P300 Event-Related Potential Predicts Cognitive Dysfunction in Patients with Vestibular Disorders
Abstract
:1. Introduction
2. Materials and Methods
2.1. Subjects
2.2. Methods
2.2.1. Subjective Cognitive Function Evaluation
2.2.2. Subjective Symptom Assessment
2.2.3. P300 Mean Latency and Amplitude of Event-Related Potentials
3. Statistical Analyses
4. Results
4.1. Subject Characteristics
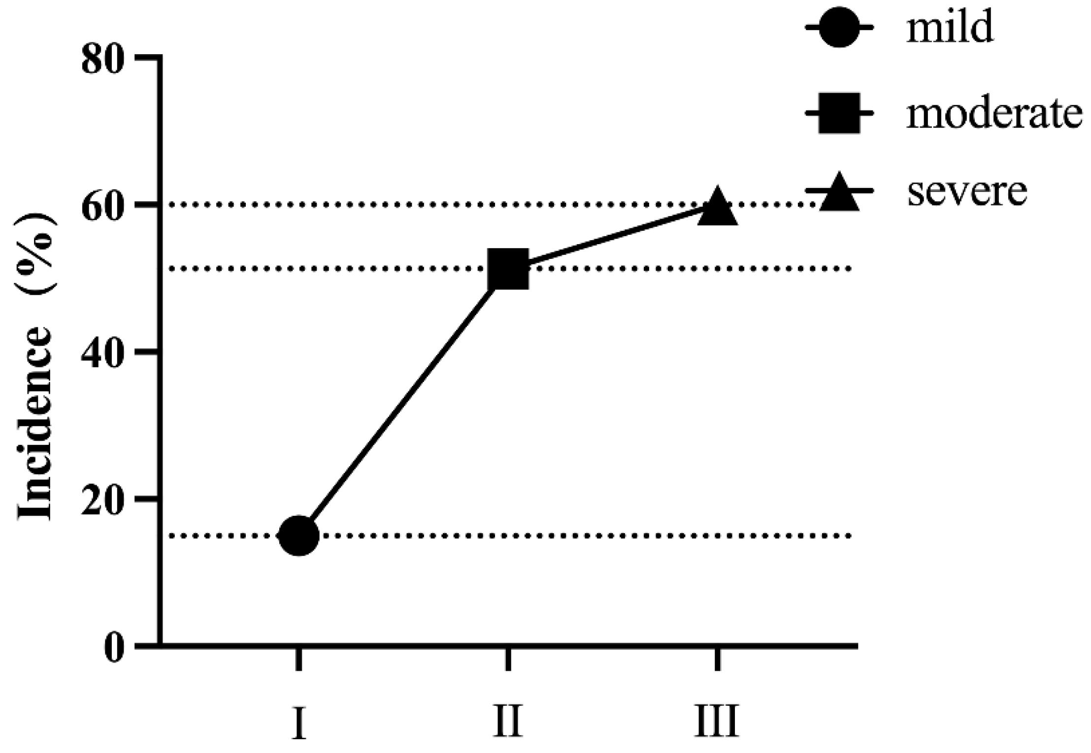
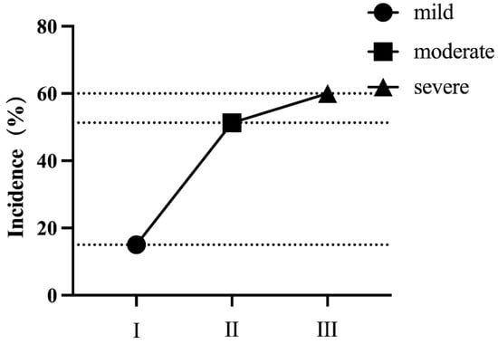
4.2. The Comparison of MMSE Scale Scores among Patients with Different Degrees of Impairment
4.3. The Comparison of GAD-7 and PHQ-9 Scale Scores among Different Groups
4.4. The Comparison of P300 Latency and Amplitude among Different Groups
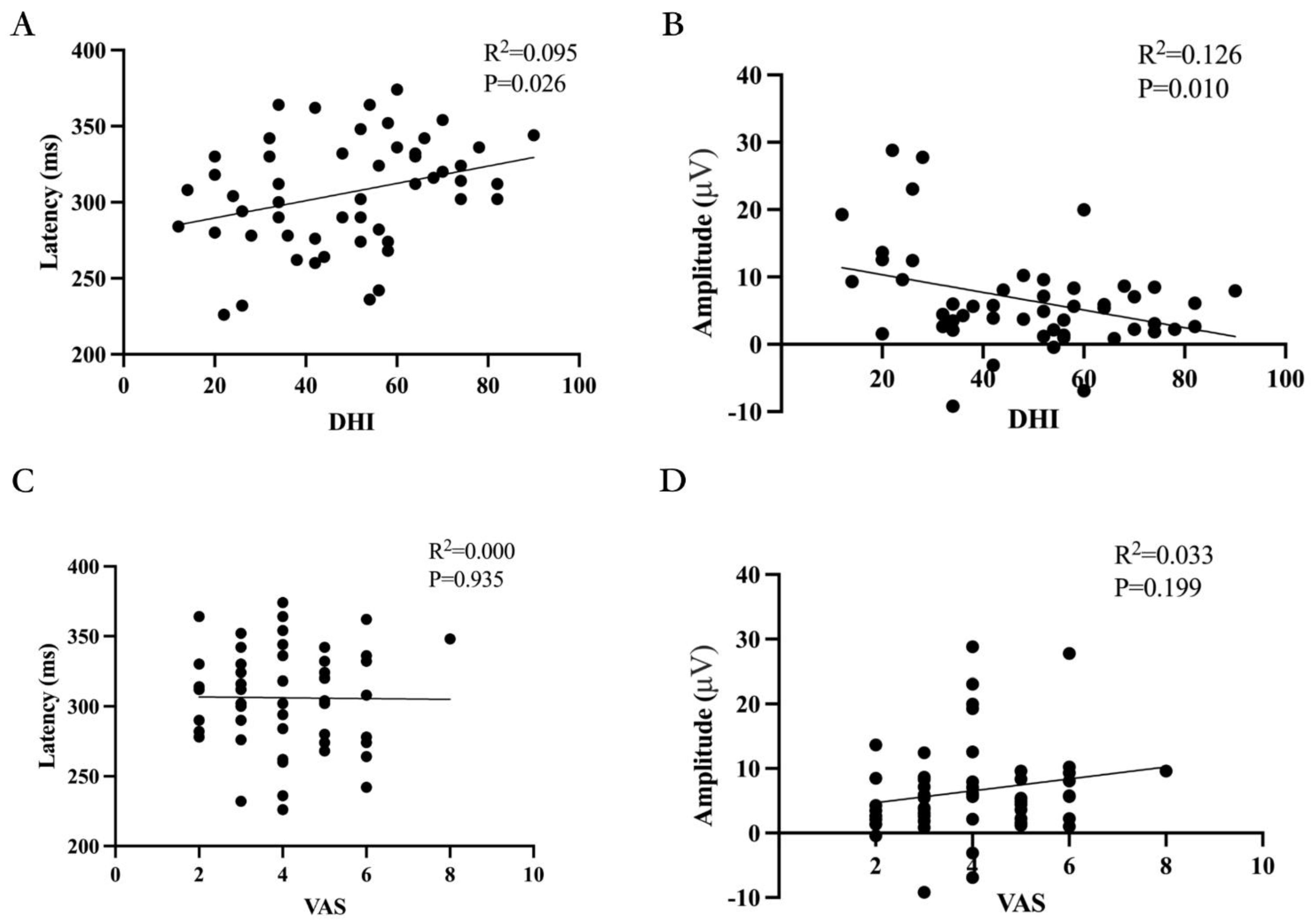
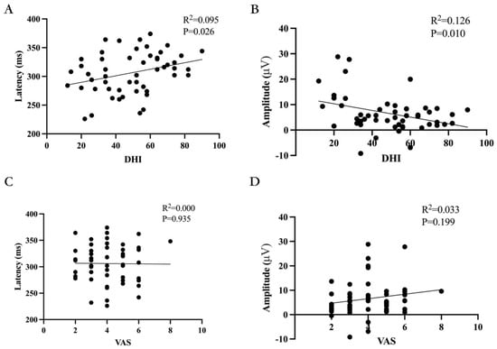
4.5. Correlations of MMSE, GAD-7, PHQ-9, and P300 Latency and Amplitudes
5. Discussion
6. Study Limitations
7. Conclusions
Author Contributions
Funding
Institutional Review Board Statement
Informed Consent Statement
Data Availability Statement
Acknowledgments
Conflicts of Interest
References
- Yardley, L.; Owen, N.; Nazareth, I.; Luxon, L. Prevalence and presentation of dizziness in a general practice community sample of working age people. Br. J. Gen. Pract. 1998, 48, 1131–1135. [Google Scholar]
- Neuhauser, H.K. The epidemiology of dizziness and vertigo. Handb. Clin. Neurol. 2016, 137, 67–82. [Google Scholar] [CrossRef] [PubMed]
- Agrawal, Y.; Van de Berg, R.; Wuyts, F.; Walther, L.; Magnusson, M.; Oh, E.; Sharpe, M.; Strupp, M. Presbyvestibulopathy: Diagnostic criteria Consensus document of the classification committee of the Barany Society. J. Vestib. Res. 2019, 29, 161–170. [Google Scholar] [CrossRef]
- van der Zaag-Loonen, H.J.; van Leeuwen, R.B. Dizziness causes absence from work. Acta Neurol. Belg. 2015, 115, 345–349. [Google Scholar] [CrossRef] [PubMed]
- Casani, A.P.; Gufoni, M.; Capobianco, S. Current Insights into Treating Vertigo in Older Adults. Drugs Aging 2021, 38, 655–670. [Google Scholar] [CrossRef] [PubMed]
- Borsetto, D.; Corazzi, V.; Obholzer, R.; Bianchini, C.; Pelucchi, S.; Solmi, M.; Jiang, D.; Amin, N.; Pai, I.; Ciorba, A. Dizziness, psychological disorders and cognitive decline. Panminerva Med. 2023, 65, 84–90. [Google Scholar] [CrossRef]
- Smith, P.F. The vestibular system and cognition. Curr. Opin. Neurol. 2017, 30, 84–89. [Google Scholar] [CrossRef]
- Mast, F.W.; Preuss, N.; Hartmann, M.; Grabherr, L. Spatial cognition, body representation and affective processes: The role of vestibular information beyond ocular reflexes and control of posture. Front. Integr. Neurosci. 2014, 8, 44. [Google Scholar] [CrossRef]
- Popp, P.; Wulff, M.; Finke, K.; Rühl, M.; Brandt, T.; Dieterich, M. Cognitive deficits in patients with a chronic vestibular failure. J. Neurol. 2017, 264, 554–563. [Google Scholar] [CrossRef]
- Hitier, M.; Besnard, S.; Smith, P.F. Vestibular pathways involved in cognition. Front. Integr. Neurosci. 2014, 8, 59. [Google Scholar] [CrossRef]
- zu Eulenburg, P.; Stoeter, P.; Dieterich, M. Voxel-based morphometry depicts central compensation after vestibular neuritis. Ann. Neurol. 2010, 68, 241–249. [Google Scholar] [CrossRef] [PubMed]
- Xie, D.; Welgampola, M.S.; Miller, L.A.; Young, A.S.; D’Souza, M.; Breen, N.; Rosengren, S.M. Subjective Cognitive Dysfunction in Patients with Dizziness and Vertigo. Audiol. Neurotol. 2022, 27, 122–132. [Google Scholar] [CrossRef]
- Bigelow, R.T.; Semenov, Y.R.; du Lac, S.; Hoffman, H.J.; Agrawal, Y. Vestibular vertigo and comorbid cognitive and psychiatric impairment: The 2008 National Health Interview Survey. J. Neurol. Neurosurg. Psychiatry 2016, 87, 367–372. [Google Scholar] [CrossRef]
- Demant, K.M.; Vinberg, M.; Kessing, L.V.; Miskowiak, K.W. Assessment of subjective and objective cognitive function in bipolar disorder: Correlations, predictors and the relation to psychosocial function. Psychiatry Res. 2015, 229, 565–571. [Google Scholar] [CrossRef]
- Folstein, M.F.; Folstein, S.E.; McHugh, P.R. “Mini-mental state”. A practical method for grading the cognitive state of patients for the clinician. J. Psychiatr. Res. 1975, 12, 189–198. [Google Scholar] [CrossRef]
- Santiago-Bravo, G.; Sudo, F.K.; Assuncao, N.; Drummond, C.; Mattos, P. Dementia screening in Brazil: A systematic review of normative data for the mini-mental state examination. Clinics 2019, 74, e971. [Google Scholar] [CrossRef]
- Li, H.; Jia, J.; Yang, Z. Mini-Mental State Examination in Elderly Chinese: A Population-Based Normative Study. J. Alzheimers Dis. 2016, 53, 487–496. [Google Scholar] [CrossRef]
- Carpinelli Mazzi, M.; Iavarone, A.; Russo, G.; Musella, C.; Milan, G.; D’Anna, F.; Garofalo, E.; Chieffi, S.; Sannino, M.; Illario, M.; et al. Mini-Mental State Examination: New normative values on subjects in Southern Italy. Aging Clin. Exp. Res. 2020, 32, 699–702. [Google Scholar] [CrossRef]
- Mellor, D.; Lewis, M.; McCabe, M.; Byrne, L.; Wang, T.; Wang, J.; Zhu, M.; Cheng, Y.; Yang, C.; Dong, S.; et al. Determining appropriate screening tools and cut-points for cognitive impairment in an elderly Chinese sample. Psychol. Assess. 2016, 28, 1345–1353. [Google Scholar] [CrossRef]
- Morsel, A.M.; Morrens, M.; Dhar, M.; Sabbe, B. Systematic review of cognitive event related potentials in euthymic bipolar disorder. Clin. Neurophysiol. 2018, 129, 1854–1865. [Google Scholar] [CrossRef]
- Sutton, S.; Braren, M.; Zubin, J.; John, E.R. Evoked-potential correlates of stimulus uncertainty. Science 1965, 150, 1187–1188. [Google Scholar] [CrossRef]
- Comerchero, M.D.; Polich, J. P3a and P3b from typical auditory and visual stimuli. Clin. Neurophysiol. 1999, 110, 24–30. [Google Scholar] [CrossRef] [PubMed]
- Polich, J.; Criado, J.R. Neuropsychology and neuropharmacology of P3a and P3b. Int. J. Psychophysiol. 2006, 60, 172–185. [Google Scholar] [CrossRef]
- Fu, L.; Xiang, D.; Subodh, D.; Xiao, J.; Yao, L.; Wang, Y.; Wang, H.; Wang, G.; Liu, Z. Auditory P300 study in patients with convalescent bipolar depression and bipolar depression. Neuroreport 2018, 29, 968–973. [Google Scholar] [CrossRef]
- Toyoshima, K.; Toyomaki, A.; Miyazaki, A.; Martinez-Aran, A.; Vieta, E.; Kusumi, I. Associations between cognitive impairment and P300 mean amplitudes in individuals with bipolar disorder in remission. Psychiatry Res. 2020, 290, 113125. [Google Scholar] [CrossRef]
- Chari, D.A.; Madhani, A.; Sharon, J.D.; Lewis, R.F. Evidence for cognitive impairment in patients with vestibular disorders. J. Neurol. 2022, 269, 5831–5842. [Google Scholar] [CrossRef]
- Lv, X.; Li, W.; Ma, Y.; Chen, H.; Zeng, Y.; Yu, X.; Hofman, A.; Wang, H. Cognitive decline and mortality among community-dwelling Chinese older people. BMC Med. 2019, 17, 63. [Google Scholar] [CrossRef]
- Wang, N.; Huang, H.L.; Zhou, H.; Yu, C.Y. Cognitive impairment and quality of life in patients with migraine-associated vertigo. Eur. Rev. Med. Pharmacol. Sci. 2016, 20, 4913–4917. [Google Scholar]
- Whitney, S.L.; Wrisley, D.M.; Brown, K.E.; Furman, J.M. Is perception of handicap related to functional performance in persons with vestibular dysfunction? Otol. Neurotol. 2004, 25, 139–143. [Google Scholar] [CrossRef]
- Lai, J.; Ma, S.; Wang, Y.; Cai, Z.; Hu, J.; Wei, N.; Wu, J.; Du, H.; Chen, T.; Li, R.; et al. Factors Associated With Mental Health Outcomes Among Health Care Workers Exposed to Coronavirus Disease 2019. JAMA Netw. Open 2020, 3, e203976. [Google Scholar] [CrossRef]
- Polich, J. Updating P300: An integrative theory of P3a and P3b. Clin. Neurophysiol. 2007, 118, 2128–2148. [Google Scholar] [CrossRef] [PubMed]
- Agrawal, Y.; Ward, B.K.; Minor, L.B. Vestibular dysfunction: Prevalence, impact and need for targeted treatment. J. Vestib. Res. 2013, 23, 113–117. [Google Scholar] [CrossRef] [PubMed]
- Pinto, T.C.C.; Machado, L.; Bulgacov, T.M.; Rodrigues-Junior, A.L.; Costa, M.L.G.; Ximenes, R.C.C.; Sougey, E.B. Is the Montreal Cognitive Assessment (MoCA) screening superior to the Mini-Mental State Examination (MMSE) in the detection of mild cognitive impairment (MCI) and Alzheimer’s Disease (AD) in the elderly? Int. Psychogeriatr. 2019, 31, 491–504. [Google Scholar] [CrossRef] [PubMed]
- Siqueira, G.S.A.; Hagemann, P.M.S.; Coelho, D.S.; Santos, F.H.D.; Bertolucci, P.H.F. Can MoCA and MMSE Be Interchangeable Cognitive Screening Tools? A Systematic Review. Gerontologist 2019, 59, e743–e763. [Google Scholar] [CrossRef] [PubMed]
- Ciesielska, N.; Sokołowski, R.; Mazur, E.; Podhorecka, M.; Polak-Szabela, A.; Kędziora-Kornatowska, K. Is the Montreal Cognitive Assessment (MoCA) test better suited than the Mini-Mental State Examination (MMSE) in mild cognitive impairment (MCI) detection among people aged over 60? Meta-analysis. Psychiatr. Pol. 2016, 50, 1039–1052. [Google Scholar] [CrossRef]
- Jia, X.; Wang, Z.; Huang, F.; Su, C.; Du, W.; Jiang, H.; Wang, H.; Wang, J.; Wang, F.; Su, W.; et al. A comparison of the Mini-Mental State Examination (MMSE) with the Montreal Cognitive Assessment (MoCA) for mild cognitive impairment screening in Chinese middle-aged and older population: A cross-sectional study. BMC Psychiatry 2021, 21, 485. [Google Scholar] [CrossRef]
- Schweizer, T.A.; Al-Khindi, T.; Macdonald, R.L. Mini-Mental State Examination versus Montreal Cognitive Assessment: Rapid assessment tools for cognitive and functional outcome after aneurysmal subarachnoid hemorrhage. J. Neurol. Sci. 2012, 316, 137–140. [Google Scholar] [CrossRef]
- Petersen, R.C.; Smith, G.E.; Waring, S.C.; Ivnik, R.J.; Tangalos, E.G.; Kokmen, E. Mild cognitive impairment: Clinical characterization and outcome. Arch. Neurol. 1999, 56, 303–308. [Google Scholar] [CrossRef]
- Yuan, Q.; Yu, L.; Shi, D.; Ke, X.; Zhang, H. Anxiety and depression among patients with different types of vestibular peripheral vertigo. Medicine 2015, 94, e453. [Google Scholar] [CrossRef]
- Brandt, T.; Dieterich, M. ‘Excess anxiety’ and ‘less anxiety’: Both depend on vestibular function. Curr. Opin. Neurol. 2020, 33, 136–141. [Google Scholar] [CrossRef]
- Millan, M.J.; Agid, Y.; Brune, M.; Bullmore, E.T.; Carter, C.S.; Clayton, N.S.; Connor, R.; Davis, S.; Deakin, B.; DeRubeis, R.J.; et al. Cognitive dysfunction in psychiatric disorders: Characteristics, causes and the quest for improved therapy. Nat. Rev. Drug Discov. 2012, 11, 141–168. [Google Scholar] [CrossRef]
- Liu, Y.F.; Locklear, T.D.; Sharon, J.D.; Lacroix, E.; Nguyen, S.A.; Rizk, H.G. Quantification of Cognitive Dysfunction in Dizzy Patients Using the Neuropsychological Vertigo Inventory. Otol. Neurotol. 2019, 40, e723–e731. [Google Scholar] [CrossRef] [PubMed]
- Campanella, S. Why it is time to develop the use of cognitive event-related potentials in the treatment of psychiatric diseases. Neuropsychiatr. Dis. Treat 2013, 9, 1835–1845. [Google Scholar] [CrossRef]
- Kutas, M.; McCarthy, G.; Donchin, E. Augmenting mental chronometry: The P300 as a measure of stimulus evaluation time. Science 1977, 197, 792–795. [Google Scholar] [CrossRef] [PubMed]
- Polich, J. Normal variation of P300 from auditory stimuli. Electroencephalogr. Clin. Neurophysiol./Evoked Potentials Sect. 1986, 65, 236–240. [Google Scholar] [CrossRef] [PubMed]
- Emmerson, R.Y.; Dustman, R.E.; Shearer, D.E.; Turner, C.W. P3 latency and symbol digit performance correlations in aging. Exp. Aging Res. 1989, 15, 151–159. [Google Scholar] [CrossRef]
- Zeng, Q.; Dong, X.; Ruan, C.; Hu, B.; Zhou, B.; Xue, Y.; Liu, Y.; Yang, H. Cognitive impairment in Chinese IIDDs revealed by MoCA and P300. Mult. Scler. Relat. Disord. 2017, 16, 1–7. [Google Scholar] [CrossRef]
- Khedr, E.M.; El Fetoh, N.A.; Gamal, R.M.; Elzohri, M.H.; Azoz, N.M.A.; Furst, D.E. Evaluation of cognitive function in systemic sclerosis patients: A pilot study. Clin. Rheumatol. 2020, 39, 1551–1559. [Google Scholar] [CrossRef]
- Li, H.; Li, N.; Xing, Y.; Zhang, S.; Liu, C.; Cai, W.; Hong, W.; Zhang, Q. P300 as a Potential Indicator in the Evaluation of Neurocognitive Disorders After Traumatic Brain Injury. Front. Neurol. 2021, 12, 690792. [Google Scholar] [CrossRef]
- Waliszewska-Prosol, M.; Bladowska, J.; Budrewicz, S.; Sasiadek, M.; Dziadkowiak, E.; Ejma, M. The evaluation of Hashimoto’s thyroiditis with event-related potentials and magnetic resonance spectroscopy and its relation to cognitive function. Sci. Rep. 2021, 11, 2480. [Google Scholar] [CrossRef]
- Dziadkowiak, E.; Sebastian, A.; Wiland, P.; Waliszewska-Prosol, M.; Wieczorek, M.; Zagrajek, M.; Ejma, M. Endogenous event-related potentials in patients with primary Sjogren’s syndrome without central nervous system involvement. Scand. J. Rheumatol. 2015, 44, 487–494. [Google Scholar] [CrossRef] [PubMed]
- Parveen, S.; Noohu, M.M. Association between P300 parameters and cognitive function in people with diabetic neuropathy. J. Diabetes Metab. Disord 2023, 22, 347–354. [Google Scholar] [CrossRef] [PubMed]
- Paitel, E.R.; Peters, S.D.; Lobermeier, M.; Lopez, R.A. Age-related no-go P300 amplitudes are moderated by exposure to early-life stress. Int. J. Psychophysiol. 2022, 180, 1–9. [Google Scholar] [CrossRef] [PubMed]






| Variables | I | II | III | p-Value | |
|---|---|---|---|---|---|
| Gender | Male | 7 | 20 | 8 | 0.445 |
| Female | 13 | 19 | 12 | ||
| Education | <6 Y | 1 | 1 | 1 | 0.408 |
| 6–9 Y | 4 | 2 | 1 | ||
| >9 Y | 15 | 36 | 18 | ||
| Age group | 60–70 Y | 7 | 8 | 4 | 0.798 |
| 70–80 Y | 7 | 15 | 6 | ||
| >80 Y | 6 | 16 | 10 |
| I | II | III | p-Value | |
|---|---|---|---|---|
| Orientation | 9.80 ± 0.41 | 9.38 ± 0.81 | 9.45 ± 1.10 | 0.141 |
| Registration | 2.95 ± 0.22 | 3 ± 0 a | 2.85 ± 0.37 a | 0.047 |
| Attention and Calculation | 4.65 ± 0.75 | 4.28 ± 0.97 | 4.15 ± 1.39 | 0.285 |
| Recall | 2.85 ± 0.37 | 2.49 ± 0.79 | 2.30 ± 0.92 | 0.079 |
| Language | 8.05 ± 0.83 | 7.72 ± 0.92 | 7.05 ± 1.85 | 0.200 |
| MMSE | 28.30 ± 1.66 bc | 26.87 ± 2.13 b | 25.8 ± 3.75 c | 0.016 |
Disclaimer/Publisher’s Note: The statements, opinions and data contained in all publications are solely those of the individual author(s) and contributor(s) and not of MDPI and/or the editor(s). MDPI and/or the editor(s) disclaim responsibility for any injury to people or property resulting from any ideas, methods, instructions or products referred to in the content. |
© 2023 by the authors. Licensee MDPI, Basel, Switzerland. This article is an open access article distributed under the terms and conditions of the Creative Commons Attribution (CC BY) license (https://creativecommons.org/licenses/by/4.0/).
Share and Cite
Ma, X.; Shen, J.; Sun, J.; Wang, L.; Wang, W.; He, K.; Chen, X.; Zhang, Q.; Jin, Y.; Gao, D.; et al. P300 Event-Related Potential Predicts Cognitive Dysfunction in Patients with Vestibular Disorders. Biomedicines 2023, 11, 2365. https://doi.org/10.3390/biomedicines11092365
Ma X, Shen J, Sun J, Wang L, Wang W, He K, Chen X, Zhang Q, Jin Y, Gao D, et al. P300 Event-Related Potential Predicts Cognitive Dysfunction in Patients with Vestibular Disorders. Biomedicines. 2023; 11(9):2365. https://doi.org/10.3390/biomedicines11092365
Chicago/Turabian StyleMa, Xiaobao, Jiali Shen, Jin Sun, Lu Wang, Wei Wang, Kuan He, Xiangping Chen, Qin Zhang, Yulian Jin, Dekun Gao, and et al. 2023. "P300 Event-Related Potential Predicts Cognitive Dysfunction in Patients with Vestibular Disorders" Biomedicines 11, no. 9: 2365. https://doi.org/10.3390/biomedicines11092365
APA StyleMa, X., Shen, J., Sun, J., Wang, L., Wang, W., He, K., Chen, X., Zhang, Q., Jin, Y., Gao, D., Duan, M., Yang, J., Chen, J., & He, J. (2023). P300 Event-Related Potential Predicts Cognitive Dysfunction in Patients with Vestibular Disorders. Biomedicines, 11(9), 2365. https://doi.org/10.3390/biomedicines11092365

