Initial Myeloid Cell Status Is Associated with Clinical Outcomes of Renal Cell Carcinoma
Abstract
1. Introduction
2. Materials and Methods
2.1. Peripheral Blood Collection and Manipulation
2.2. Flow Cytometry Analysis
2.3. Measurement of Pro-Inflammatory Factors in Plasma
2.4. Statistical Analysis
3. Results
3.1. Patients’ Clinical Outcomes
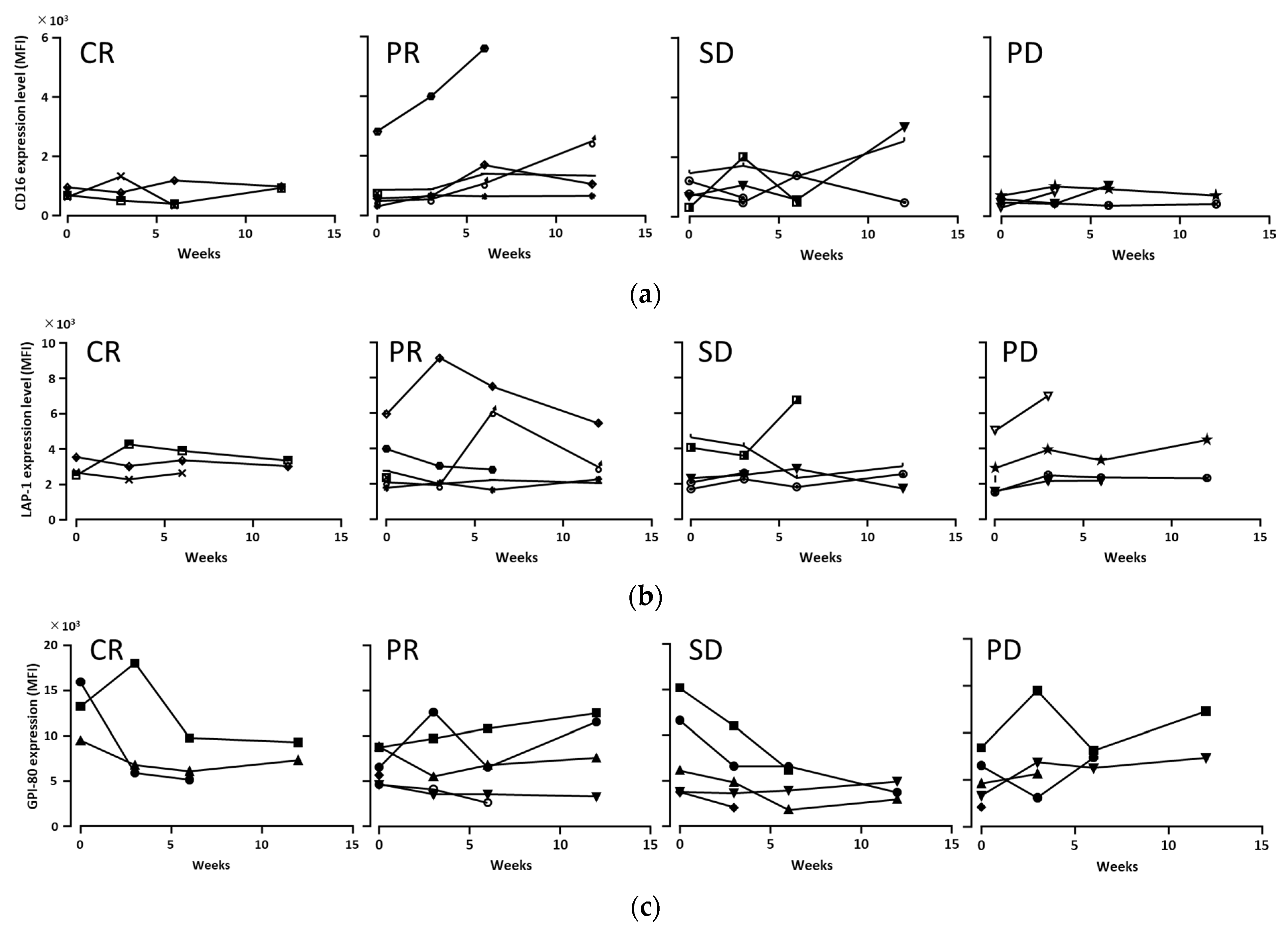
3.2. Changing Patterns of Myeloid Cell Parameters during ICI Therapy
3.3. CD16 and LAP-1 Increase in Immunoresponse-Non-Dominant Patients, but Not in Immunoresponse-Dominant Patients
3.4. A High GPI-80 Expression Level in Neutrophilic Cells Associates with an Antitumor Immune Responses
3.5. Variation in Pro-Inflammatory Factors in the Plasma of Patients with RCC
4. Discussion
Supplementary Materials
Author Contributions
Funding
Institutional Review Board Statement
Informed Consent Statement
Data Availability Statement
Conflicts of Interest
References
- Ostrand-Rosenberg, S.; Sinha, P. Myeloid-derived suppressor cells: Linking inflammation and cancer. J. Immunol. 2009, 182, 4499–4506. [Google Scholar] [CrossRef]
- Albeituni, S.H.; Ding, C.; Yan, J. Hampering immune suppressors: Therapeutic targeting of myeloid-derived suppressor cells in cancer. Cancer J. 2013, 19, 490–501. [Google Scholar] [CrossRef]
- Veglia, F.; Perego, M.; Gabrilovich, D. Myeloid-derived suppressor cells coming of age. Nat. Immunol. 2018, 19, 108–119. [Google Scholar] [CrossRef] [PubMed]
- Finke, J.; Ko, J.; Rini, B.; Rayman, P.; Ireland, J.; Cohen, P. MDSC as a mechanism of tumor escape from sunitinib mediated anti-angiogenic therapy. Int. Immunopharmacol. 2011, 11, 856–861. [Google Scholar] [CrossRef] [PubMed]
- Gabrilovich, D.I.; Nagaraj, S. Myeloid-derived suppressor cells as regulators of the immune system. Nat. Rev. Immunol. 2009, 9, 162–174. [Google Scholar] [CrossRef] [PubMed]
- Vafaei, S.; Zekiy, A.O.; Khanamir, R.A.; Zaman, B.A.; Ghayourvahdat, A.; Azimizonuzi, H.; Zamani, M. Combination therapy with immune checkpoint inhibitors (ICIs); a new frontier. Cancer Cell Int. 2022, 22, 2. [Google Scholar] [CrossRef] [PubMed]
- Shinohara, N.; Obara, W.; Tatsugami, K.; Naito, S.; Kamba, T.; Takahashi, M.; Murai, S.; Abe, T.; Oba, K.; Naito, S. Prognosis of Japanese patients with previously untreated metastatic renal cell carcinoma in the era of molecular-targeted therapy. Cancer Sci. 2015, 106, 618–626. [Google Scholar] [CrossRef] [PubMed]
- Motzer, R.J.; Tannir, N.M.; McDermott, D.F.; Arén Frontera, O.; Melichar, B.; Choueiri, T.K.; Plimack, E.R.; Barthélémy, P.; Porta, C.; George, S.; et al. Nivolumab plus ipilimumab versus sunitinib in Advanced Renal-Cell Carcinoma. N. Engl. J. Med. 2018, 378, 1277–1290. [Google Scholar] [CrossRef] [PubMed]
- Takeda, Y.; Nara, H.; Araki, A.; Asao, H. Human peripheral neutrophils express functional IL-21 receptors. Inflammation 2014, 37, 1521–1532. [Google Scholar] [CrossRef]
- Takeda, Y.; Kato, T.; Ito, H.; Kurota, Y.; Yamagishi, A.; Sakurai, T.; Araki, A.; Nara, H.; Tsuchiya, N.; Asao, H. The pattern of GPI-80 expression is a useful marker for unusual myeloid maturation in peripheral blood. Clin. Exp. Immunol. 2016, 186, 373–386. [Google Scholar] [CrossRef]
- Takeda, Y.; Fu, J.; Suzuki, K.; Sendo, D.; Nitto, T.; Sendo, F.; Araki, Y. Expression of GPI-80, a beta2-integrin-associated glycosylphosphatidylinositol-anchored protein, requires neutrophil differentiation with dimethyl sulfoxide in HL-60 cells. Exp. Cell Res. 2003, 286, 199–208. [Google Scholar] [CrossRef]
- Kato, T.; Takeda, Y.; Ito, H.; Kurota, Y.; Yamagishi, A.; Sakurai, T.; Naito, S.; Araki, A.; Nara, H.; Asao, H.; et al. GPI-80 as a useful index for myeloid cell heterogeneity and a potential prognostic biomarker for metastatic renal cell carcinoma. Tohoku J. Exp. Med. 2019, 249, 203–212. [Google Scholar] [CrossRef] [PubMed]
- Huang, J.; Takeda, Y.; Watanabe, T.; Sendo, F. A sandwich ELISA for detection of soluble GPI-80, a glycosylphosphatidyl-inositol (GPI)-anchored protein on human leukocytes involved in regulation of neutrophil adherence and migration--Its release from activated neutrophils and presence in synovial fluid of rheumatoid arthritis patients. Microbiol. Immunol. 2001, 45, 467–471. [Google Scholar] [CrossRef] [PubMed]
- Condamine, T.; Gabrilovich, D.I. Molecular mechanisms regulating myeloid-derived suppressor cell differentiation and function. Trends Immunol. 2011, 32, 19–25. [Google Scholar] [CrossRef] [PubMed]
- Jin, S.; Yang, Z.; Hao, X.; Tang, W.; Ma, W.; Zong, H. Roles of HMGB1 in regulating myeloid-derived suppressor cells in the tumor microenvironment. Biomark. Res. 2020, 8, 21. [Google Scholar] [CrossRef]
- Kanda, Y. Investigation of the freely available easy-to-use software “EZR” for medical statistics. Bone Marrow Transplant. 2013, 48, 452–458. [Google Scholar] [CrossRef]
- Resch, I.; Bruchbacher, A.; Franke, J.; Fajkovic, H.; Remzi, M.; Shariat, S.F.; Schmidinger, M. Outcome of immune checkpoint inhibitors in metastatic renal cell carcinoma across different treatment lines. ESMO Open 2021, 6, 100122. [Google Scholar] [CrossRef]
- Kartikasari, A.E.R.; Huertas, C.S.; Mitchell, A.; Plebanski, M. Tumor-induced inflammatory cytokines and the emerging diagnostic devices for cancer detection and prognosis. Front. Oncol. 2021, 11, 692142. [Google Scholar] [CrossRef]
- Lee, M.H.; Laajala, E.; Kreutzman, A.; Järvinen, P.; Nísen, H.; Mirtti, T.; Hollmén, M.; Mustjoki, S. The tumor and plasma cytokine profiles of renal cell carcinoma patients. Sci. Rep. 2022, 12, 13416. [Google Scholar] [CrossRef]
- Greten, F.R.; Grivennikov, S.I. Inflammation and cancer: Triggers, mechanisms, and consequences. Immunity 2019, 51, 27–41. [Google Scholar] [CrossRef]
- Hegde, S.; Leader, A.M.; Merad, M. MdSc. MDSC: Markers, development, states, and unaddressed complexity. Immunity 2021, 54, 875–884. [Google Scholar] [CrossRef] [PubMed]
- Zhao, F.; Hoechst, B.; Duffy, A.; Gamrekelashvili, J.; Fioravanti, S.; Manns, M.P.; Greten, T.F.; Korangy, F. S100A9 a new marker for monocytic human myeloid-derived suppressor cells. Immunology 2012, 136, 176–183. [Google Scholar] [CrossRef] [PubMed]
- Solito, S.; Marigo, I.; Pinton, L.; Damuzzo, V.; Mandruzzato, S.; Bronte, V. Myeloid-derived suppressor cell heterogeneity in human Cancers. Ann. N. Y. Acad. Sci. 2014, 1319, 47–65. [Google Scholar] [CrossRef] [PubMed]
- Trikha, P.; Carson, W.E., 3rd. Signaling pathways involved in MDSC regulation. Biochim. Biophys. Acta. 2014, 1846, 55–65. [Google Scholar] [CrossRef]
- Najjar, Y.G.; Rayman, P.A.; Tannenbaum, C.; Jia, X.; Elson, P.; Diaz-Montero, C.M.; Hamilton, T.; Rini, B.; Finke, J. Accumulation of MDSC subsets in renal cell carcinoma correlates with grade and progression free survival, and is associated with intratumoral expression of IL-1β, IL-8 and CXCL5. J. Immunother. Cancer 2014, 2, 227. [Google Scholar] [CrossRef]
- Yuen, K.C.; Liu, L.F.; Gupta, V.; Madireddi, S.; Keerthivasan, S.; Li, C.; Rishipathak, D.; Williams, P.; Kadel, E.E.; Koeppen, H.; et al. High systemic and tumor-associated IL-8 correlates with reduced clinical benefit of PD-L1 blockade. Nat. Med. 2020, 26, 693–698. [Google Scholar] [CrossRef]
- Mittal, P.; Wang, L.; Akimova, T.; Leach, C.A.; Clemente, J.C.; Sender, M.R.; Chen, Y.; Turunen, B.J.; Hancock, W.W. The CCR2/MCP-1 chemokine pathway and lung adenocarcinoma. Cancers 2020, 12, 3723. [Google Scholar] [CrossRef]
- Fan, L.; Xu, G.; Cao, J.; Li, M.; Zhang, H.; Li, F.; Qi, X.; Zhang, X.; Li, Z.; Han, P.; et al. Type I interferon promotes antitumor T cell response in CRPC by regulating MDSC. Cancers 2021, 13, 5574. [Google Scholar] [CrossRef]
- Wang, H.W.; Zhou, F.; Zhao, C.; Cheng, L.; Zhou, C.C.; Qiao, M.; Li, X.; Chen, X. Interleukin-10 is a promising marker for immune-related adverse events in patients with non-small cell lung cancer receiving immunotherapy. Front. Immunol. 2022, 13, 840313. [Google Scholar] [CrossRef]
- Wang, M.; Zhai, X.Y.; Li, J.; Guan, J.Y.; Xu, S.H.; Li, Y.Y.; Zhu, H. The role of cytokines in predicting the response and adverse events related to immune checkpoint inhibitors. Front. Immunol. 2021, 12, 670391. [Google Scholar] [CrossRef]
- Sun, L.; He, C.; Nair, L.; Yeung, J.; Egwuagu, C.E. Interleukin 12 (IL-12) family cytokines: Role in immune pathogenesis and treatment of CNS autoimmune disease. Cytokine 2015, 75, 249–255. [Google Scholar] [CrossRef] [PubMed]
- Xiao, P.; Wan, X.P.; Cui, B.J.; Liu, Y.; Qiu, C.Y.; Rong, J.B.; Zheng, M.; Song, Y.; Chen, L.; He, J.; et al. Interleukin 33 in tumor microenvironment is crucial for the accumulation and function of myeloid-derived suppressor cells. Oncoimmunology 2016, 5, e1063772. [Google Scholar] [CrossRef] [PubMed]
- Zhang, Y.; Chandra, V.; Riquelme Sanchez, E.R.; Dutta, P.; Quesada, P.R.; Rakoski, A.; Zoltan, M.; Arora, N.; Baydogan, S.; Horne, W.; et al. Interleukin-17-induced neutrophil extracellular traps mediate resistance to checkpoint blockade in pancreatic cancer. J. Exp. Med. 2020, 217, 354. [Google Scholar] [CrossRef] [PubMed]
- Liu, C.; Liu, R.Q.; Wang, B.J.; Lian, J.; Yao, Y.; Sun, H.X.; Zhang, C.; Fang, L.; Guan, X.; Shi, J.; et al. Blocking IL-17A enhances tumor response to anti-PD-1 immunotherapy in microsatellite stable colorectal cancer. J. Immunother. Cancer 2021, 9, e001895. [Google Scholar] [CrossRef] [PubMed]
- Zheng, X.C.; Zhou, Y.; Yi, X.; Chen, C.C.; Wen, C.H.; Ye, G.F.; Li, X.; Tang, L.; Zhang, X.; Yang, F.; et al. IL-21 receptor signaling is essential for control of hepatocellular carcinoma growth and immunological memory for tumor challenge. Oncoimmunology 2018, 7, e1500673. [Google Scholar] [CrossRef]
- Liikanen, I.; Koski, A.; Merisalo-Soikkeli, M.; Hemminki, O.; Oksanen, M.; Kairemo, K.; Joensuu, T.; Kanerva, A.; Hemminki, A. Serum HMGB1 is a predictive and prognostic biomarker for oncolytic immunotherapy. Oncoimmunology 2015, 4, e989771. [Google Scholar] [CrossRef]
- Naumnik, W.; Nilklińska, W.; Ossolińska, M.; Chyczewska, E. Serum levels of HMGB1, survivin, and VEGF in patients with advanced non-small Cell Lung Cancer during chemotherapy. Folia Histochem. Cytobiol. 2009, 47, 703–709. [Google Scholar] [CrossRef]
- Tripathi, A.; Shrinet, K.; Kumar, A. HMGB1 protein as a novel target for cancer. Toxicol. Rep. 2019, 6, 253–261. [Google Scholar] [CrossRef]
- Takeda, Y.; Kawano, K.; Ma, R.; Saitoh, S.; Asao, H. Five patterns of cell signaling pathways associated with cell behavior. bioRxiv 2020. bioRxiv: 2020.08.04.235986. [Google Scholar]
- Zarrabi, K.; Walzer, E.; Zibelman, M. Immune Checkpoint Inhibition in Advanced Non-Clear Cell Renal Cell Carcinoma: Leveraging Success from Clear Cell Histology into New Opportunities. Cancers 2021, 13, 3652. [Google Scholar] [CrossRef]





| Total number of patients | N |
| 51 | |
| Age | median of years (range) |
| 69.0 (40–84) | |
| Sex | n (%) |
| Male | 42 (82.3) |
| Female | 9 (17.7) |
| Histology | n (%) |
| Clear cell | 39 (76.5) |
| Papillary | 1 (1.9) |
| Bellini duct | 1 (1.9) |
| Chromophobe | 3 (5.9) |
| Acquired cystic disease-associated | 1 (1.9) |
| Unclassified | 6 (11.9) |
| 1 T stage | n (%) |
| 1a | 3 (5.9) |
| 1b | 10 (19.7) |
| 2a | 9 (17.7) |
| 2b | 1 (1.9) |
| Unclassified | 3 (5.9) |
| 3a | 23 (45.1) |
| 3b | 1 (1.9) |
| 3c | 1 (1.9) |
| 1 N stage | n (%) |
| 0 | 43 (84.3) |
| 1 | 3 (5.9) |
| 2 | 5 (9.8) |
| 1 M stage | n (%) |
| 0 | 2 (4.0) |
| 1 | 49 (96.0) |
| Site of Metastasis | n (%) |
| Lung | 35 (68.6) |
| Lymph node | 19 (37.2) |
| Bone | 18 (35.2) |
| Liver | 6 (11.9) |
| Pancreas | 4 (7.8) |
| Adrenal | 4 (7.8) |
| Brain | 4 (7.8) |
| Skin | 1 (1.9) |
| Category | Regimen | Therapy Lines | Immunoresponse-Dominant | Immunoresponse-non-Dominant | NE | |||||||
|---|---|---|---|---|---|---|---|---|---|---|---|---|
| 1st | 2nd | 3rd | 4th | 5th | 6th | CR | PR | SD | PD | |||
| ICI | N + I | 15 | 3 | 4 | 3 | 5 | ||||||
| N | 2 | 4 | 3 | 2 | 5 | 2 | ||||||
| ICI + TKI | A + A | 3 | 2 | 1 | ||||||||
| P + A | 1 | 1 | ||||||||||
| Chemotherapy | ||||||||||||
| SO | 2 | 1 | 1 | 1 | 1 | |||||||
| CABO | 1 | 5 | 3 | 4 | 2 | 1 | 8 | 6 | 1 | 1 | ||
| PAZ | 1 | 1 | ||||||||||
| AX | 1 | 1 | ||||||||||
| TS-1 | 1 | 1 | ||||||||||
| EV | 1 | 1 | ||||||||||
| n | 20 | 9 | 9 | 9 | 3 | 1 | 3 | 17 | 21 | 9 | 1 | |
| (%) | 39.1 | 17.7 | 17.7 | 17.7 | 5.9 | 1.9 | 5.9 | 33.3 | 41.2 | 17.7 | 1.9 | |
Disclaimer/Publisher’s Note: The statements, opinions and data contained in all publications are solely those of the individual author(s) and contributor(s) and not of MDPI and/or the editor(s). MDPI and/or the editor(s) disclaim responsibility for any injury to people or property resulting from any ideas, methods, instructions or products referred to in the content. |
© 2023 by the authors. Licensee MDPI, Basel, Switzerland. This article is an open access article distributed under the terms and conditions of the Creative Commons Attribution (CC BY) license (https://creativecommons.org/licenses/by/4.0/).
Share and Cite
Sabrina, S.; Takeda, Y.; Kato, T.; Naito, S.; Ito, H.; Takai, Y.; Ushijima, M.; Narisawa, T.; Kanno, H.; Sakurai, T.; et al. Initial Myeloid Cell Status Is Associated with Clinical Outcomes of Renal Cell Carcinoma. Biomedicines 2023, 11, 1296. https://doi.org/10.3390/biomedicines11051296
Sabrina S, Takeda Y, Kato T, Naito S, Ito H, Takai Y, Ushijima M, Narisawa T, Kanno H, Sakurai T, et al. Initial Myeloid Cell Status Is Associated with Clinical Outcomes of Renal Cell Carcinoma. Biomedicines. 2023; 11(5):1296. https://doi.org/10.3390/biomedicines11051296
Chicago/Turabian StyleSabrina, Saima, Yuji Takeda, Tomoyuki Kato, Sei Naito, Hiromi Ito, Yuki Takai, Masaki Ushijima, Takafumi Narisawa, Hidenori Kanno, Toshihiko Sakurai, and et al. 2023. "Initial Myeloid Cell Status Is Associated with Clinical Outcomes of Renal Cell Carcinoma" Biomedicines 11, no. 5: 1296. https://doi.org/10.3390/biomedicines11051296
APA StyleSabrina, S., Takeda, Y., Kato, T., Naito, S., Ito, H., Takai, Y., Ushijima, M., Narisawa, T., Kanno, H., Sakurai, T., Saitoh, S., Araki, A., Tsuchiya, N., & Asao, H. (2023). Initial Myeloid Cell Status Is Associated with Clinical Outcomes of Renal Cell Carcinoma. Biomedicines, 11(5), 1296. https://doi.org/10.3390/biomedicines11051296

