns 2014, 40, 664–669. [Google Scholar] [CrossRef]
- Halıcı, A.; Hür, I.; Abatay, K.; Çetin, E.; Halıcı, F.; Özkan, S. The role of presepsin in the diagnosis of chronic obstructive pulmonary disease acute exacerbation with pneumonia. Biomark. Med. 2019, 14, 31–41. [Google Scholar] [CrossRef]
- Claessens, Y.-E.; Trabattoni, E.; Grabar, S.; Quinquis, L.; Der Sahakian, G.; Anselmo, M.; Schmidt, J.; de la Coussaye, J.-E.; Plaisance, P.; Casalino, E.; et al. Plasmatic presepsin (sCD14-ST) concentrations in acute pyelonephritis in adult patients. Clin. Chim. Acta 2017, 464, 182–188. [Google Scholar] [CrossRef]
- Stoma, I.; Karpov, I.; Uss, A.; Krivenko, S.; Iskrov, I.; Milanovich, N.; Vlasenkova, S.; Lendina, I.; Belyavskaya, K.; Cherniak, V. Combination of sepsis biomarkers may indicate an invasive fungal infection in haematological patients. Biomarkers 2019, 24, 401–406. [Google Scholar] [CrossRef]
- Kondo, Y.; Umemura, Y.; Hayashida, K.; Hara, Y.; Aihara, M.; Yamakawa, K. Diagnostic value of procalcitonin and presepsin for sepsis in critically ill adult patients: A systematic review and meta-analysis. J. Intensiv. Care 2019, 7, 22. [Google Scholar] [CrossRef]
- Network, O.B.O.G.; Kim, H.; Hur, M.; Moon, H.-W.; Yun, Y.-M.; Di Somma, S. Multi-marker approach using procalcitonin, presepsin, galectin-3, and soluble suppression of tumorigenicity 2 for the prediction of mortality in sepsis. Ann. Intensiv. Care 2017, 7, 27. [Google Scholar] [CrossRef]
- Miyoshi, M.; Inoue, Y.; Nishioka, M.; Ikegame, A.; Nakao, T.; Kishi, S.; Doi, T.; Nagai, K. Clinical evaluation of presepsin considering renal function. PLoS ONE 2019, 14, e0215791. [Google Scholar] [CrossRef] [PubMed]
- Kim, S.Y.; Hong, D.Y.; Lee, K.R.; Paik, J.H.; Jung, H.M. Plasma presepsin level predicts acute kidney injury in patients with sepsis in the emergency department. Medicine 2022, 101, e29919. [Google Scholar] [CrossRef]
- Goyal, A.; Daneshpajouhnejad, P.; Hashmi, M.F.; Bashir, K.; John, B.K. Acute Kidney Injury. In StatPearls [Internet]; StatPearls Publishing: Treasure Island, FL, USA, 2023. [Google Scholar]
- Lee, G.-B.; Lee, J.W.; Yoon, S.-H.; Hwang, W.M.; Yun, S.-R.; Koh, D.H.; Park, Y. Plasma presepsin for mortality prediction in patients with sepsis-associated acute kidney injury requiring continuous kidney replacement therapy. Kidney Res. Clin. Pract. 2024, 43, 457–468. [Google Scholar] [CrossRef] [PubMed]
- Kim, S.-Y.; Hong, D.-Y.; Kim, J.-W.; Park, S.-O.; Lee, K.-R.; Baek, K.-J. Predictive Values of Procalcitonin and Presepsin for Acute Kidney Injury and 30-Day Hospital Mortality in Patients with COVID-19. Medicina 2022, 58, 727. [Google Scholar] [CrossRef]
- Shimoyama, Y.; Kadono, N.; Umegaki, O. Presepsin is a more useful predictor of septic AKI and ARDS for very-old sepsis patients than for young sepsis patients in ICUs: A pilot study. BMC Res. Notes 2024, 17, 53. [Google Scholar] [CrossRef]







| Value | All | ICU Discharge (1) | Death before ICU Discharge (2) | p-Value (1 vs. 2) |
|---|---|---|---|---|
| Male sex, n (%) | 48 (56%) | 30 (35%) | 18 (21%) | 0.6 |
| Age, Me (IQR) | 65 (51–72) | 64 (45–70) | 70 (55–74) | 0.1 |
| Predictive scales | ||||
| APACHE II, pts, Me (IQR) | 20 (15–26) | 17 (12–25) | 25 (18–29) | 0.002 |
| SAPS II, pts, Me (IQR) | 49 (36–66) | 45 (30–57) | 57 (44–71) | 0.001 |
| SOFA, pts, Me (IQR) | 9 (7–12) | 8 (6–11) | 12 (9–14) | 0.001 |
| Acute Kidney Injury, n (%) | 22 (26%) | 12 (14%) | 10 (12%) | 0.3 |
| Renal replacement therapy, n (%) | 11 (13%) | 6 (7%) | 5 (6%) | 0.5 |
| Positive microbiological test, n (%) | 43 (49%) | 24 (28%) | 19 (22%) | 0.1 |
| Location of infection *, n (%) | 0.6 | |||
| Abdominal | 21 (24%) | 10 (12%) | 11 (13%) | |
| Respiratory system tract | 11 (13%) | 5 (6%) | 6 (7%) | |
| Urinary system tract | 10 (11%) | 5 (6%) | 5 (6%) | |
| Soft tissues | 1 (<1%) | - | 1 (<1%) |
| Parameter | AUC (95% CI) | Sensitivity (%) | Specificity (%) | Cut-Off | p-Value |
|---|---|---|---|---|---|
| Interleukin-6 | 0.60 (0.45–0.71) | 52 | 83 | >670 (pg/mL) | 0.3 |
| Presepsin | 0.53 (0.37–0.68) | 89 | 29 | >16.6 (ng/mL) | 0.7 |
| C-reactive protein | 0.67 (0.51–0.80) | 89 | 42 | >311 (mg/L) | 0.04 |
| Procalcitonin | 0.69 (0.53–0.82) | 53 | 79 | >3.64 (ng/mL) | 0.02 |
Disclaimer/Publisher’s Note: The statements, opinions and data contained in all publications are solely those of the individual author(s) and contributor(s) and not of MDPI and/or the editor(s). MDPI and/or the editor(s) disclaim responsibility for any injury to people or property resulting from any ideas, methods, instructions or products referred to in the content. |
© 2024 by the authors. Licensee MDPI, Basel, Switzerland. This article is an open access article distributed under the terms and conditions of the Creative Commons Attribution (CC BY) license (https://creativecommons.org/licenses/by/4.0/).
Share and Cite
Pluta, M.P.; Czempik, P.F.; Kwiatkowska, M.; Marczyk-Bełbot, K.; Maślanka, S.; Mika, J.; Krzych, Ł.J. Presepsin Does Not Predict Risk of Death in Sepsis Patients Admitted to the Intensive Care Unit: A Prospective Single-Center Study. Biomedicines 2024, 12, 2313. https://doi.org/10.3390/biomedicines12102313
Pluta MP, Czempik PF, Kwiatkowska M, Marczyk-Bełbot K, Maślanka S, Mika J, Krzych ŁJ. Presepsin Does Not Predict Risk of Death in Sepsis Patients Admitted to the Intensive Care Unit: A Prospective Single-Center Study. Biomedicines. 2024; 12(10):2313. https://doi.org/10.3390/biomedicines12102313
Chicago/Turabian StylePluta, Michał P., Piotr F. Czempik, Magdalena Kwiatkowska, Katarzyna Marczyk-Bełbot, Sebastian Maślanka, Jolanta Mika, and Łukasz J. Krzych. 2024. "Presepsin Does Not Predict Risk of Death in Sepsis Patients Admitted to the Intensive Care Unit: A Prospective Single-Center Study" Biomedicines 12, no. 10: 2313. https://doi.org/10.3390/biomedicines12102313
APA StylePluta, M. P., Czempik, P. F., Kwiatkowska, M., Marczyk-Bełbot, K., Maślanka, S., Mika, J., & Krzych, Ł. J. (2024). Presepsin Does Not Predict Risk of Death in Sepsis Patients Admitted to the Intensive Care Unit: A Prospective Single-Center Study. Biomedicines, 12(10), 2313. https://doi.org/10.3390/biomedicines12102313

