Abstract
Identifying target microRNAs (miRNAs) might serve as a basis for developing advanced therapies for Parkinson’s disease (PD) and Alzheimer’s disease. This review aims to identify the main therapeutic targets of miRNAs that can potentially act in Parkinson’s and Alzheimer’s diseases. The publication research was conducted from May 2021 to March 2022, selected from Scopus, PubMed, Embase, OVID, Science Direct, LILACS, and EBSCO. A total of 25 studies were selected from 1549 studies evaluated. The total number of miRNAs as therapeutic targets evidenced was 90 for AD and 54 for PD. An average detection accuracy of above 84% for the miRNAs was observed in the selected studies of AD and PD. The major signatures were miR-26b-5p, miR-615-3p, miR-4722-5p, miR23a-3p, and miR-27b-3p for AD and miR-374a-5p for PD. Six miRNAs of intersection were found between AD and PD. This article identified the main microRNAs as selective biomarkers for diagnosing PD and AD and therapeutic targets through a systematic review and meta-analysis. This article can act as a microRNA guideline for laboratory research and pharmaceutical industries for treating Alzheimer’s and Parkinson’s diseases and offers the opportunity to evaluate therapeutic interventions earlier in the disease process.
1. Introduction
In the scenario of neurodegenerative diseases, Alzheimer’s disease (AD) occupies the first position of the most incident neurodegenerative disease, and in second place is Parkinson’s disease (PD), impacting 1% of the population over 60 years of age []. Patients with PD usually have non-motor symptoms, including autonomic nervous system disorders such as constipation, bladder dysfunction, orthostatic hypotension, impaired sleep, and smell, in addition to motor symptoms such as resting tremor, postural instability, gait disturbances, rigidity, and bradykinesia [].
Otherwise, at the molecular level, the abnormal accumulation of the α-synuclein protein (α-Syn) is related to the degeneration of dopaminergic neurons, with consequent dopamine deficiency []. In this sense, the accumulation of α-Syn, the formation of Lewy bodies and Lewy neurites, and their mutations and multiplication are linked to hereditary PD, according to Braak’s hypothesis [].
As a form of treatment, nucleic acid therapy for PD includes dopamine biosynthetic enzymes for increasing dopamine production or modulate basal ganglia circuitry for alleviating motor symptoms [], as well as the use of factors trophies in an attempt to increase the survival of dopaminergic neurons [,]. Thus, the spotlight is focused on the negative regulation of α-Syn gene expression, highlighting the microRNAs (miRNA) []. In this way, at least five genes have been associated with this multigenic disease, including α-synuclein, leucine-rich repeat kinase 2 (LRRK2), parkin, phosphatase and tensin homolog-induced kinase 1 (PINK1), as well as DJ-1 [], being promising therapeutic targets for the treatment of PD [].
AD is a progressive neurodegenerative disease characterized by memory loss, multiple cognitive impairments, and changes in personality and behavior. According to the 2018 World Alzheimer’s Report, more patients were diagnosis, and more than 50 million people are estimated to have dementia in 2018. This number is estimated to increase to 82 million by 2030 and 152 million by 2050. However, two-thirds of women and one-third of men are at risk of being diagnosed with AD at some point in their lives []. The major risk for developing AD is aging.
In this context, early-onset familial AD affects people younger than 65 years of age, with genetic mutations in the amyloid precursor protein (APP), presenilin 1 (PS1), and presenilin 2 (PS2) genes as the leading cause of familial AD early-onset []. Furthermore, the ApoE 4/4 genotype significantly contributes to late-onset disease, and genetic polymorphisms in the CD2AP, EPHA1, and MS4A4/MS4A6E receptors are reported []. In addition, predictors such as type 2 diabetes, traumatic brain injury, stroke, and Down Syndrome stand out. Lifestyle, diet, environment, and age can contribute to late-onset AD [].
In preclinical studies, anatomopathological investigations of AD from mouse brain tissues revealed that multiple findings are related to the pathogenesis of AD, such as defective miRNA regulation, mitochondrial damage, synaptic dysfunction, and amyloid formation and accumulation, as well as the formation of neuritic and neurofibrillary plaques in the brain [,,,,,,,,,]. Based on these findings, developing innovative therapeutic strategies is imperative, highlighting cell therapy and its products, such as exosomes and miRNAs [].
In this approach, exosomes are extracellular vesicles that contain proteins, mRNAs, miRNAs, and DNAs [] and play an essential role in cellular communication through biomolecules. Evidence suggests that MSC-derived exosomes (MSC-EXO) exhibit functions similar to MSCs with low immunogenicity and do not stimulate malignant transformation [,,,,,,], and they express several cytokines such as Tumor Necrosis Factor-α (TNF-α), Granulocyte-Macrophage Colony Stimulating Factor (GMCSF), and Interleukin (IL)-2, IL-6, IL-8, IL-10, IL-15, IL-1β [,,].
The exosomes and miRNA are involved in cellular communication and are documented as critical therapeutic targets in neurodegenerative diseases []. Furthermore, miRNAs function as biomarkers for the early diagnosis of these diseases [] and can regulate post-transcriptional gene expression by binding to the 3′ untranslated region (UTR) of their target mRNAs []. The regulation was mediated by mRNA cleavage/degradation or translation inhibition []. In this sense, the altered expression of specific miRNAs in patients with AD and PD points to the important role of miRNAs in the pathogenesis of these diseases and the therapeutic potential [,].
The present study aimed to identify, through a systematic review and meta-analysis, the microRNAs related to Parkinson’s and Alzheimer’s diseases, establishing a guideline for developing new therapies.
2. Materials and Methods
2.1. Study Design
The present study followed the international model of systematic reviews and meta-analyses, following the rules of PRISMA (preferred reporting items for systematic reviews and meta-analyses) (Supplementary Table S1 and Figure S1) [] and registered in the Institutional Review Board of PROSPERO International of systematic reviews (protocol code CRD354228, 17 August 2022).
Table 1 shows the main variables that were addressed in the present study, according to the designation of the PICOS literary search strategy (Participants; Intervention; Control; Outcomes, and Study Design).
Table 1.
Publication Search Strategy—PICOS.
2.2. Instruments and Professionals Used for Study Eligibility
The studies were rigorously chosen following the search strategy in Table 1, presented scientific quality according to the GRADE classification [], and did not present a risk of significant bias, that is, they did not compromise the safety of the data results, according to the Cochrane instrument [].
For the selection and enrollment of the studies, two independent reviewers performed the research and study selection. Data extraction was performed by reviewer one and was thoroughly reviewed by reviewer two. A third investigator decided on some conflicting points for the final selection of the articles. Only studies reported in English were evaluated.
2.3. Eligibility Criteria, Study Quality, and Risk of Bias
According to the recommendations of GRADE [], the quality of scientific evidence in the studies addressed was classified as high, moderate, low, or very low, according to the risk of evidence bias, sample size, clarity of comparisons, precision, and consistency in the effects of the analyses. High-quality evidence was assigned through seven criteria: (1) In vitro controlled randomized clinical trials (human biological samples); (2) Sample size greater than 15 biological samples; (3) Studies that showed an accuracy (%) of quantitative polymerase chain reaction (qPCR) measurements above 50%; (4) Studies that showed Alzheimer’s and Parkinson’s diseases with a genetic cause and not by transitory or epigenetic effects; (5) Studies that were controlled by biological samples from patients with mild cognitive impairment (MCI), frontotemporal lobar degeneration, DLB (dementia with Lewy bodies), multiple system atrophy, and Progressive Supranuclear palsy; (6) Studies with statistically well-designed results; (7) Studies that were published in indexed journals and had a significant impact factor.
The Cochrane Instrument [] was adopted to assess the risk of bias in the selected studies, using the Cohen Test to calculate the effect size (Effect Size) versus the inverse of the Standard Error (precision or sample size) to determine the Risk of Bias of the studies using the Funnel Plot.
2.4. Data Sources, Research Strategy, and Study Publication Date
The search strategies for the present study were based on the keywords of the medical subject headings (Mesh Terms): Parkinson’s disease; Alzheimer’s disease; Biomarkers; Therapeutic target; Diagnosis; Exosomes; MicroRNA. Search filters designated as clinical studies and clinical studies with biological samples were used. The publication search was developed based on Scopus, PubMed, Embase, OVID, Science Direct, LILACS, and EBSCO. In addition, a combination of the keywords with the Booleans “OR” and “AND” and the “NOT” operator were used to target scientific articles of interest. The title and abstracts were examined under all conditions. Table 2 presents an example of the search structure in PubMed. The same search strategy was used in the other databases.
Table 2.
For an example of the search structure in PubMed, the same search strategy was used in the other databases.
2.5. Statistical Analysis—Meta-Analysis
The statistical programs Minitab 18® (version 18, Minitab, LLC, State College, PA, USA) and OriginPro® 9 (DPR Group, Inc., Northampton, MA, USA) were used. Descriptive statistical analysis was performed for numerical variables, with the mean values, standard deviation, confidence interval (CI), and percentage. The Anderson–Darling (AD) normality test was performed for non-binary numerical variables, adopting p > 0.10 as normal (standard). The Cohen test was performed to calculate the effect size (Effect Size). The inverse of the standard error (precision or sample size) was established to determine the risk of bias in the studies using the Funnel Plot. The Heterogeneity Test (Chi-Square Test ≥ X2) of the results between the studies was also determined, with p < 0.05 and with no statistically significant difference, in the 95% CI, adopting low association codes 25%, medium association = 25% < X < 50%, and high association 50%. The One-Way test (ANOVA) was performed between the values of the means of identification accuracy of the microRNAs, adopting the α level lower than 0.05, with a statistically significant difference for the 95% CI. To know the chances of a particular microRNA being identified more than once, the Nominal Logistic Regression analysis test was carried out, adopting a referential group with the Odds Ratio (OR) calculation to know the probability ratio between the analyzed groups, with 95% CI.
3. Results
A total of 25 studies (11 studies of Parkinson’s disease (PD) only, 12 studies of Alzheimer’s disease (AD) only, and two studies that presented both AD and PD in the same work) were selected from a total of 1549 evaluated studies (581 (PD) and 968 (AD)), comprising a total of 2160 human participants, a moderate to a high quality of scientific evidence, and an average degree of confidence and a recommendation of 80%, according to the GRADE classification (Supplementary Figure S1). In addition, it was observed that the analyzed studies showed homogeneity in the results in terms of accuracy in identifying samples of AD and PD miRNAs, showing 98.95% (X2).
Table 3 shows the results of the Detection Rate (Accuracy (%) or accuracy of miRNA identification by qPCR in each selected study). Through the correlation between the test and control groups in each study, the Chi-Square method (X2) test showed that all correlations presented a statistically significant difference, with p > 0.05 in the 95% CI, for both AD and PD studies. Table 3 also presents the results of the effect size (Cohen’s Test) and the 1/standard deviation (sample size) to determine the risk of bias in the studies addressed in this work.
Table 3.
Results of the Detection Rate (Accuracy (%) of the identification of miRNAs by qPCR in each selected study.
Figure 1 presents the results of the risk of bias of the studies through the Funnel Plot, showing the calculation of the Effect Size (magnitude of the difference) using the Cohen Test (d). This graph presented a symmetrical behavior, not suggesting a significant risk of bias, both among studies with a small sample size (lower precision, with a total of eight (8) studies), which are shown at the base of the graph (red balls), and studies with a high sample size, with a total of 17 studies, which are presented in the upper region of Figure 1.
Figure 1.
The symmetrical Funnel Plot does not suggest a risk of bias between the small-sample-size studies that are shown at the bottom of the graph. High-confidence and high-recommendation studies are shown above the graph (blue balls).
Table 4 summarizes the main general findings of each study addressed in this work. Of the 25 studies selected to compose the meta-analysis, only two studies (Burgos et al., 2014 [] and Nie et al., 2020 []) presented results of the quantification of miRNAs for both AD and PD. As evidenced by therapeutic targets, the total of up-regulated and down-regulated miRNAs was 90 for AD and 54 for PD, obtained mainly from CSF, serum, and plasma. Most studies had two types of controls: a control composed of healthy participants, and one composed of participants with mild cognitive impairment (MCI), frontotemporal lobar degeneration, DLB (dementia with Lewy bodies), multiple system atrophy, and paralysis progressive supranuclear.
Table 4.
Results of the Detection Rate (Accuracy (%) of the identification of miRNAs by qPCR in each selected study. Alzheimer’s disease (AD); Parkinson’s disease (PD).
Figure 2 shows the number of deregulated miRNAs that were identified in both AD and PD studies. Six miRNAs of intersection were found between AD and PD (miR-197-3p, Mir-576-5p, miR-1468-5p, miR-375, miR-let-7e-5p and miR-122-3p).
Figure 2.
Number and types of miRNAs found at the intersection between Alzheimer’s disease (AD) and Parkinson’s disease (PD). * Common microRNAs in AD and PD (intersection).
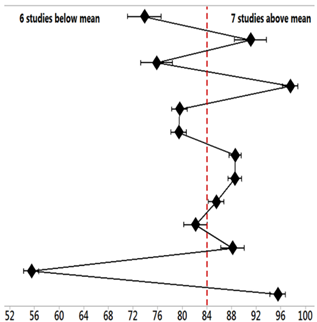
Through the Forest Plot graph presented in Table 5 and Table 6 relating to AD, the values distribution of each study’s means and the standard deviation of accuracy (%) concerned the total mean of 84.37 ± 7.94%, in the confidence interval of 95%. Through this, eight studies were identified with accuracy values (%) equal to or above the total average. These eight studies are identified by reference numbers [,,,,,,,].
Table 5.
Results of the statistical analysis of the accuracy (%) of identification and quantification by qPCR of miRNAs concerning Alzheimer’s disease (AD), with p > 0.05 and no statistically significant difference, at 95% CI.
Table 6.
Tukey’s statistical analysis among studies with the highest accuracy (%), with p > 0.05 at 95% CI. The study groups presented these results with the same letter.
These eight studies were selected to determine their respective types of miRNAs. They presented the highest accuracies (%) in identifying and quantifying the miRNAs, with greater scientific credibility as biomarkers and therapeutic targets in identifying AD, either in the up- or downregulation.
In addition, Tukey’s statistical analysis (One-Way ANOVA) showed that there was no statistically significant difference between the studies with the highest accuracy (%), with p > 0.05 in the 95% CI. The study groups presented these results with the same letter, as shown in Table 6.
Table 5 represents the statistical analysis results of the accuracy (%) of identification and quantification by qPCR of miRNAs concerning AD. Fourteen studies were listed, showing each study’s mean and standard deviation of accuracy (%), with a total mean of 84.37 ± 7.94%.
Through the Forest Plot graph presented in Table 7 relating to PD, each study’s mean values and standard deviation of accuracy (%) concerning the total mean value of 84.32 ± 7.15% (CI 95%) were distributed. Thus, seven studies were identified with accuracy values (%) above the total average. These seven results are demonstrated by the studies with reference numbers [,,,,,,].
Table 7.
Results of the statistical analysis of the accuracy (%) of identification and quantification by qPCR of miRNAs concerning PD, with p > 0.05 and no statistically significant difference, at CI 95%.
These seven studies were selected to determine their respective types of miRNAs. They present the highest accuracy (%) in identifying and quantifying the most scientifically credible miRNAs as biomarkers and therapeutic targets in identifying PD in up- and downregulation.
Table 7 represents the statistical analysis results of the accuracy (%) of identification and quantification by qPCR of miRNAs concerning PD. A total of thirteen studies were listed, showing each study’s mean and standard deviation of accuracy (%), with a total mean of 84.32 ± 7.15%.
After identifying the most scientifically reliable miRNAs of the selected studies through the accuracy (%) or precision analysis, as shown in Table 5 and Table 7, the main miRNAs for AD and PD were listed in up- and downregulation, respectively, as shown in Figure 3.
Figure 3.
miRNAs above the mean concerning sample identification accuracy. Alzheimer’s disease (AD); Parkinson’s disease (PD).
Additionally, there was no significant difference between studies with higher accuracy (%), according to Tukey’s analysis, with p > 0.05 in the 95% CI. The study groups presented these results with the same letter, as shown in Table 8.
Table 8.
Tukey’s statistical analysis among studies with the highest accuracy (%), with p > 0.05 at 95% CI. The study groups presented these results with the same letter.
Of the total number of miRNAs identified in the present study, 90 AD and 54 PD, it was statistically analyzed by nominal logistic regression to determine which of these miRNAs had the highest odds (Odds Ratio) of being identified by qPCR. The results showed five (5) miRNAs—miR-26b-5p (up-regulated), miR-615-3p (up-regulated), miR-4722-5p (up-regulated), miR23a-3p (up-regulated), and miR-27b-3p—for AD, with OR = 2.55 (1023-3432) and p = 0.004 < 0.05. Regarding PD, the results showed miR-374a-5p (down-regulated), with OR = 2.16 (0.087-3.567) and p = 0.0035 < 0.05, as shown in Table 9.
Table 9.
Results of nominal logistic regression analysis to identify which miRNAs have the highest odds (Odds Ratio) of being identified by qPCR, with p < 0.05 and statistical significance at CI 95%. Alzheimer’ Disease (AD); Parkinson’ Disease (PD).
Based on the results presented in Table 9, a search was conducted to determine which of these miRNAs are present in the groups of the main AD and PD miRNAs selected by the accuracy criterion (%) shown in Figure 3. The results showed that all miRNAs (AD and PD) that had the highest chances of being identified by qPCR (Table 9) were included in the groups of the main miRNAs of high accuracy (%), except for miR-27b-3p, belonging to the AD group in Table 9, as shown in Figure 4.
4. Discussion
Based on the objective of the present study, it was evidenced that the majority of the twenty-five studies of AD and PD presented a mean accuracy in identifying miRNAs by qPCR above 84%, with moderate to strong scientific evidence. These showed greater scientific credibility in the findings of each study, contributing in a tangible way to identifying the main miRNAs as selective biomarkers for the diagnosis of these diseases, as well as therapeutic targets in gene, cellular, and pharmacological treatment.
The present study’s results do not show a risk of bias, both in studies with large and small sample sizes. In addition, two studies (Burgos et al., 2014 [] and Nie et al., 2020 []) presented the results of the quantification of miRNAs for both AD and PD. The total up-regulated and down-regulated miRNAs as biomarkers and therapeutic targets were obtained mainly from CSF, serum, and plasma. Most miRNAs were obtained from serum and plasma, facilitating laboratories worldwide’ work for rapid sampling identification and quantification sampling.
The published studies selected in the present analysis presented mainly two types of controls, one composed of healthy participants and the other composed of participants with mild cognitive impairment (MCI), frontotemporal lobar degeneration, DLB (dementia with Lewy bodies), multiple system atrophy, and Progressive Supranuclear palsy. In addition, studies that presented Alzheimer’s and Parkinson’s diseases with genetic causes and not by transient or epigenetic effects were selected to eliminate the main confounders in accurately identifying miRNAs for AD and PD.
Furthermore, in the studies with better accuracy rates in the identification by qPCR of AD and PD miRNAs, the distribution of the values of the means and standard deviation of the accuracy (%) of each study concerning the values of the total mean of AD and PD was, respectively, 84.37 ± 7.94% and 84.32 ± 7.15%. Among these, eight studies were identified with accuracy values (%) equal to or above the total average for AD, and seven studies were identified for PD in the identification and quantification of miRNAs (up- and downregulated) of greater scientific credibility as biomarkers and therapeutic targets in the identification of these diseases.
Additionally, from the total number of miRNAs identified (90 AD and 54 PD) which have the highest chances (Odds Ratio) of being identified by qPCR, a regression analysis was performed, which indicated five (5) miRNAs—miR-26b-5p (up-regulated), miR-615-3p (up-regulated), miR-4722-5p (up-regulated), miR23a-3p (up-regulated), and miR-27b-3p for AD, with OR = 2.55 (1023–3432) and p = 0.004 < 0.05, and only one (1) miRNA related to PD, miR-374a-5p (down-regulated), with OR = 2.16 (0.087–3.567) and p = 0.0035 < 0.05. After crossing the information, the results showed that all miRNAs (AD and PD) that presented the highest chances of being identified by qPCR (Table 9) are included in the groups of the prominent miRNAs with high accuracy (%), except for miR-27b-3p, belonging to the AD group of Table 9, as shown in Figure 4 of this study. These findings strongly highlighted the main miRNAs as biomarkers and therapeutic targets for AD and PD, thus contributing to future studies of advanced therapy with anti-miRNAs or antigenic modulation through vectors such as mesenchymal stem cell exosomes [,,], as well as for pharmacological therapies [,,,].
In this context, exosomes present a potential mechanism for the modulation of pathological α-Syn in the brain, as they can transport proteins and genetic material between cells, including mRNA and miRNA, contributing to the relief of AD and PD symptoms. Furthermore, because of their small size, exosomes can be used as vectors for the delivery of therapeutics [,,,].
Considering the critical role of α-Syn in PD, it is clear to understand the mechanisms that regulate its expression for therapeutic purposes since the reduced expression of these specific miRNAs can result in high levels of α-Syn in patients with PD. As a corollary of this, miR-7 and miR-153 have been shown to accelerate the degradation of performed α-Syn fibrils [,,,,].
Additionally, MiR-205 levels are reduced in the frontal and striate cortex of PD patients, and LRRK2 expression is increased []. Genome-wide association studies have also identified variations in miR-4519 and miR-548at-5p related to PD []. However, the present study did not recruit this miRNA because it did not present significant accuracy in serum or plasma, given that the purpose of this study was to elect the main miRNAs of rapid and high identification and quantification for the diagnosis and monitoring of diseases and indications of biological and pharmacological direct relevance.
Based on these findings, it is essential to better understand the common genetic variants associated with AD and PD since most of the genetic risk remains uncharacterized. It is imperative to understand the role of regulatory elements such as miRNAs. The miRNAs relevant to neurodegenerative diseases are related to axonal guidance, apoptosis, and inflammation, so AD and PD likely arise from defects in underlying biological pathways. Furthermore, pathways regulated by APP, L1CAM, and genes from the caspase family may represent promising therapeutic targets of miRNAs in AD and PD, being therapeutic targets of deregulated miRNAs in both disorders [].
As a corollary, targeting miRNAs offers a potential therapeutic opportunity for AD and PD, highlighting two strategies. The aim of this approach is based on the hypothesis that the downregulation of the specific protein level is a protective therapeutic strategy []. In this sense, the miRNA mimics that are used to inhibit the expression of target proteins stand out.
Moreover, miRNA-based therapy involves using anti-miRNA molecules to cause the loss of specific miRNA function []. As an example, miRNA-7 targets the 3′-UTR of α-Syn mRNA and facilitates the clearance of α-synuclein aggregates [], and it exhibits protective effects against MPP+/1-methyl-4-induced toxicity -phenyl-1,2,3,6-tetrahydropyridine (MPTP) [,,,,]. Therefore, miRNAs circulating in the blood and other biofluids can be characterized and used as non-invasive diagnostic biomarkers that facilitate early disease detection and the continuous monitoring of AD and PD disease progression. Such screening is essential for understanding which types of miRNAs change in the progression of these diseases and when these changes happen [].
In this way, the results of the present study can act as a guideline for miRNAs for research laboratories and pharmaceutical industries of interest in the possible treatments of AD and PD diseases. Soon, these results may support the diagnosis of these diseases and offer therapeutic interventions earlier in the disease process.
5. Conclusions
Based on the findings of this study, it was evident that most Alzheimer’s and Parkinson’s diseases studies showed accuracy in the qPCR identification of miRNAs above the total average, demonstrating greater scientific credibility and solidly contributing to the identification of the main microRNAs as selective biomarkers for the diagnosis of these diseases, as well as therapeutic targets.
The major signatures were miR-26b-5p, miR-615-3p, miR-4722-5p, miR23a-3p, and miR-27b-3p for AD and miR-374a-5p for PD. There were six miRNAs of intersection between AD and PD: miR-197-3p, Mir-576-5p, miR-1468-5p, miR-375, miR-let-7e-5p, and miR-122-3p.
This article can act as a microRNA guideline for research laboratories and pharmaceutical industries for treating Alzheimer’s and Parkinson’s diseases and offer the opportunity to evaluate therapeutic interventions earlier in the disease process.
Supplementary Materials
The following supporting information can be downloaded at: https://www.mdpi.com/article/10.3390/biomedicines11041113/s1, Figure S1: Flowchart showing the article selection process. PRISMA 2020; Table S1: Prisma 2020 Checklist [].
Author Contributions
Study concepts: K.A.T.d.C.; study design: K.A.T.d.C. and I.J.Z.-F.; literature research: B.F.M., N.B.d.O., P.E.F.S., C.S.S., N.N.d.R., M.C.P. and A.C.I.; data analysis: B.F.M.; L.L. and I.J.Z.-F.; draft manuscript: I.J.Z.-F., R.S.V., A.C.I. and K.A.T.d.C.; prepared figures and tables: B.F.M., N.B.d.O. and I.J.Z.-F.; review: I.J.Z.-F., D.S.M.D. and K.A.T.d.C. All authors have read and agreed to the published version of the manuscript.
Funding
This research was funded by the Coordination for the Improvement of Higher Education Personnel—Brazil (Capes), Financial code 001, for grant post-graduate students and the National Council for Scientific and Technological Development (CNPq), Process: 442585/2020-9 of the Thematic Axis II—Development of Extensively Manipulated Products.
Institutional Review Board Statement
Not applicable.
Informed Consent Statement
Not applicable.
Data Availability Statement
All data generated or analyzed during this study are included in this submitted article.
Acknowledgments
We thank the Pelé Pequeno Príncipe Research Institute for providing conditions for accessing research articles and the National Council for Scientific and Technological Development (CNPq), Process: 442585/2020-9 of the Thematic Axis II—Development of Extensively Manipulated Products.
Conflicts of Interest
The authors declare no conflict of interest.
References
- Titova, N.; Qamar, M.A.; Chaudhuri, K.R. The Nonmotor Features of Parkinson’s Disease. Int. Rev. Neurobiol. 2017, 132, 33–54. [Google Scholar] [CrossRef] [PubMed]
- Nakamori, M.; Junn, E.; Mochizuki, H.; Mouradian, M.M. Nucleic Acid-Based Therapeutics for Parkinson’s Disease. Neurotherapeutics 2019, 16, 287–298. [Google Scholar] [CrossRef]
- Braak, H.; Del Tredici, K.; Rub, U.; de Vos, R.A.; Jansen Steur, E.N.; Braak, E. Staging of brain pathology related to sporadic Parkinson’s disease. Neurobiol. Aging 2003, 24, 197–211. [Google Scholar] [CrossRef]
- Hamza, T.H.; Zabetian, C.P.; Tenesa, A.; Laederach, A.; Montimurro, J.; Yearout, D.; Kay, D.M.; Doheny, K.F.; Paschall, J.; Pugh, E.; et al. Common genetic variation in the HLA region is associated with late-onset sporadic Parkinson’s disease. Nat. Genet. 2010, 42, 781–785. [Google Scholar] [CrossRef]
- Dawson, T.M.; Dawson, V.L. Molecular pathways of neurodegeneration in Parkinson’s disease. Science 2003, 302, 819–822. [Google Scholar] [CrossRef] [PubMed]
- Gasser, T. Molecular pathogenesis of Parkinson disease: Insights from genetic studies. Expert Rev. Mol. Med. 2009, 11, e22. [Google Scholar] [CrossRef]
- Simon-Sanchez, J.; Schulte, C.; Bras, J.M.; Sharma, M.; Gibbs, J.R.; Berg, D.; Paisan-Ruiz, C.; Lichtner, P.; Scholz, S.W.; Hernandez, D.G.; et al. Genome-wide association study reveals genetic risk underlying Parkinson’s disease. Nat. Genet. 2009, 41, 1308–1312. [Google Scholar] [CrossRef] [PubMed]
- Ma, L.; Wei, L.; Wu, F.; Hu, Z.; Liu, Z.; Yuan, W. Advances with microRNAs in Parkinson’s disease research. Drug Des. Dev. Ther. 2013, 7, 1103–1113. [Google Scholar] [CrossRef]
- Selkoe, D.J. Alzheimer’s disease results from the cerebral accumulation and cytotoxicity of amyloid beta-protein. J. Alzheimer’s Dis. 2001, 3, 75–80. [Google Scholar] [CrossRef]
- Mattson, M.P. Pathways towards and away from Alzheimer’s disease. Nature 2004, 430, 9–631. [Google Scholar] [CrossRef] [PubMed]
- LaFerla, F.M.; Green, K.M.; Oddo, S. Intracellular amyloid-beta in Alzheimer’s disease. Nat. Rev. Neurosci. 2007, 8, 499–509. [Google Scholar] [CrossRef] [PubMed]
- Swerdlow, R.H.; Burns, J.M.; Khan, S.M. The Alzheimer’s disease mitochondrial cascade hypothesis. J. Alzheimer’s Dis. 2010, 20 (Suppl. 2), S265–S279. [Google Scholar] [CrossRef] [PubMed]
- Reddy, P.H.; Manczak, M.; Mao, P.; Calkins, M.J.; Reddy, A.P.; Shirendeb, U. Amyloid-beta and mitochondria in aging and Alzheimer’s disease: Implications for synaptic damage and cognitive decline. J. Alzheimer’s Dis. 2010, 20 (Suppl. 2), S499–S512. [Google Scholar] [CrossRef] [PubMed]
- Mao, P.; Manczak, M.; Calkins, M.J.; Truong, Q.; Reddy, T.P.; Reddy, A.P.; Shirendeb, U.; Lo, H.H.; Rabinovitch, P.S.; Reddy, P.H. Mitochondria-targeted catalase reduces abnormal APP processing, amyloid β production, and BACE1 in a mouse model of Alzheimer’s disease: Implications for neuroprotection and lifespan extension. Hum. Mol. Genet. 2012, 21, 2973–2990. [Google Scholar] [CrossRef]
- Kumar, S.; Reddy, P.H. Are circulating microRNAs peripheral biomarkers for Alzheimer’s disease? Biochim. Biophys. Acta 2016, 1862, 1617–1627. [Google Scholar] [CrossRef]
- Reddy, P.H. A critical assessment of research on neurotransmitters in Alzheimer’s disease. J. Alzheimer’s Dis. 2017, 57, 969–974. [Google Scholar] [CrossRef]
- Kumar, S.; Reddy, P.H. MicroRNA-455-3p as a potential biomarker for Alzheimer’s disease: An update. Front. Aging Neurosci. 2018, 10, 41. [Google Scholar] [CrossRef]
- Abeliovich, A.; Flint, M. Beal, Parkinsonism genes: Culprits and clues. J. Neurochem. 2006, 99, 1062–1072. [Google Scholar] [CrossRef]
- Yaghoubi, Y.; Movassaghpour, A.; Zamani, M.; Talebi, M.; Mehdizadeh, A.; Yousefi, M. Human umbilical cord mesenchymal stem cells derived-exosomes in diseases treatment. Life Sci. 2019, 233, 116733. [Google Scholar] [CrossRef]
- Baharlooi, H.; Nouraei, Z.; Azimi, M.; Moghadasi, A.N.; Tavassolifar, M.J.; Moradi, B.; Sahraian, M.A.; Izad, M. Umbilical cord mesenchymal stem cells as well as their released exosomes suppress proliferation of activated PBMCs in multiple sclerosis. Scand. J. Immunol. 2020, 93, e13013. [Google Scholar] [CrossRef]
- Théry, C.; Boussac, M.; Véron, P.; Ricciardi-Castagnoli, P.; Raposo, G.; Garin, J.; Amigorena, S. Proteomic analysis of dendritic cell-derived exosomes: A secreted subcellular compartment distinct from apoptotic vesicles. J. Immunol. 2001, 166, 7309–7318. [Google Scholar] [CrossRef]
- Mears, R.; Craven, R.A.; Hanrahan, S.; Totty, N.; Upton, C.; Young, S.L.; Patel, P.; Selby, P.J.; Banks, R.E. Proteomic analysis of melanoma-derived exosomes by two-dimensional polyacrylamide gel electrophoresis and mass spectrometry. Proteomics 2004, 4, 4019–4031. [Google Scholar] [CrossRef]
- Gastpar, R.; Gehrmann, M.; Bausero, M.A.; Asea, A.; Gross, C.; Schroeder, J.A.; Multhoff, G. Heat shock protein 70 surface-positive tumor exosomes stimulate migratory and cytolytic activity of natural killer cells. Cancer Res. 2005, 65, 5238–5247. [Google Scholar] [CrossRef]
- Futter, C.E.; White, I.J. Annexins and endocytosis. Traffic 2007, 8, 951–958. [Google Scholar] [CrossRef] [PubMed]
- Staubach, S.; Razawi, H.; Hanisch, F.G. Proteomics of MUC1-containing lipid rafts from plasma membranes and exosomes of human breast carcinoma cells MCF-7. Proteomics 2009, 9, 2820–2835. [Google Scholar] [CrossRef]
- Yim, N.; Ryu, S.W.; Choi, K.; Lee, K.R.; Lee, S.; Choi, H.; Kim, J.; Shaker, M.R.; Sun, W.; Park, J.-H.; et al. Exosome engineering for efficient intracellular delivery of soluble proteins using optically reversible protein-protein interaction module. Nat. Commun. 2016, 7, 12277. [Google Scholar] [CrossRef] [PubMed]
- Xu, W.; Yang, Z.; Lu, N. From pathogenesis to clinical application: Insights into exosomes as transfer vectors in cancer. J. Exp. Clin. Cancer Res. 2016, 35, 156. [Google Scholar] [CrossRef] [PubMed]
- Valadi, H.H.; Ekstrom, K.; Bossios, A.; Sjostrand, M.; Lee, J.J.; Lotvall, J.O. Exosome mediated transfer of mRNAs and microRNAs is a novel mechanism of genetic exchange between cells. Nat. Cell Biol. 2007, 9, 654–659. [Google Scholar] [CrossRef]
- Zhu, Z.; Zhang, Y.; Zhang, Y.; Zhang, H.; Liu, W.; Zhang, N.; Zhang, X.; Zhou, G.; Wu, L.; Hua, K.; et al. Exosomes derived from human umbilical cord mesenchymal stem cells accelerate growth of VK2 vaginal epithelial cells through MicroRNAs in vitro. Hum. Reprod. 2019, 34, 248–260. [Google Scholar] [CrossRef]
- Zhang, B.; Shen, L.; Shi, H.; Pan, Z.; Wu, L.; Yan, Y.; Zhang, X.; Mao, F.; Qian, H.; Xu, W. Exosomes from Human Umbilical Cord Mesenchymal Stem Cells: Identification, Purification, and Biological Characteristics. Stem Cells Int. 2016, 2016, 1929536. [Google Scholar] [CrossRef]
- Pinnell, J.R.; Cui, M.; Tieu, K. Exosomes in Parkinson disease. J. Neurochem. 2020, 157, 413–428. [Google Scholar] [CrossRef]
- Vassileff, N.; Cheng, L.; Hill, A.F. Extracellular vesicles—Propagators of neuropathology and sources of potential biomarkers and therapeutics for neurodegenerative diseases. J. Cell Sci. 2020, 133, jcs243139. [Google Scholar] [CrossRef]
- He, L.; Hannon, G.J. MicroRNAs: Small RNAs with a big role in gene regulation. Nat. Rev. Genet. 2004, 5, 522–531. [Google Scholar] [CrossRef]
- Surguchov, A. Biomarkers in Parkinson’s Disease. In Neurodegenerative Diseases Biomarkers; Peplow, P.V., Martinez, B., Gennarelli, T.A., Eds.; Neuromethods; Humana: New York, NY, USA, 2022; Volume 173. [Google Scholar] [CrossRef]
- Junn, E.; Mouradian, M.M. MicroRNAs in neurodegenerative disorders. Cell Cycle 2010, 9, 1717–1721. [Google Scholar] [CrossRef]
- Junn, E.; Mouradian, M.M. MicroRNAs in neurodegenerative diseases and their therapeutic potential. Pharmacol. Ther. 2012, 133, 142–150. [Google Scholar] [CrossRef]
- Page, M.J.; Moher, D.; Bossuyt, P.M.; Boutron, I.; Hoffmann, T.C.; Mulrow, C.D.; Shamseer, L.; Tetzlaff, J.M.; Akl, E.A.; Brennan, S.E.; et al. PRISMA 2020 explanation and elaboration: Updated guidance and exemplars for reporting systematic reviews. BMJ 2021, 372, n160. [Google Scholar] [CrossRef] [PubMed]
- Balshem, H.; Helfand, M.; Schünemann, H.J.; Oxman, A.D.; Kunz, R.; Brozek, J.; Vist, G.E.; Falck-Ytter, Y.; Meerpohl, J.; Norris, S.; et al. Grade guidelines: 3 ratng the quality of evidence. J. Clin. Epidemiol. Md. Height 2011, 64, 401–406. [Google Scholar] [CrossRef] [PubMed]
- Cochrane. Cochrane Handbook for Systematic Reviews of Interventions Version 6.3 (Updated February 2022). Higgins, J.P.T., Thomas, J., Chandler, J., Cumpston, M., Li, T., Page, M.J., Welch, V.A., Eds.; 2022. Available online: www.training.cochrane.org/handbook (accessed on 27 February 2022).
- Burgos, K.; Malenica, I.; Metpally, R.; Courtright, A.; Rakela, B.; Beach, T.; Shill, H.; Adler, C.; Sabbagh, M.; Villa, S.; et al. Profiles of extracellular miRNA in cerebrospinal fluid and serum from patients with Alzheimer’s and Parkinson’s diseases correlate with disease status and features of pathology. PLoS ONE 2014, 9, e94839. [Google Scholar] [CrossRef] [PubMed]
- Nie, C.; Sun, Y.; Zhen, H.; Guo, M.; Ye, J.; Liu, Z.; Yang, Y.; Zhang, X. Differential Expression of Plasma Exo-miRNA in Neurodegenerative Diseases by Next-Generation Sequencing. Front. Neurosci. 2020, 14, 438. [Google Scholar] [CrossRef]
- Bekris, L.M.; Lutz, F.; Montine, T.J.; Yu, C.E.; Tsuang, D.; Peskind, E.R.; Leverenz, J.B. MicroRNA in Alzheimer’s disease: An exploratory study in brain, cerebrospinal fluid and plasma. Biomarkers 2013, 18, 455–466. [Google Scholar] [CrossRef]
- Liu, C.G.; Meng, S.; Li, Y.; Lu, Y.; Zhao, Y.; Wang, P.C. MicroRNA-135a in ABCA1-labeled Exosome is a Serum Biomarker Candidate for Alzheimer’s Disease. Biomed. Environ. Sci. 2021, 34, 19–28. [Google Scholar] [CrossRef]
- De Felice, B.; Montanino, C.; Oliva, M.; Bonavita, S.; Di Onofrio, V.; Coppola, C. MicroRNA Expression Signature in Mild Cognitive Impairment Due to Alzheimer’s Disease. Mol. Neurobiol. 2020, 57, 4408–4416. [Google Scholar] [CrossRef] [PubMed]
- Zhao, X.; Kang, J.; Svetnik, V.; Warden, D.; Wilcock, G.; David Smith, A.; Savage, M.J.; Laterza, O.F. A Machine Learning Approach to Identify a Circulating MicroRNA Signature for Alzheimer Disease. J. Appl. Lab. Med. 2020, 5, 15–28. [Google Scholar] [CrossRef] [PubMed]
- Denk, J.; Oberhauser, F.; Kornhuber, J.; Wiltfang, J.; Fassbender, K.; Schroeter, M.L.; Volk, A.E.; Diehl-Schmid, J.; Prudlo, J.; Danek, A.; et al. Specific serum and CSF microRNA profiles distinguish sporadic behavioural variant of frontotemporal dementia compared with Alzheimer patients and cognitively healthy controls. PLoS ONE 2018, 13, e0197329. [Google Scholar] [CrossRef]
- Liu, C.G.; Wang, J.L.; Li, L.; Wang, P.C. MicroRNA-384 regulates both amyloid precursor protein and β-secretase expression and is a potential biomarker for Alzheimer’s disease. Int. J. Mol. Med. 2014, 34, 160–166. [Google Scholar] [CrossRef]
- Galimberti, D.; Villa, C.; Fenoglio, C.; Serpente, M.; Ghezzi, L.; Cioffi, S.M.; Arighi, A.; Fumagalli, G.; Scarpini, E. Circulating miRNAs as potential biomarkers in Alzheimer’s disease. J. Alzheimer’s Dis. 2014, 42, 1261–1267. [Google Scholar] [CrossRef] [PubMed]
- Soleimani Zakeri, N.S.; Pashazadeh, S.; MotieGhader, H. Gene biomarker discovery at different stages of Alzheimer using gene co-expression network approach. Sci. Rep. 2020, 10, 12210. [Google Scholar] [CrossRef]
- Liu, Y.; Xu, Y.; Yu, M. MicroRNA-4722-5p and microRNA-615-3p serve as potential biomarkers for Alzheimer’s disease. Exp. Ther. Med. 2022, 23, 241. [Google Scholar] [CrossRef]
- Gámez-Valero, A.; Campdelacreu, J.; Vilas, D.; Ispierto, L.; Reñé, R.; Álvarez, R.; Armengol, M.P.; Borràs, F.E.; Beyer, K. Exploratory study on microRNA profiles from plasma-derived extracellular vesicles in Alzheimer’s disease and dementia with Lewy bodies. Transl. Neurodegener. 2019, 8, 31. [Google Scholar] [CrossRef]
- Guévremont, D.; Tsui, H.; Knight, R.; Fowler, C.J.; Masters, C.L.; Martins, R.N.; Abraham, W.C.; Tate, W.P.; Cutfield, N.J.; Williams, J.M. Plasma microRNA vary in association with the progression of Alzheimer’s disease. Alzheimer’s Dement. (Amst.) 2022, 14, e12251. [Google Scholar] [CrossRef]
- Jia, L.; Zhu, M.; Yang, J.; Pang, Y.; Wang, Q.; Li, Y.; Li, T.; Li, F.; Wang, Q.; Li, Y.; et al. Prediction of P-tau/Aβ42 in the cerebrospinal fluid with blood microRNAs in Alzheimer’s disease. BMC Med. 2021, 19, 264. [Google Scholar] [CrossRef]
- Grossi, I.; Radeghieri, A.; Paolini, L.; Porrini, V.; Pilotto, A.; Padovani, A.; Marengoni, A.; Barbon, A.; Bellucci, A.; Pizzi, M.; et al. MicroRNA 34a 5p expression in the plasma and in its extracellular vesicle fractions in subjects with Parkinson’s disease: An exploratory study. Int. J. Mol. Med. 2021, 47, 533–546. [Google Scholar] [CrossRef]
- Chen, Q.; Deng, N.; Lu, K.; Liao, Q.; Long, X.; Gou, D.; Bi, F.; Zhou, J. Elevated plasma miR-133b and miR-221-3p as biomarkers for early Parkinson’s disease. Sci. Rep. 2021, 11, 15268. [Google Scholar] [CrossRef]
- Manna, I.; Quattrone, A.; De Benedittis, S.; Vescio, B.; Iaccino, E.; Quattrone, A. Exosomal miRNA as peripheral biomarkers in Parkinson’s disease and progressive supranuclear palsy: A pilot study. Park. Relat. Disord. 2021, 93, 77–84. [Google Scholar] [CrossRef]
- Cai, M.; Chai, S.; Xiong, T.; Wei, J.; Mao, W.; Zhu, Y.; Li, X.; Wei, W.; Dai, X.; Yang, B.; et al. Aberrant Expression of Circulating MicroRNA Leads to the Dysregulation of Alpha-Synuclein and Other Pathogenic Genes in Parkinson’s Disease. Front. Cell Dev. Biol. 2021, 9, 695007. [Google Scholar] [CrossRef]
- He, S.; Huang, L.; Shao, C.; Nie, T.; Xia, L.; Cui, B.; Lu, F.; Zhu, L.; Chen, B.; Yang, Q. Several miRNAs derived from serum extracellular vesicles are potential biomarkers for early diagnosis and progression of Parkinson’s disease. Transl. Neurodegener. 2021, 10, 25. [Google Scholar] [CrossRef]
- Baghi, M.; Yadegari, E.; Rostamian Delavar, M.; Peymani, M.; Ganjalikhani-Hakemi, M.; Salari, M.; Nasr-Esfahani, M.H.; Megraw, T.L.; Ghaedi, K. MiR-193b deregulation is associated with Parkinson’s disease. J. Cell Mol. Med. 2021, 25, 6348–6360. [Google Scholar] [CrossRef] [PubMed]
- Jiang, X.; Xiao, L.; Jiang, X.; Li, G.; Lu, Z. Screening of Parkinson’s Differential MicroRNA Based on GEO Database and Its Clinical Verification. Biomed. Res. Int. 2021, 2021, 8171236. [Google Scholar] [CrossRef]
- Lin, X.; Wang, R.; Li, R.; Tao, T.; Zhang, D.; Qi, Y. Diagnostic Performance of miR-485-3p in Patients with Parkinson’s Disease and its Relationship with Neuroinflammation. Neuromol. Med. 2021, 24, 195–201. [Google Scholar] [CrossRef] [PubMed]
- Gui, Y.; Liu, H.; Zhang, L.; Lv, W.; Hu, X. Altered microRNA profiles in cerebrospinal fluid exosome in Parkinson disease and Alzheimer disease. Oncotarget 2015, 6, 37043–37053. [Google Scholar] [CrossRef] [PubMed]
- Vallelunga, A.; Iannitti, T.; Dati, G.; Capece, S.; Maugeri, M.; Tocci, E.; Picillo, M.; Volpe, G.; Cozzolino, A.; Squillante, M.; et al. Serum miR-30c-5p is a potential biomarker for multiple system atrophy. Mol. Biol. Rep. 2019, 46, 1661–1666. [Google Scholar] [CrossRef]
- Starhof, C.; Hejl, A.M.; Heegaard, N.H.H.; Carlsen, A.L.; Burton, M.; Lilje, B.; Winge, K. The biomarker potential of cell-free microRNA from cerebrospinal fluid in Parkinsonian Syndromes. Mov. Disord. 2019, 34, 246–254. [Google Scholar] [CrossRef]
- Kingsbury, A.E.; Daniel, S.E.; Sangha, H.; Eisen, S.; Lees, A.J.; Foster, O.J. Alteration in alpha-synuclein mRNA expression in Parkinson’s disease. Mov. Disord. 2004, 19, 162–170. [Google Scholar] [CrossRef]
- Dachsel, J.C.; Lincoln, S.J.; Gonzalez, J.; Ross, O.A.; Dickson, D.W.; Farrer, M.J. The ups and downs of alpha-synuclein mRNA expression. Mov. Disord. 2007, 22, 293–295. [Google Scholar] [CrossRef]
- Grundemann, J.; Schlaudraff, F.; Haeckel, O.; Liss, B. Elevated alpha-synuclein mRNA levels in individual UV-laser-microdissected dopaminergic substantia nigra neurons in idiopathic Parkinson’s disease. Nucleic Acids Res. 2008, 36, e38. [Google Scholar] [CrossRef]
- Junn, E.; Lee, K.W.; Jeong, B.S.; Chan, T.W.; Im, J.Y.; Mouradian, M.M. Repression of alpha-synuclein expression and toxicity by microRNA-7. Proc. Natl. Acad. Sci. USA 2009, 106, 13052–13057. [Google Scholar] [CrossRef] [PubMed]
- Doxakis, E. Post-transcriptional regulation of alpha-synuclein expression by mir-7 and mir-153. J. Biol. Chem. 2010, 285, 12726–12734. [Google Scholar] [CrossRef] [PubMed]
- Cho, H.J.; Liu, G.; Jin, S.M.; Parisiadou, L.; Xie, C.; Yu, J.; Sun, L.; Ma, B.; Ding, J.; Vancraenenbroeck, R.; et al. MicroRNA-205 regulates the expression of Parkinson’s disease-related leucine-rich repeat kinase 2 protein. Hum. Mol. Genet. 2013, 22, 608–620. [Google Scholar] [CrossRef]
- Ghanbari, M.; Darweesh, S.K.; de Looper, H.W.; Van Luijn, M.M.; Hofman, A.; Ikram, M.A.; Franco, O.; Erkeland, S.J.; Dehghan, A. Genetic Variants in MicroRNAs and Their Binding Sites Are Associated with the Risk of Parkinson Disease. Hum. Mutat. 2016, 37, 292–300. [Google Scholar] [CrossRef] [PubMed]
- Sadlon, A.; Takousis, P.; Alexopoulos, P.; Evangelou, E.; Prokopenko, I.; Perneczky, R. miRNAs Identify Shared Pathways in Alzheimer’s and Parkinson’s Diseases. Trends Mol. Med. 2019, 25, 662–672. [Google Scholar] [CrossRef]
- Wen, M.M. Getting miRNA Therapeutics into the Target Cells for Neurodegenerative Diseases: A Mini-Review. Front. Mol. Neurosci. 2016, 9, 129. [Google Scholar] [CrossRef] [PubMed]
- Choi, D.C.; Yoo, M.; Kabaria, S.; Junn, E. MicroRNA-7 facilitates the degradation of alpha-synuclein and its aggregates by promoting autophagy. Neurosci. Lett. 2018, 678, 118–123. [Google Scholar] [CrossRef] [PubMed]
- Meister, G.; Landthaler, M.; Dorsett, Y.; Tuschl, T. Sequence-specific inhibition of microRNA- and siRNA-induced RNA silencing. RNA 2004, 10, 544–550. [Google Scholar] [CrossRef]
- Choi, D.C.; Chae, Y.J.; Kabaria, S.; Chaudhuri, A.D.; Jain, M.R.; Li, H.; Mouradian, M.M.; Junn, E. MicroRNA-7 protects against 1-methyl-4-phenylpyridinium-induced cell death by targeting RelA. J. Neurosci. 2014, 34, 12725–12737. [Google Scholar] [CrossRef] [PubMed]
- Chaudhuri, A.D.; Kabaria, S.; Choi, D.C.; Mouradian, M.M.; Junn, E. MicroRNA-7 Promotes Glycolysis to Protect against 1-Methyl-4-phenylpyridinium-induced Cell Death. J. Biol. Chem. 2015, 290, 12425–12434. [Google Scholar] [CrossRef]
- Kabaria, S.; Choi, D.C.; Chaudhuri, A.D.; Jain, M.R.; Li, H.; Junn, E. MicroRNA-7 activates Nrf2 pathway by targeting Keap1 expression. Free Radic Biol. Med. 2015, 89, 548–556. [Google Scholar] [CrossRef]
- Chaudhuri, A.D.; Choi, D.C.; Kabaria, S.; Tran, A.; Junn, E. MicroRNA-7 Regulates the Function of Mitochondrial Permeability Transition Pore by Targeting VDAC1 Expression. J. Biol. Chem. 2016, 291, 6483–6493. [Google Scholar] [CrossRef]
- Mushtaq, G.; Greig, N.H.; Anwar, F.; Zamzami, M.A.; Choudhry, H.; Shaik, M.M.; Tamargo, I.A.; Kamal, M.A. miRNAs as Circulating Biomarkers for Alzheimer’s Disease and Parkinson’s Disease. Med. Chem. 2016, 12, 217–225. [Google Scholar] [CrossRef]
- Page, M.J.; McKenzie, J.E.; Bossuyt, P.M.; Boutron, I.; Hoffmann, T.C.; Mulrow, C.D.; Shamseer, L.; Tetzlaff, J.M.; Akl, E.A.; Brennan, S.E.; et al. The PRISMA 2020 statement: An updated guideline for reporting systematic reviews. BMJ 2021, 372, n71. [Google Scholar] [CrossRef]
Disclaimer/Publisher’s Note: The statements, opinions and data contained in all publications are solely those of the individual author(s) and contributor(s) and not of MDPI and/or the editor(s). MDPI and/or the editor(s) disclaim responsibility for any injury to people or property resulting from any ideas, methods, instructions or products referred to in the content. |
© 2023 by the authors. Licensee MDPI, Basel, Switzerland. This article is an open access article distributed under the terms and conditions of the Creative Commons Attribution (CC BY) license (https://creativecommons.org/licenses/by/4.0/).

