Risk of Acute Myocardial Infarction in Pneumoconiosis: Results from a Retrospective Cohort Study
Abstract
1. Introduction
2. Materials and Methods
2.1. Data Source
2.2. Study Cohorts
2.3. Outcome and Related Factors
2.4. Statistical Analysis
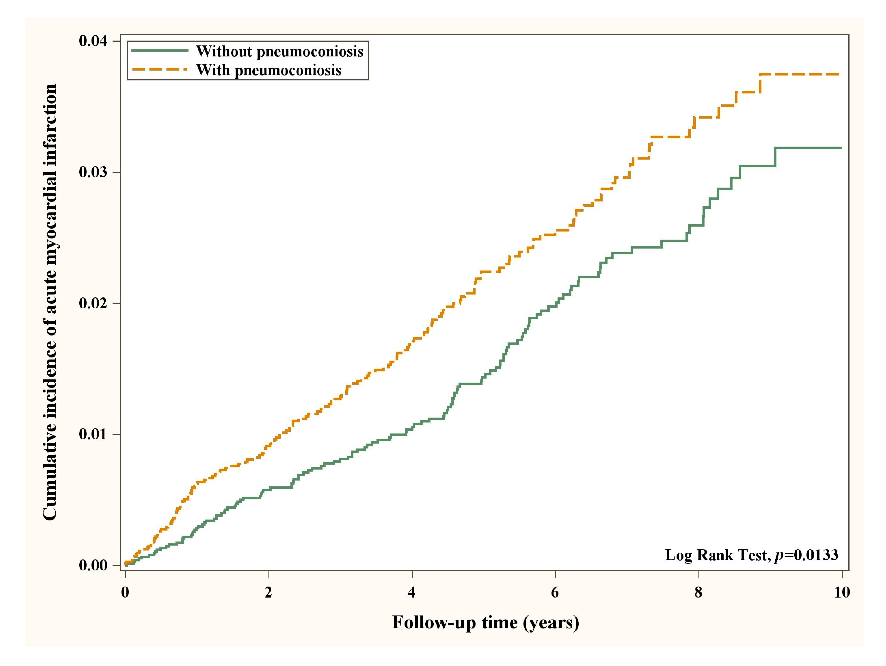
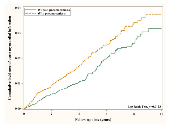
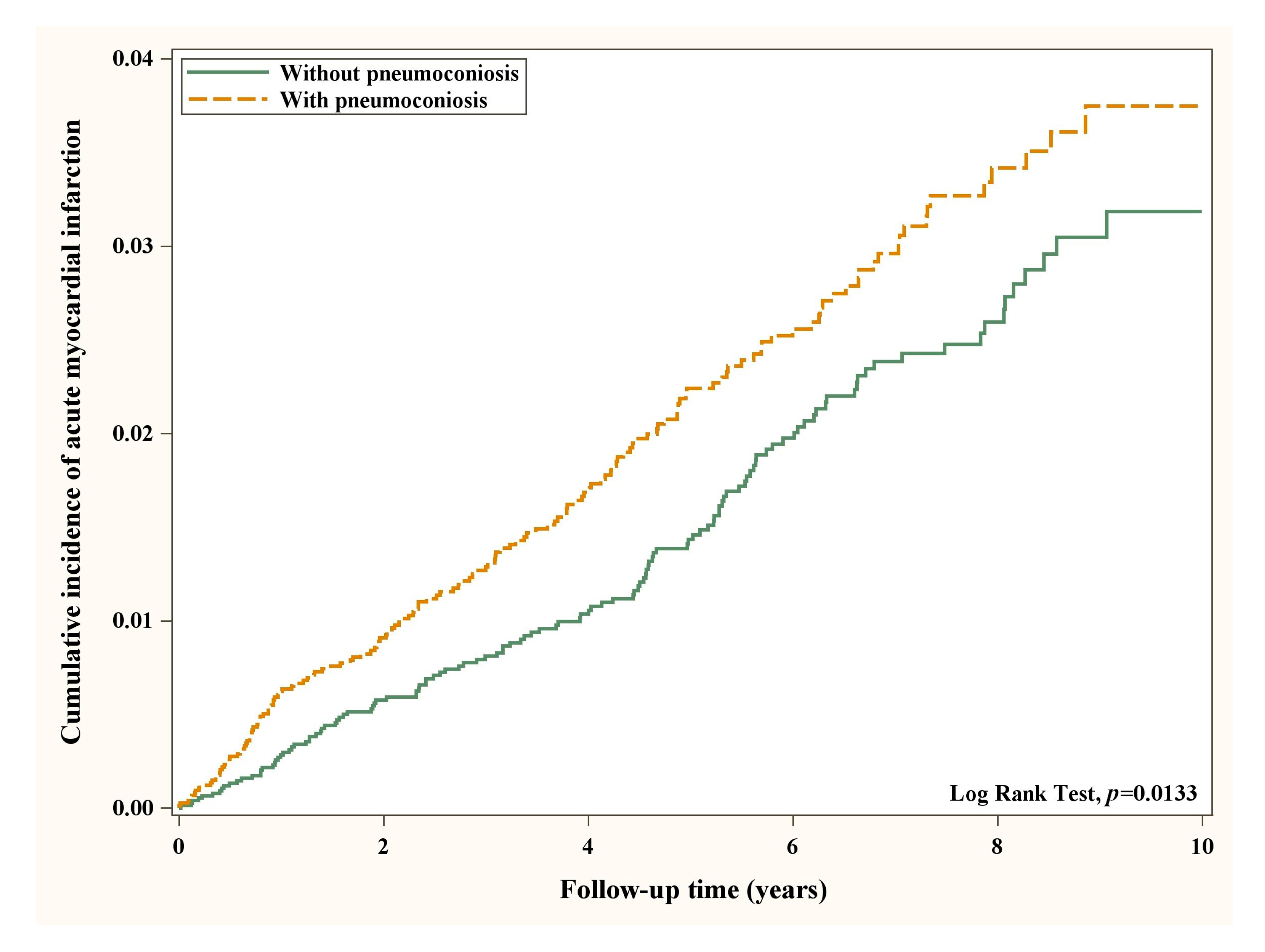
3. Results
4. Discussion
5. Conclusions
Author Contributions
Funding
Institutional Review Board Statement
Informed Consent Statement
Data Availability Statement
Acknowledgments
Conflicts of Interest
References
- Qi, X.M.; Luo, Y.; Song, M.Y.; Liu, Y.; Shu, T.; Liu, Y.; Pang, J.L.; Wang, J.; Wang, C. Pneumoconiosis: Current status and future prospects. Chin. Med. J. 2021, 134, 898–907. [Google Scholar] [CrossRef] [PubMed]
- GBD 2017 Disease and Injury Incidence and Prevalence Collaborators. Global, regional, and national incidence, prevalence, and years lived with disability for 354 diseases and injuries for 195 countries and territories, 1990–2017: A systematic analysis for the Global Burden of Disease Study 2017. Lancet 2018, 392, 1789–1858. [Google Scholar] [CrossRef] [PubMed]
- Hall, N.B.; Blackley, D.J.; Halldin, C.N.; Laney, A.S. Current review of pneumoconiosis among US coal miners. Curr. Environ. Health Rep. 2019, 6, 137–147. [Google Scholar] [CrossRef] [PubMed]
- Beggs, J.A.; Slavova, S.; Bunn, T.L. Patterns of pneumoconiosis mortality in Kentucky: Analysis of death certificate data. Am. J. Ind. Med. 2015, 58, 1075–1082. [Google Scholar] [CrossRef] [PubMed]
- Paul, R.; Adeyemi, O.; Arif, A.A. Estimating mortality from coal workers’ pneumoconiosis among Medicare beneficiaries with pneumoconiosis using binary regressions for spatially sparse data. Am. J. Ind. Med. 2022, 65, 262–267. [Google Scholar] [CrossRef]
- Anderson, J.L.; Morrow, D.A. Acute myocardial infarction. N. Engl. J. Med. 2017, 376, 2053–2064. [Google Scholar] [CrossRef]
- Malakar, A.K.; Choudhury, D.; Halder, B.; Paul, P.; Uddin, A.; Chakraborty, S. A review on coronary artery disease, its risk factors, and therapeutics. J. Cell. Physiol. 2019, 234, 16812–16823. [Google Scholar] [CrossRef]
- Shen, C.H.; Lin, T.Y.; Huang, W.Y.; Chen, H.J.; Kao, C.H. Pneumoconiosis increases the risk of peripheral arterial disease: A nationwide population-based study. Medicine 2015, 94, e911. [Google Scholar] [CrossRef]
- Cheng, Y.Y.; Hsu, K.H.; Chen, Y.H.; Lin, C.H. Increased risk of ischemic stroke in patients with pneumoconiosis. J. Clin. Neurosci. 2015, 22, 363–367. [Google Scholar] [CrossRef]
- Chuang, C.S.; Ho, S.C.; Lin, C.L.; Lin, M.C.; Kao, C.H. Risk of cerebrovascular events in pneumoconiosis patients: A population-based study, 1996–2011. Medicine 2016, 95, e2944. [Google Scholar] [CrossRef]
- Hu, W.S.; Lin, C.L. Risk of atrial fibrillation in patients with pneumoconiosis: A nationwide study in Taiwan. Clin. Cardiol. 2020, 43, 66–70. [Google Scholar] [CrossRef] [PubMed]
- Yen, C.M.; Lin, C.L.; Lin, M.C.; Chen, H.Y.; Lu, N.H.; Kao, C.H. Pneumoconiosis increases the risk of congestive heart failure: A nationwide population-based cohort study. Medicine 2016, 95, e3972. [Google Scholar] [CrossRef] [PubMed]
- Sun, B.Q.; Zhao, H.L.; Xie, Y. Progress in epidemiological studies on pneumoconiosis with comorbidities. Zhonghua Lao Dong Wei Sheng Zhi Ye Bing Za Zhi 2021, 39, 389–393. [Google Scholar]
- Lee, W.J.; Shin, J.H.; Park, S.Y. Relation of pulmonary function impairment and coronary artery calcification by multi-detector computed tomography in group exposed to inorganic dusts. Tuberc. Respir. Dis. 2013, 74, 56–62. [Google Scholar] [CrossRef]
- Wei, C.H.; Li, C.H.; Shen, T.C.; Hung, Y.T.; Tu, C.Y.; Hsia, T.C.; Hsu, W.-H.; Hsu, C.Y. Risk of chronic kidney disease in pneumoconiosis: Results from a retrospective cohort study (2008–2019). Biomedicines 2023, 11, 150. [Google Scholar] [CrossRef]
- Mutlu, G.M.; Green, D.; Bellmeyer, A.; Baker, C.M.; Burgess, Z.; Rajamannan, N.; Christman, J.W.; Foiles, N.; Kamp, D.W.; Ghio, A.J.; et al. Ambient particulate matter accelerates coagulation via an IL-6-dependent pathway. J. Clin. Investig. 2007, 117, 2952–2961. [Google Scholar] [CrossRef]
- Budinger, G.R.; McKell, J.L.; Urich, D.; Foiles, N.; Weiss, I.; Chiarella, S.E.; Gonzalez, A.; Soberanes, S.; Ghio, A.J.; Nigdelioglu, R.; et al. Particulate matter-induced lung inflammation increases systemic levels of PAI-1 and activates coagulation through distinct mechanisms. PLoS ONE 2011, 6, e18525. [Google Scholar] [CrossRef]
- Wu, Z.; Liu, M.C.; Liang, M.; Fu, J. Sirt1 protects against thrombomodulin down-regulation and lung coagulation after particulate matter exposure. Blood 2012, 119, 2422–2429. [Google Scholar] [CrossRef]
- Zheng, Y.; Liang, L.; Qin, T.; Yang, G.; An, S.; Wang, Y.; Li, Z.; Shao, Z.; Zhu, X.; Yao, T.; et al. Cross-section analysis of coal workers’ pneumoconiosis and higher brachial-ankle pulse wave velocity within Kailuan study. BMC Public Health 2017, 17, 148. [Google Scholar] [CrossRef]
- Gellissen, J.; Pattloch, D.; Möhner, M. Effects of occupational exposure to respirable quartz dust on acute myocardial infarction. Occup. Environ. Med. 2019, 76, 370–375. [Google Scholar] [CrossRef] [PubMed]
- Hsing, A.W.; Ioannidis, J.P. Nationwide population science: Lessons from the Taiwan National Health Insurance Research Database. JAMA Intern. Med. 2015, 175, 1527–1529. [Google Scholar] [CrossRef] [PubMed]
- Lai, S.W.; Lin, C.L.; Liao, K.F. Risk of contracting pneumonia among patients with pre-dialysis chronic kidney disease: A population-based cohort study in Taiwan. Biomedicine 2017, 7, 20. [Google Scholar] [CrossRef] [PubMed]
- Hsieh, C.Y.; Su, C.C.; Shao, S.C.; Sung, S.F.; Lin, S.J.; Kao Yang, Y.H.; Lai, E.C.-C. Taiwan’s National Health Insurance Research Database: Past and future. Clin. Epidemiol. 2019, 11, 349–358. [Google Scholar] [CrossRef] [PubMed]


| Pneumoconiosis | |||||
|---|---|---|---|---|---|
| No | Yes | ||||
| N = 7556 | N = 7556 | ||||
| n | % | n | % | p-Value † | |
| Age | 0.89 | ||||
| 20–49 | 738 | 9.8 | 725 | 9.6 | |
| 50–64 | 2302 | 30.5 | 2324 | 30.8 | |
| ≥65 | 4516 | 59.8 | 4507 | 59.7 | |
| Mean ± SD | 66.8 | ±13.3 | 66.9 | ±13.1 | 0.70 |
| Gender | 0.96 | ||||
| Women | 1070 | 14.2 | 1072 | 14.2 | |
| Men | 6486 | 85.8 | 6484 | 85.8 | |
| Comorbidity | |||||
| HTN | 3327 | 44.0 | 3297 | 43.6 | 0.62 |
| DM | 1392 | 18.4 | 1350 | 17.9 | 0.38 |
| HL | 1837 | 24.3 | 1806 | 23.9 | 0.56 |
| Asthma/COPD | 3391 | 44.9 | 3348 | 44.3 | 0.48 |
| CVD | 1055 | 14.0 | 1035 | 13.7 | 0.64 |
| CKD | 376 | 4.98 | 344 | 4.55 | 0.22 |
| Medication | 1.00 | ||||
| Corticosteroid | 3425 | 45.3 | 3425 | 45.3 | |
| Event | PY | IR † | Crude HR (95% CI) | Adjusted HR # (95% CI) | |
|---|---|---|---|---|---|
| Pneumoconiosis | |||||
| No | 128 | 39,675 | 3.23 | 1 (Reference) | 1 (Reference) |
| Yes | 155 | 35,799 | 4.33 | 1.34 (1.06–1.70) * | 1.36 (1.08–1.72) * |
| Age | |||||
| 20–49 | 7 | 8418 | 0.83 | 1 (Reference) | 1 (Reference) |
| 50–64 | 70 | 24,990 | 2.80 | 3.36 (1.55–7.31) ** | 2.95 (1.35–6.44) ** |
| ≥65 | 206 | 42,066 | 4.90 | 5.90 (2.78–12.5) *** | 4.40 (2.05–9.45) *** |
| Gender | |||||
| Women | 16 | 11,136 | 1.44 | 1 (Reference) | 1 (Reference) |
| Men | 267 | 64,339 | 4.15 | 2.89 (1.75–4.79) *** | 2.84 (1.71–4.72) *** |
| Comorbidity | |||||
| HTN | |||||
| No | 117 | 44,428 | 2.63 | 1 (Reference) | 1 (Reference) |
| Yes | 166 | 31,046 | 5.35 | 2.04 (1.61–2.58) *** | 1.63 (1.25–2.11) *** |
| DM | |||||
| No | 209 | 63,228 | 3.31 | 1 (Reference) | 1 (Reference) |
| Yes | 74 | 12,246 | 6.04 | 1.84 (1.41–2.39) *** | 1.57 (1.17–2.10) ** |
| HL | |||||
| No | 206 | 57,784 | 3.57 | 1 (Reference) | 1 (Reference) |
| Yes | 77 | 17,690 | 4.35 | 1.22 (0.94–1.59) | 0.93 (0.70–1.25) |
| Asthma/COPD | |||||
| No | 148 | 44,336 | 3.34 | 1 (Reference) | 1 (Reference) |
| Yes | 135 | 31,138 | 4.34 | 1.30 (1.03–1.65) * | 1.22 (0.96–1.55) |
| CVD | |||||
| No | 241 | 67,118 | 3.59 | 1 (Reference) | 1 (Reference) |
| Yes | 42 | 8356 | 5.03 | 1.41 (1.01–1.95) * | 0.94 (0.67–1.32) |
| CKD | |||||
| No | 263 | 72,743 | 3.62 | 1 (Reference) | 1 (Reference) |
| Yes | 20 | 2731 | 7.32 | 2.04 (1.30–3.22) ** | 1.51 (0.95–2.41) |
| Pneumoconiosis | ||||||||
|---|---|---|---|---|---|---|---|---|
| No | Yes | |||||||
| Event | PY | IR † | Event | PY | IR † | Crude HR (95% CI) | Adjusted HR # (95% CI) | |
| Age | ||||||||
| <65 | 32 | 17,204 | 1.86 | 45 | 16,203 | 2.78 | 1.50 (0.95–2.36) | 1.55 (0.98–2.43) |
| ≥65 | 96 | 22,470 | 4.27 | 110 | 19,596 | 5.61 | 1.32 (1.00–1.73) * | 1.32 (1.00–1.73) * |
| Gender | ||||||||
| Women | 8 | 5673 | 1.41 | 8 | 5463 | 1.46 | 1.03 (0.39–2.75) | 1.06 (0.40–2.82) |
| Men | 120 | 34,002 | 3.53 | 147 | 30,336 | 4.85 | 1.38 (1.08–1.75) ** | 1.38 (1.08–1.76) ** |
| Comorbidity ‡ | ||||||||
| No | 12 | 10,999 | 1.09 | 40 | 9944 | 4.02 | 3.71 (1.95–7.08) *** | 3.99 (2.09–7.61) *** |
| Yes | 116 | 28,675 | 4.05 | 115 | 25,855 | 4.45 | 1.10 (0.85–1.42) | 1.10 (0.85–1.42) |
| Events | Crude HR (95% CI) | Adjusted HR † (95% CI) | |
|---|---|---|---|
| Non-pneumoconiosis | 128 | 1 (reference) | 1 (reference) |
| Pneumoconiosis | |||
| Annual ED visits | |||
| <1 | 124 | 1.29 (1.01–1.65) * | 1.30 (1.01–1.66) * |
| ≥1 | 31 | 1.60 (1.08–2.36) * | 1.68 (1.13–2.50) * |
Disclaimer/Publisher’s Note: The statements, opinions and data contained in all publications are solely those of the individual author(s) and contributor(s) and not of MDPI and/or the editor(s). MDPI and/or the editor(s) disclaim responsibility for any injury to people or property resulting from any ideas, methods, instructions or products referred to in the content. |
© 2023 by the authors. Licensee MDPI, Basel, Switzerland. This article is an open access article distributed under the terms and conditions of the Creative Commons Attribution (CC BY) license (https://creativecommons.org/licenses/by/4.0/).
Share and Cite
Chang, J.-H.; Shen, T.-C.; Chen, K.-W.; Lin, C.-L.; Hsu, C.Y.; Wen, Y.-R.; Chang, K.-C. Risk of Acute Myocardial Infarction in Pneumoconiosis: Results from a Retrospective Cohort Study. Biomedicines 2023, 11, 897. https://doi.org/10.3390/biomedicines11030897
Chang J-H, Shen T-C, Chen K-W, Lin C-L, Hsu CY, Wen Y-R, Chang K-C. Risk of Acute Myocardial Infarction in Pneumoconiosis: Results from a Retrospective Cohort Study. Biomedicines. 2023; 11(3):897. https://doi.org/10.3390/biomedicines11030897
Chicago/Turabian StyleChang, Ju-Hsin, Te-Chun Shen, Ke-Wei Chen, Cheng-Li Lin, Chung Y. Hsu, Yeong-Ray Wen, and Kuan-Cheng Chang. 2023. "Risk of Acute Myocardial Infarction in Pneumoconiosis: Results from a Retrospective Cohort Study" Biomedicines 11, no. 3: 897. https://doi.org/10.3390/biomedicines11030897
APA StyleChang, J.-H., Shen, T.-C., Chen, K.-W., Lin, C.-L., Hsu, C. Y., Wen, Y.-R., & Chang, K.-C. (2023). Risk of Acute Myocardial Infarction in Pneumoconiosis: Results from a Retrospective Cohort Study. Biomedicines, 11(3), 897. https://doi.org/10.3390/biomedicines11030897

