Core Decompression Combined with Intraosseous Autologous Conditioned Plasma Injections Decreases Pain and Improves Function in Patients with Symptomatic Knee Bone Marrow Lesions
Abstract
1. Introduction
2. Materials and Methods
2.1. Patients and Study Design
2.2. ACP Preparation
2.3. Surgical Treatment
2.4. Postoperative Protocol
2.5. Data Collection and Outcome Measures
2.6. Statistical Analysis
3. Results
3.1. Cohort Characteristics
3.2. Pain Improvement after the Procedure
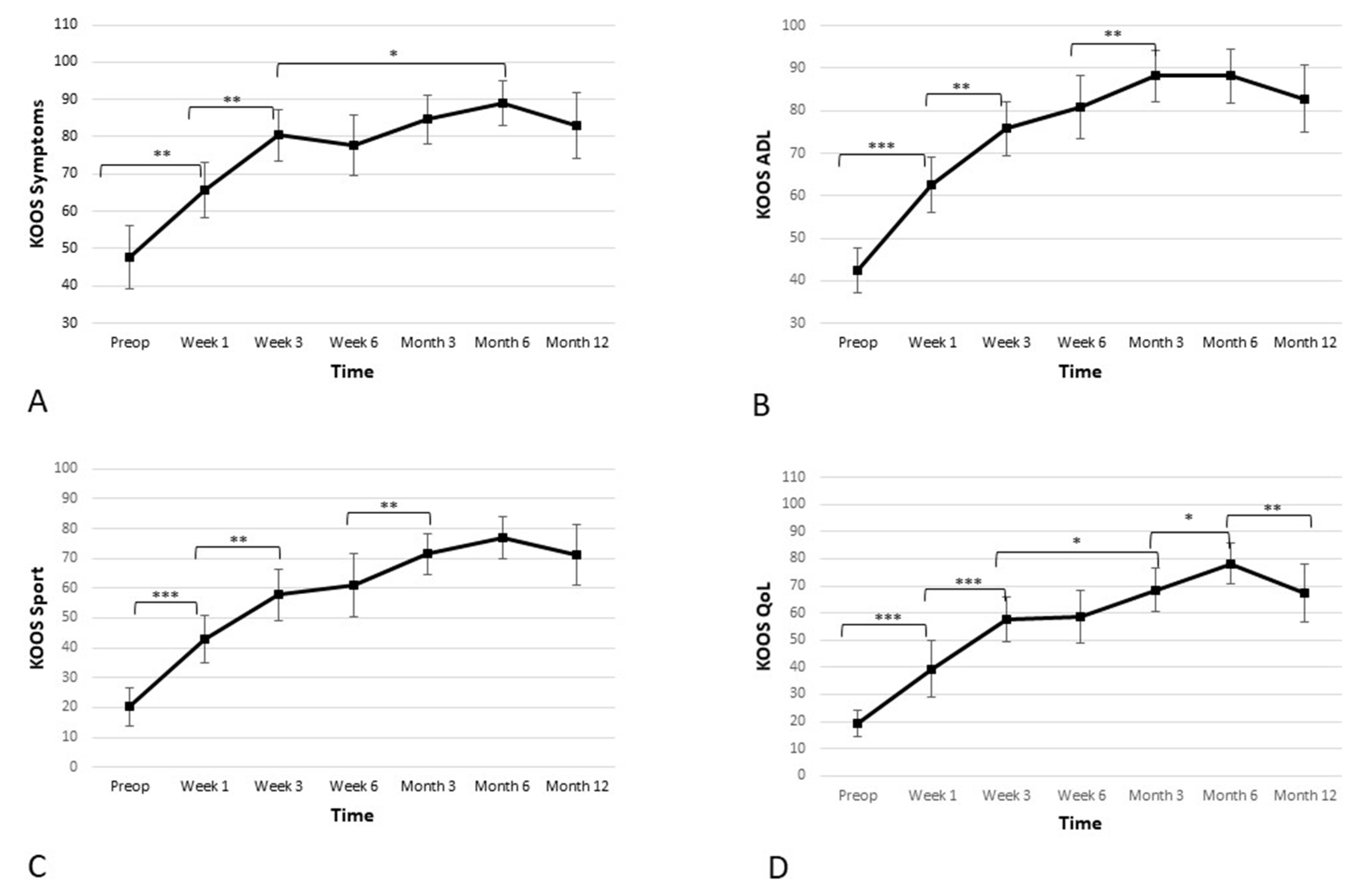
3.3. Improvement of KOOS Scores (Function, ADL, QoL, Sport) after the Procedure
3.4. Improvement of WORMS MRI Scores after the Procedure
4. Discussion
5. Conclusions
Author Contributions
Funding
Institutional Review Board Statement
Informed Consent Statement
Data Availability Statement
Conflicts of Interest
References
- Roemer, F.W.; Frobell, R.; Hunter, D.J.; Crema, M.D.; Fischer, W.; Bohndorf, K.; Guermazi, A. MRI-detected subchondral bone marrow signal alterations of the knee joint: Terminology, imaging appearance, relevance and radiological differential diagnosis. Osteoarthr. Cartil. 2009, 17, 1115–1131. [Google Scholar] [CrossRef]
- Thiryayi, W.A.; Thiryayi, S.A.; Freemont, A.J. Histopathological perspective on bone marrow oedema, reactive bone change and haemorrhage. Eur. J. Radiol. 2008, 67, 62–67. [Google Scholar] [CrossRef]
- Zanetti, M.; Bruder, E.; Romero, J.; Hodler, J. Bone marrow edema pattern in osteoarthritic knees: Correlation between MR imaging and histologic findings. Radiology 2000, 215, 835–840. [Google Scholar] [CrossRef] [PubMed]
- Sharkey, P.F.; Cohen, S.B.; Leinberry, C.F.; Parvizi, J. Subchondral bone marrow lesions associated with knee osteoarthritis. Am. J. Orthop. 2012, 41, 413–417. [Google Scholar] [PubMed]
- Roemer, F.W.; Neogi, T.; Nevitt, M.C.; Felson, D.T.; Zhu, Y.; Zhang, Y.; Lynch, J.A.; Javaid, M.K.; Crema, M.D.; Torner, J.; et al. Subchondral bone marrow lesions are highly associated with, and predict subchondral bone attrition longitudinally: The MOST study. Osteoarthr. Cartil. 2010, 18, 47–53. [Google Scholar] [CrossRef] [PubMed]
- Felson, D.T.; Chaisson, C.E.; Hill, C.L.; Totterman, S.M.S.; Gale, M.E.; Skinner, K.M.; Kazis, L.; Gale, D.R. The Association of Bone Marrow Lesions with Pain in Knee Osteoarthritis. Ann. Intern. Med. 2001, 134, 541–549. [Google Scholar] [CrossRef] [PubMed]
- Tanamas, S.K.; Wluka, A.E.; Pelletier, J.-P.; Pelletier, J.M.; Abram, F.; Berry, P.A.; Wang, Y.; Jones, G.; Cicuttini, F.M. Bone marrow lesions in people with knee osteoarthritis predict progression of disease and joint replacement: A longitudinal study. Rheumatology 2010, 49, 2413–2419. [Google Scholar] [CrossRef] [PubMed]
- Ververidis, A.N.; Paraskevopoulos, K.; Tilkeridis, K.; Riziotis, G.; Tottas, S.; Drosos, G.I. Surgical modalities for the management of bone marrow edema of the knee joint. J. Orthop. 2020, 17, 30–37. [Google Scholar] [CrossRef]
- Simon, M.J.K.; Barvencik, F.; Luttke, M.; Amling, M.; Mueller-Wohlfahrt, H.-W.; Ueblacker, P. Intravenous bisphosphonates and vitamin D in the treatment of bone marrow oedema in professional athletes. Injury 2014, 45, 981–987. [Google Scholar] [CrossRef] [PubMed]
- Kohn, M.D.; Sassoon, A.A.; Fernando, N.D. Classifications in Brief: Kellgren-Lawrence Classification of Osteoarthritis. Clin. Orthop. Relat. Res. 2016, 474, 1886–1893. [Google Scholar] [CrossRef] [PubMed]
- Peterfy, C.; Guermazi, A.; Zaim, S.; Tirman, P.F.; Miaux, Y.; White, D.; Kothari, M.; Lu, Y.; Fye, K.; Zhao, S.; et al. Whole-Organ Magnetic Resonance Imaging Score (WORMS) of the knee in osteoarthritis. Osteoarthr. Cartil. 2004, 12, 177–190. [Google Scholar] [CrossRef]
- Smith, P.A. Intra-articular Autologous Conditioned Plasma Injections Provide Safe and Efficacious Treatment for Knee Osteoarthritis. Am. J. Sports Med. 2015, 44, 884–891. [Google Scholar] [CrossRef]
- Katz, N.P.; Paillard, F.C.; Ekman, E. Determining the clinical importance of treatment benefits for interventions for painful orthopedic conditions. J. Orthop. Surg. Res. 2015, 10, 24. [Google Scholar] [CrossRef]
- Collins, N.J.; Misra, D.; Felson, D.T.; Crossley, K.M.; Roos, E.M. Measures of knee function: International Knee Documentation Committee (IKDC) Subjective Knee Evaluation Form, Knee Injury and Osteoarthritis Outcome Score (KOOS), Knee Injury and Osteoarthritis Outcome Score Physical Function Short Form (KOOS-PS), Knee Outcome Survey Activities of Daily Living Scale (KOS-ADL), Lysholm Knee Scoring Scale, Oxford Knee Score (OKS), Western Ontario and McMaster. Arthritis Care Res. 2011, 11, S208–S228. [Google Scholar]
- R Core Team. R: A Language and Environment for Statistical Computing; R Foundation for Statistical Computing: Vienna, Austria, 2020; Available online: https://www.R-project.org/ (accessed on 28 May 2023).
- Kassambara, A. Statix: Pipe-Friendly Framework for Basic Statistical Tests. (0.6.0). 2020. Available online: https://cran.r-project.org/web/packages/rstatix/index.html (accessed on 28 May 2023).
- Microsoft Corporation. Microsoft Excel; Microsoft Corporation: Redmond, WA, USA, 2018. [Google Scholar]
- Healy, W.L.; Della Valle, C.J.; Iorio, R.; Berend, K.R.; Cushner, F.D.; Dalury, D.F.; Lonner, J.H. Complications of Total Knee Arthroplasty: Standardized List and Definitions of The Knee Society. Clin. Orthop. Relat. Res. 2013, 471, 215–220. [Google Scholar] [CrossRef] [PubMed]
- Uchio, Y.; Ochi, M.; Adachi, N.; Nishikori, T.; Kawasaki, K. Intraosseous Hypertension and Venous Congestion in Osteonecrosis of the Knee. Clin. Orthop. Relat. Res. 2001, 384, 217–223. [Google Scholar] [CrossRef] [PubMed]
- Jacobs, M.A.; Loeb, P.E.; Hungerford, D.S. Core decompression of the distal femur for avascular necrosis of the knee. J. Bone Jt. Surg. 1989, 71, 583–587. [Google Scholar] [CrossRef]
- Alsousou, J.; Thompson, M.; Hulley, P.; Noble, A.; Willett, K. The biology of platelet-rich plasma and its application in trauma and orthopaedic surgery: A review of the literature. J. Bone Jt. Surg. 2009, 91, 987–996. [Google Scholar] [CrossRef] [PubMed]
- Sánchez, M.; Delgado, D.; Sánchez, P.; Muiños-López, E.; Paiva, B.; Granero-Moltó, F.; Prósper, F.; Pompei, O.; Pérez, J.C.; Azofra, J.; et al. Combination of Intra-Articular and Intraosseous Injections of Platelet Rich Plasma for Severe Knee Osteoarthritis: A Pilot Study. BioMed Res. Int. 2016, 2016, 4868613. [Google Scholar] [CrossRef]
- Sánchez, M.; Delgado, D.; Pompei, O.; Pérez, J.C.; Sánchez, P.; Garate, A.; Bilbao, A.M.; Fiz, N.; Padilla, S. Treating Severe Knee Osteoarthritis with Combination of Intra-Osseous and Intra-Articular Infiltrations of Platelet-Rich Plasma: An Observational Study. Cartilage 2019, 10, 245–253. [Google Scholar] [CrossRef]
- Lychagin, A.; Lipina, M.; Garkavi, A.; Islaieh, O.; Timashev, P.; Ashmore, K.; Kon, E. Intraosseous injections of platelet rich plasma for knee bone marrow lesions treatment: One year follow-up. Int. Orthop. 2021, 45, 355–363. [Google Scholar] [CrossRef] [PubMed]
- Miller, M.A.; Ivkovic, A.; Porter, R.; Harris, M.B.; Estok, D.M.; Smith, R.M.; Evans, C.H.; Vrahas, M.S. Autologous bone grafting on steroids: Preliminary clinical results. A novel treatment for nonunions and segmental bone defects. Int. Orthop. 2011, 35, 599–605. [Google Scholar] [CrossRef]
- Hernigou, P.; Auregan, J.C.; Dubory, A.; Flouzat-Lachaniette, C.H.; Chevallier, N.; Rouard, H. Subchondral stem cell therapy versus contralateral total knee arthroplasty for osteoarthritis following secondary osteonecrosis of the knee. Int. Orthop. 2018, 42, 2563–2571. [Google Scholar] [CrossRef]
- Vad, V.; Barve, R.; Linnell, E.; Harrison, J. Knee Osteoarthritis Treated with Percutaneous Chondral-Bone Interface Optimization: A Pilot Trial. Surg. Sci. 2016, 7, 1–12. [Google Scholar] [CrossRef]
- Cohen, S.B.; Sharkey, P.F. Surgical treatment of osteoarthritis pain related to subchondral bone defects or bone marrow lesions: Subchondroplasty. Tech. Knee Surg. 2012, 11, 170–175. [Google Scholar] [CrossRef]
- Cohen, S.; Sharkey, P. Subchondroplasty for Treating Bone Marrow Lesions. J. Knee Surg. 2015, 29, 555–563. [Google Scholar] [PubMed]
- Bonadio, M.B.; Giglio, P.N.; Helito, C.P.; Pécora, J.R.; Camanho, G.L.; Demange, M.K. Subchondroplasty for treating bone marrow lesions in the knee—Initial experience. Rev. Bras. Ortop. 2017, 52, 325–330. [Google Scholar] [CrossRef]
- Chua, K.; Kang, J.Y.B.; Ng, F.D.J.; Pang, H.N.; Lie, D.T.T.; Silva, A.; Chang, P.C.C. Subchondroplasty for Bone Marrow Lesions in the Arthritic Knee Results in Pain Relief and Improvement in Function. J. Knee Surg. 2021, 34, 665–671. [Google Scholar] [CrossRef]
- Chatterjee, D.; McGee, A.; Strauss, E.; Youm, T.; Jazrawi, L. Subchondral Calcium Phosphate is Ineffective for Bone Marrow Edema Lesions in Adults with Advanced Osteoarthritis. Clin. Orthop. Relat. Res. 2015, 473, 2334–2342. [Google Scholar] [CrossRef]






| Inclusion Criteria | Exclusion Criteria |
|---|---|
| Knee pain for at least 2 months | Active immunosuppressive and anticoagulant therapy |
| Failure of conservative protocol for 3 months | Systemic autoimmune rheumatic diseases and blood disorders |
| Presence of hypercaptating lesion (>2 cm in diameter) in T2-weighted fat suppression images located in the subchondral region of the tibial or femoral condyle | Tricompartmental OA of the affected knee |
| VAS pain in the compartment of BML at least 4/10 | Obvious structural deficiencies in the to be treated subchondral region |
| Moderate to severe OA (2 to 3 according to Kellgren–Lawrence) in the same compartment as the BML | Deviation of the mechanical alignment of the lower limbs larger than 8 degrees |
| Age 40–70 years |
| Variable | N (%) or Mean ± SD |
|---|---|
| Age, y (38–74) | 60.9 ± 8.2 |
| Sex (male) | 9 (45%) |
| Height, cm (158–186) | 172.3 ± 9.6 |
| Weight, kg (69–115) | 88.9 ± 15.0 |
| BMI, kg/m2(24.1–37.9) | 30.0 ± 4.4 |
| Time | KOOS | NPRS | WORMS | ||||||
|---|---|---|---|---|---|---|---|---|---|
| ADL | Pain | QoL | Sport | Symptoms | Total | SBM | Total | ||
| Preop | 42.4 ± 11.3 | 42.6 ± 11.6 | 19.4 ± 10. | 20.2 ± 13.5 | 47.7 ± 18.2 | 33.4 ± 10.6 | 8.3 ± 0.8 | 14.2 ± 11.4 | 66.1 ± 19.4 |
| Week 1 | 62.5 ± 14.0 *** | 62.6 ± 15.9 *** | 39.4 ± 22.0 *** | 42.9 ± 16.8 *** | 65.8 ± 15.9 ** | 53.9 ± 13.6 *** | 1.5 ± 1.0 *** | ||
| Week 3 | 75.8 ± 13.5 *** | 79.0 ± 14.0 *** | 57.8 ± 17.7 ** | 57.8 ± 18.6 ** | 80.4 ± 14.5 ** | 70.0 ± 12.6 *** | 1.0 ± 0.9 * | ||
| Week 6 | 80.8 ± 16.0 | 81.4 ± 15.0 | 58.4 ± 20.8 * | 61.0 ± 22.2 | 77.7 ± 17.3 | 72.0 ± 15.7 | 1.0 ± 1.0 | ||
| Month 3 | 88.2 ± 13.1 ** | 87.3 ± 13.6 | 68.6 ± 17.3 | 71.6 ± 14.6 * | 84.6 ± 13.8 | 80.0 ± 13.1 ** | 0.8 ± 0.8 | 9.3 ± 9.7 *** | 58.0 ± 15.9 *** |
| Month 6 | 88.2 ± 13.7 | 87.8 ± 14.5 | 78.1 ± 16.1 * | 76.9 ± 14.8 | 89.0 ± 12.7 | 84.1 ± 12.2 | 1.1 ± 1.4 | ||
| Month 12 | 82.8 ± 16.8 | 84.5 ± 15.0 | 67.6 ± 22.8 ** | 71.3 ± 21.6 | 83.0 ± 19.1 | 78.0 ± 17.9 | 1.4 ± 2.0 | ||
Disclaimer/Publisher’s Note: The statements, opinions and data contained in all publications are solely those of the individual author(s) and contributor(s) and not of MDPI and/or the editor(s). MDPI and/or the editor(s) disclaim responsibility for any injury to people or property resulting from any ideas, methods, instructions or products referred to in the content. |
© 2023 by the authors. Licensee MDPI, Basel, Switzerland. This article is an open access article distributed under the terms and conditions of the Creative Commons Attribution (CC BY) license (https://creativecommons.org/licenses/by/4.0/).
Share and Cite
Ivković, A.; Glavčić, M.; Vuletić, F.; Janković, S. Core Decompression Combined with Intraosseous Autologous Conditioned Plasma Injections Decreases Pain and Improves Function in Patients with Symptomatic Knee Bone Marrow Lesions. Biomedicines 2023, 11, 1799. https://doi.org/10.3390/biomedicines11071799
Ivković A, Glavčić M, Vuletić F, Janković S. Core Decompression Combined with Intraosseous Autologous Conditioned Plasma Injections Decreases Pain and Improves Function in Patients with Symptomatic Knee Bone Marrow Lesions. Biomedicines. 2023; 11(7):1799. https://doi.org/10.3390/biomedicines11071799
Chicago/Turabian StyleIvković, Alan, Marin Glavčić, Filip Vuletić, and Saša Janković. 2023. "Core Decompression Combined with Intraosseous Autologous Conditioned Plasma Injections Decreases Pain and Improves Function in Patients with Symptomatic Knee Bone Marrow Lesions" Biomedicines 11, no. 7: 1799. https://doi.org/10.3390/biomedicines11071799
APA StyleIvković, A., Glavčić, M., Vuletić, F., & Janković, S. (2023). Core Decompression Combined with Intraosseous Autologous Conditioned Plasma Injections Decreases Pain and Improves Function in Patients with Symptomatic Knee Bone Marrow Lesions. Biomedicines, 11(7), 1799. https://doi.org/10.3390/biomedicines11071799

